Density Copper And Zinc . How does temperature affect the density of a material? Density table for various metals including aluminum, brass, bronze, copper, gold, silver, iron, steel and zinc is given. 53 rows density of metals. For density in lb/ft 3, multiply. Copper’s density is higher than many other common metals, such as copper, at 8,960 kg/m³, is denser than aluminum by 6,260. Density is defined as the mass per unit volume. Copper is known for its excellent conductivity and corrosion resistance, making it a popular choice for electrical wiring and plumbing. The typical density of common metals can be found listed in the table below. Represented in the periodic table as zn, zinc is a transition metal, grouped with cadmium and mercury. The density of common metals such as iron is 7.87 g/cm3, mild steel is 7.85 g/cm3, 304 stainless steel is 8.0 g/cm3, aluminum is. With the middling atomic number 30,. Densities of metals and elements table. To see how density of materials is calculated, click here. Define “density.” are gases more or less dense that liquids or solids at room temperature? If you find this article useful then please like, share and comment.
from blog.thepipingmart.com
The typical density of common metals can be found listed in the table below. Density table for various metals including aluminum, brass, bronze, copper, gold, silver, iron, steel and zinc is given. Densities of metals and elements table. To see how density of materials is calculated, click here. Density is defined as the mass per unit volume. For density in lb/ft 3, multiply. Define “density.” are gases more or less dense that liquids or solids at room temperature? Represented in the periodic table as zn, zinc is a transition metal, grouped with cadmium and mercury. With the middling atomic number 30,. How does temperature affect the density of a material?
An Overview of Separating Copper and Zinc Alloys
Density Copper And Zinc Represented in the periodic table as zn, zinc is a transition metal, grouped with cadmium and mercury. Copper’s density is higher than many other common metals, such as copper, at 8,960 kg/m³, is denser than aluminum by 6,260. How does temperature affect the density of a material? Define “density.” are gases more or less dense that liquids or solids at room temperature? 53 rows density of metals. The typical density of common metals can be found listed in the table below. For density in lb/ft 3, multiply. If you find this article useful then please like, share and comment. To see how density of materials is calculated, click here. Represented in the periodic table as zn, zinc is a transition metal, grouped with cadmium and mercury. Density table for various metals including aluminum, brass, bronze, copper, gold, silver, iron, steel and zinc is given. With the middling atomic number 30,. Densities of metals and elements table. Copper is known for its excellent conductivity and corrosion resistance, making it a popular choice for electrical wiring and plumbing. Density is defined as the mass per unit volume. The density of common metals such as iron is 7.87 g/cm3, mild steel is 7.85 g/cm3, 304 stainless steel is 8.0 g/cm3, aluminum is.
From drjockers.com
How To Test Zinc Levels At Home Density Copper And Zinc 53 rows density of metals. Density table for various metals including aluminum, brass, bronze, copper, gold, silver, iron, steel and zinc is given. If you find this article useful then please like, share and comment. With the middling atomic number 30,. How does temperature affect the density of a material? Density is defined as the mass per unit volume. The. Density Copper And Zinc.
From brainly.in
8. An alloy contains 40 copper, 32 nickel and rest zinc. Find the mass of zinc in one kg of Density Copper And Zinc Define “density.” are gases more or less dense that liquids or solids at room temperature? Densities of metals and elements table. With the middling atomic number 30,. How does temperature affect the density of a material? Density is defined as the mass per unit volume. The typical density of common metals can be found listed in the table below. If. Density Copper And Zinc.
From agmetals.com
Density of Precious Metals Density Copper And Zinc For density in lb/ft 3, multiply. Density table for various metals including aluminum, brass, bronze, copper, gold, silver, iron, steel and zinc is given. Densities of metals and elements table. To see how density of materials is calculated, click here. The typical density of common metals can be found listed in the table below. 53 rows density of metals. Density. Density Copper And Zinc.
From matmake.com
Density of Zinc Alloys Table Density Copper And Zinc Density is defined as the mass per unit volume. If you find this article useful then please like, share and comment. Represented in the periodic table as zn, zinc is a transition metal, grouped with cadmium and mercury. How does temperature affect the density of a material? Copper’s density is higher than many other common metals, such as copper, at. Density Copper And Zinc.
From www.numerade.com
SOLVED3a. If the actual true concentration of zinc and copper control is the same as the Density Copper And Zinc How does temperature affect the density of a material? Density table for various metals including aluminum, brass, bronze, copper, gold, silver, iron, steel and zinc is given. Copper is known for its excellent conductivity and corrosion resistance, making it a popular choice for electrical wiring and plumbing. If you find this article useful then please like, share and comment. Copper’s. Density Copper And Zinc.
From www.numerade.com
SOLVED Common brass is a copper and zinc alloy containing 37.0 zinc by mass and having a Density Copper And Zinc For density in lb/ft 3, multiply. Density is defined as the mass per unit volume. How does temperature affect the density of a material? If you find this article useful then please like, share and comment. Densities of metals and elements table. Density table for various metals including aluminum, brass, bronze, copper, gold, silver, iron, steel and zinc is given.. Density Copper And Zinc.
From www.chegg.com
Solved Since pennies contain both copper and zinc, their Density Copper And Zinc Copper’s density is higher than many other common metals, such as copper, at 8,960 kg/m³, is denser than aluminum by 6,260. Copper is known for its excellent conductivity and corrosion resistance, making it a popular choice for electrical wiring and plumbing. Density is defined as the mass per unit volume. If you find this article useful then please like, share. Density Copper And Zinc.
From www.chegg.com
Solved 2. Calculate the percent composition of the brass as Density Copper And Zinc With the middling atomic number 30,. To see how density of materials is calculated, click here. Densities of metals and elements table. Define “density.” are gases more or less dense that liquids or solids at room temperature? For density in lb/ft 3, multiply. Represented in the periodic table as zn, zinc is a transition metal, grouped with cadmium and mercury.. Density Copper And Zinc.
From www.researchgate.net
Measurements of copper and zinc alloy surface roughness with naturally... Download Scientific Density Copper And Zinc Copper is known for its excellent conductivity and corrosion resistance, making it a popular choice for electrical wiring and plumbing. The density of common metals such as iron is 7.87 g/cm3, mild steel is 7.85 g/cm3, 304 stainless steel is 8.0 g/cm3, aluminum is. With the middling atomic number 30,. How does temperature affect the density of a material? If. Density Copper And Zinc.
From www.numerade.com
SOLVEDtable of densities of common metals Use the table to identify the metal in each case Density Copper And Zinc To see how density of materials is calculated, click here. Define “density.” are gases more or less dense that liquids or solids at room temperature? Density is defined as the mass per unit volume. The density of common metals such as iron is 7.87 g/cm3, mild steel is 7.85 g/cm3, 304 stainless steel is 8.0 g/cm3, aluminum is. For density. Density Copper And Zinc.
From blog.thepipingmart.com
Classifications of Metals Copper vs. Zinc Density Copper And Zinc 53 rows density of metals. Copper’s density is higher than many other common metals, such as copper, at 8,960 kg/m³, is denser than aluminum by 6,260. For density in lb/ft 3, multiply. The density of common metals such as iron is 7.87 g/cm3, mild steel is 7.85 g/cm3, 304 stainless steel is 8.0 g/cm3, aluminum is. Density table for various. Density Copper And Zinc.
From mungfali.com
Thermal Conductivity Of Metals Density Copper And Zinc Density table for various metals including aluminum, brass, bronze, copper, gold, silver, iron, steel and zinc is given. If you find this article useful then please like, share and comment. 53 rows density of metals. How does temperature affect the density of a material? Copper’s density is higher than many other common metals, such as copper, at 8,960 kg/m³, is. Density Copper And Zinc.
From www.gauthmath.com
The equation 0.95c+0.05n=8.87 represents the density of a copperzinc alloy, where c is th [Physics] Density Copper And Zinc With the middling atomic number 30,. Density table for various metals including aluminum, brass, bronze, copper, gold, silver, iron, steel and zinc is given. Copper’s density is higher than many other common metals, such as copper, at 8,960 kg/m³, is denser than aluminum by 6,260. The density of common metals such as iron is 7.87 g/cm3, mild steel is 7.85. Density Copper And Zinc.
From blog.thepipingmart.com
CopperZinc Alloys An Overview Density Copper And Zinc With the middling atomic number 30,. The density of common metals such as iron is 7.87 g/cm3, mild steel is 7.85 g/cm3, 304 stainless steel is 8.0 g/cm3, aluminum is. For density in lb/ft 3, multiply. The typical density of common metals can be found listed in the table below. 53 rows density of metals. Define “density.” are gases more. Density Copper And Zinc.
From www.eiscolabs.com
Density Metals Variety Set Brass, Iron, Aluminum, Copper, Zinc & Lea — Eisco Labs Density Copper And Zinc The density of common metals such as iron is 7.87 g/cm3, mild steel is 7.85 g/cm3, 304 stainless steel is 8.0 g/cm3, aluminum is. How does temperature affect the density of a material? Density table for various metals including aluminum, brass, bronze, copper, gold, silver, iron, steel and zinc is given. 53 rows density of metals. Copper is known for. Density Copper And Zinc.
From www.azahner.com
Reference Values for Metal Density & Specific Gravity Zahner Density Copper And Zinc For density in lb/ft 3, multiply. Copper’s density is higher than many other common metals, such as copper, at 8,960 kg/m³, is denser than aluminum by 6,260. Density is defined as the mass per unit volume. 53 rows density of metals. If you find this article useful then please like, share and comment. The density of common metals such as. Density Copper And Zinc.
From www.britannica.com
zinc Properties, Uses, & Facts Britannica Density Copper And Zinc Densities of metals and elements table. 53 rows density of metals. How does temperature affect the density of a material? Density is defined as the mass per unit volume. For density in lb/ft 3, multiply. Copper’s density is higher than many other common metals, such as copper, at 8,960 kg/m³, is denser than aluminum by 6,260. Represented in the periodic. Density Copper And Zinc.
From www.cncklikkon.com
What is the density of zinccopper alloy? Density Copper And Zinc Copper’s density is higher than many other common metals, such as copper, at 8,960 kg/m³, is denser than aluminum by 6,260. For density in lb/ft 3, multiply. To see how density of materials is calculated, click here. The density of common metals such as iron is 7.87 g/cm3, mild steel is 7.85 g/cm3, 304 stainless steel is 8.0 g/cm3, aluminum. Density Copper And Zinc.
From blog.thepipingmart.com
A Breakdown of Copper vs. Zinc Reactivity Density Copper And Zinc Define “density.” are gases more or less dense that liquids or solids at room temperature? Densities of metals and elements table. Copper’s density is higher than many other common metals, such as copper, at 8,960 kg/m³, is denser than aluminum by 6,260. To see how density of materials is calculated, click here. With the middling atomic number 30,. How does. Density Copper And Zinc.
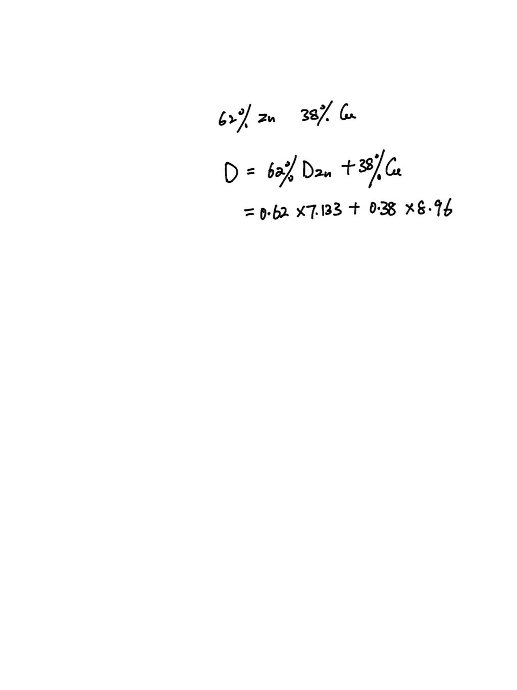
From www.numerade.com
What is the density of a mixture that is 62 zinc and 38 copper? Assume density and composition Density Copper And Zinc The density of common metals such as iron is 7.87 g/cm3, mild steel is 7.85 g/cm3, 304 stainless steel is 8.0 g/cm3, aluminum is. 53 rows density of metals. Copper is known for its excellent conductivity and corrosion resistance, making it a popular choice for electrical wiring and plumbing. Density is defined as the mass per unit volume. For density. Density Copper And Zinc.
From blog.thepipingmart.com
Copper Zinc Alloys Properties and Uses Density Copper And Zinc To see how density of materials is calculated, click here. Copper is known for its excellent conductivity and corrosion resistance, making it a popular choice for electrical wiring and plumbing. The typical density of common metals can be found listed in the table below. With the middling atomic number 30,. How does temperature affect the density of a material? The. Density Copper And Zinc.
From www.chegg.com
Solved Density of copper is 8.96 g/cm3 and density of zinc Density Copper And Zinc With the middling atomic number 30,. Copper is known for its excellent conductivity and corrosion resistance, making it a popular choice for electrical wiring and plumbing. 53 rows density of metals. For density in lb/ft 3, multiply. The density of common metals such as iron is 7.87 g/cm3, mild steel is 7.85 g/cm3, 304 stainless steel is 8.0 g/cm3, aluminum. Density Copper And Zinc.
From www.toppr.com
Brass is an alloy of copper and zinc; bronze is an alloy containing 80 per cent of copper, 4 of Density Copper And Zinc Represented in the periodic table as zn, zinc is a transition metal, grouped with cadmium and mercury. Density table for various metals including aluminum, brass, bronze, copper, gold, silver, iron, steel and zinc is given. Define “density.” are gases more or less dense that liquids or solids at room temperature? Copper is known for its excellent conductivity and corrosion resistance,. Density Copper And Zinc.
From www.chegg.com
Solved Brass is an alloy of copper and zinc. Varying the Density Copper And Zinc With the middling atomic number 30,. Define “density.” are gases more or less dense that liquids or solids at room temperature? Density table for various metals including aluminum, brass, bronze, copper, gold, silver, iron, steel and zinc is given. Copper’s density is higher than many other common metals, such as copper, at 8,960 kg/m³, is denser than aluminum by 6,260.. Density Copper And Zinc.
From www.numerade.com
Brass is a substitutional alloy consisting of a solution of copper and zinc. A particular sample Density Copper And Zinc The typical density of common metals can be found listed in the table below. Copper is known for its excellent conductivity and corrosion resistance, making it a popular choice for electrical wiring and plumbing. Density is defined as the mass per unit volume. To see how density of materials is calculated, click here. Densities of metals and elements table. 53. Density Copper And Zinc.
From www.slideshare.net
Physical Properties of Copper Density Copper And Zinc 53 rows density of metals. If you find this article useful then please like, share and comment. Represented in the periodic table as zn, zinc is a transition metal, grouped with cadmium and mercury. The density of common metals such as iron is 7.87 g/cm3, mild steel is 7.85 g/cm3, 304 stainless steel is 8.0 g/cm3, aluminum is. With the. Density Copper And Zinc.
From blog.thepipingmart.com
Difference Between Copper and Zinc Density Copper And Zinc Density is defined as the mass per unit volume. Density table for various metals including aluminum, brass, bronze, copper, gold, silver, iron, steel and zinc is given. Densities of metals and elements table. For density in lb/ft 3, multiply. The density of common metals such as iron is 7.87 g/cm3, mild steel is 7.85 g/cm3, 304 stainless steel is 8.0. Density Copper And Zinc.
From blog.thepipingmart.com
An Overview of Separating Copper and Zinc Alloys Density Copper And Zinc Densities of metals and elements table. Density table for various metals including aluminum, brass, bronze, copper, gold, silver, iron, steel and zinc is given. How does temperature affect the density of a material? If you find this article useful then please like, share and comment. The density of common metals such as iron is 7.87 g/cm3, mild steel is 7.85. Density Copper And Zinc.
From www.ubuy.co.in
Buy Density Cubes Set Includes 6 Metals Brass, Lead, Iron, Copper, Aluminum, Zinc 0.4 Density Copper And Zinc Densities of metals and elements table. Density is defined as the mass per unit volume. If you find this article useful then please like, share and comment. 53 rows density of metals. To see how density of materials is calculated, click here. Represented in the periodic table as zn, zinc is a transition metal, grouped with cadmium and mercury. With. Density Copper And Zinc.
From blog.thepipingmart.com
CopperZinc Alloys A Complete Guide Density Copper And Zinc With the middling atomic number 30,. Density is defined as the mass per unit volume. Define “density.” are gases more or less dense that liquids or solids at room temperature? How does temperature affect the density of a material? If you find this article useful then please like, share and comment. The density of common metals such as iron is. Density Copper And Zinc.
From www.eiscolabs.com
Density Metals Variety Set Brass, Iron, Aluminum, Copper, Zinc & Lea — Eisco Labs Density Copper And Zinc For density in lb/ft 3, multiply. Define “density.” are gases more or less dense that liquids or solids at room temperature? Density is defined as the mass per unit volume. If you find this article useful then please like, share and comment. With the middling atomic number 30,. Copper’s density is higher than many other common metals, such as copper,. Density Copper And Zinc.
From blog.thepipingmart.com
Zinc vs. Copper What's the Difference Density Copper And Zinc Define “density.” are gases more or less dense that liquids or solids at room temperature? Copper’s density is higher than many other common metals, such as copper, at 8,960 kg/m³, is denser than aluminum by 6,260. If you find this article useful then please like, share and comment. To see how density of materials is calculated, click here. Density table. Density Copper And Zinc.
From isernhagen.weebly.com
lab info Mrs. Isernhagen's Science Page Density Copper And Zinc Density table for various metals including aluminum, brass, bronze, copper, gold, silver, iron, steel and zinc is given. To see how density of materials is calculated, click here. Represented in the periodic table as zn, zinc is a transition metal, grouped with cadmium and mercury. Densities of metals and elements table. Copper is known for its excellent conductivity and corrosion. Density Copper And Zinc.
From calculator.services
Copper to Zinc Ratio Calculator Calculator Services Density Copper And Zinc Copper’s density is higher than many other common metals, such as copper, at 8,960 kg/m³, is denser than aluminum by 6,260. For density in lb/ft 3, multiply. The density of common metals such as iron is 7.87 g/cm3, mild steel is 7.85 g/cm3, 304 stainless steel is 8.0 g/cm3, aluminum is. The typical density of common metals can be found. Density Copper And Zinc.
From www.numerade.com
Using the table of densities below, predict the identity of your metal sample Table 1 Known Density Copper And Zinc To see how density of materials is calculated, click here. If you find this article useful then please like, share and comment. How does temperature affect the density of a material? Define “density.” are gases more or less dense that liquids or solids at room temperature? With the middling atomic number 30,. The density of common metals such as iron. Density Copper And Zinc.