Sole Mandate Definition . Sole mandate means you give a single estate agency the sole right to market your home for a fixed period of time, known as the mandate. A sole mandate is an exclusive contract that stipulates a timeframe during which you may not appoint another agent to market. For those who are unfamiliar with the term, regional director and ceo of re/max of southern africa, adrian goslett, explains that a. While an open mandate allows several real estate agencies to market a property at the same time, a sole mandate places the responsibility on a single agent, which. What is a sole mandate? The agreement should include the length of time that the. A sole mandate is a written agreement (instruction) giving one agency exclusive rights to market and sell your property. A sole mandate is where one estate agent is given exclusive rights to market and sell the owner’s immovable property.
from www.fmssalesandleasing.co.za
What is a sole mandate? A sole mandate is where one estate agent is given exclusive rights to market and sell the owner’s immovable property. A sole mandate is an exclusive contract that stipulates a timeframe during which you may not appoint another agent to market. A sole mandate is a written agreement (instruction) giving one agency exclusive rights to market and sell your property. While an open mandate allows several real estate agencies to market a property at the same time, a sole mandate places the responsibility on a single agent, which. The agreement should include the length of time that the. For those who are unfamiliar with the term, regional director and ceo of re/max of southern africa, adrian goslett, explains that a. Sole mandate means you give a single estate agency the sole right to market your home for a fixed period of time, known as the mandate.
Sole Mandate What You Need to Know FMS Sales and Leasing
Sole Mandate Definition A sole mandate is an exclusive contract that stipulates a timeframe during which you may not appoint another agent to market. For those who are unfamiliar with the term, regional director and ceo of re/max of southern africa, adrian goslett, explains that a. A sole mandate is a written agreement (instruction) giving one agency exclusive rights to market and sell your property. While an open mandate allows several real estate agencies to market a property at the same time, a sole mandate places the responsibility on a single agent, which. What is a sole mandate? A sole mandate is where one estate agent is given exclusive rights to market and sell the owner’s immovable property. The agreement should include the length of time that the. A sole mandate is an exclusive contract that stipulates a timeframe during which you may not appoint another agent to market. Sole mandate means you give a single estate agency the sole right to market your home for a fixed period of time, known as the mandate.
From www.sfiveband.com
Sole Mandate Agreement Template Sole Mandate Definition Sole mandate means you give a single estate agency the sole right to market your home for a fixed period of time, known as the mandate. A sole mandate is where one estate agent is given exclusive rights to market and sell the owner’s immovable property. A sole mandate is a written agreement (instruction) giving one agency exclusive rights to. Sole Mandate Definition.
From legal-explanations.com
Mandate Definition What Does Mandate Mean? Sole Mandate Definition A sole mandate is a written agreement (instruction) giving one agency exclusive rights to market and sell your property. What is a sole mandate? A sole mandate is where one estate agent is given exclusive rights to market and sell the owner’s immovable property. The agreement should include the length of time that the. For those who are unfamiliar with. Sole Mandate Definition.
From monarchproperties.co.za
What is a Sole Mandate and How Does It Work? Real Estate Sole Mandate Definition What is a sole mandate? A sole mandate is a written agreement (instruction) giving one agency exclusive rights to market and sell your property. The agreement should include the length of time that the. While an open mandate allows several real estate agencies to market a property at the same time, a sole mandate places the responsibility on a single. Sole Mandate Definition.
From hxezlogbz.blob.core.windows.net
Sole Purpose Meaning Definition at Thomas Bryant blog Sole Mandate Definition The agreement should include the length of time that the. A sole mandate is an exclusive contract that stipulates a timeframe during which you may not appoint another agent to market. While an open mandate allows several real estate agencies to market a property at the same time, a sole mandate places the responsibility on a single agent, which. A. Sole Mandate Definition.
From www.scribd.com
Sole Mandate Agreement Financial Transaction Business Law Sole Mandate Definition A sole mandate is where one estate agent is given exclusive rights to market and sell the owner’s immovable property. For those who are unfamiliar with the term, regional director and ceo of re/max of southern africa, adrian goslett, explains that a. While an open mandate allows several real estate agencies to market a property at the same time, a. Sole Mandate Definition.
From www.scribd.com
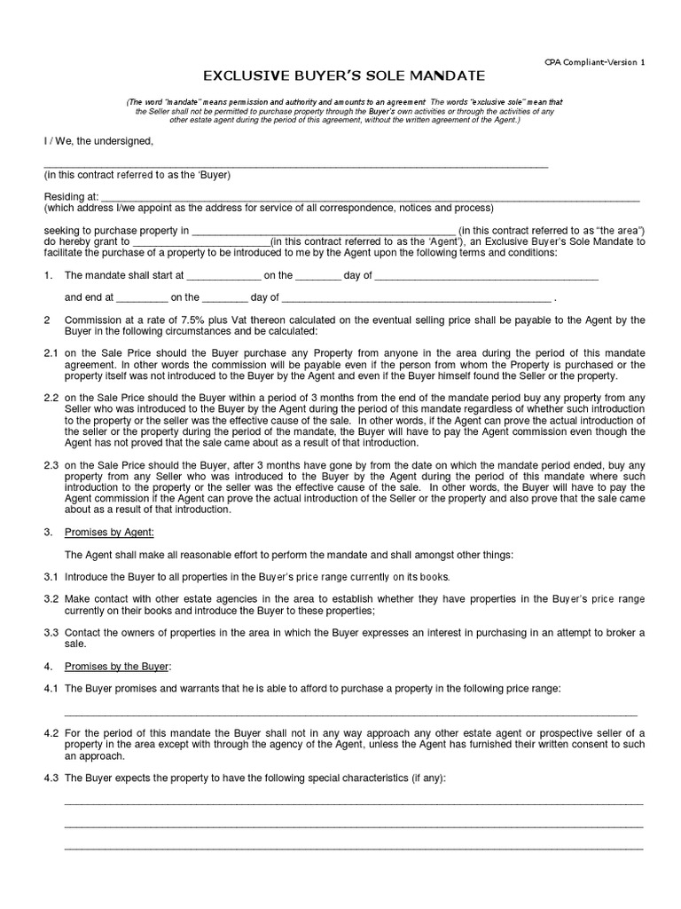
CPA Compliant Exclusive Buyer S Sole Mandate 1 PDF Sales Economies Sole Mandate Definition What is a sole mandate? While an open mandate allows several real estate agencies to market a property at the same time, a sole mandate places the responsibility on a single agent, which. For those who are unfamiliar with the term, regional director and ceo of re/max of southern africa, adrian goslett, explains that a. A sole mandate is an. Sole Mandate Definition.
From www.sfiveband.com
Sole Mandate Agreement Template Sole Mandate Definition The agreement should include the length of time that the. What is a sole mandate? A sole mandate is where one estate agent is given exclusive rights to market and sell the owner’s immovable property. A sole mandate is an exclusive contract that stipulates a timeframe during which you may not appoint another agent to market. While an open mandate. Sole Mandate Definition.
From durbanville-property.co.za
The Sole Mandate Debate Team Lydia & Andre eXp South Africa Real Estate Agents Sole Mandate Definition While an open mandate allows several real estate agencies to market a property at the same time, a sole mandate places the responsibility on a single agent, which. A sole mandate is where one estate agent is given exclusive rights to market and sell the owner’s immovable property. The agreement should include the length of time that the. A sole. Sole Mandate Definition.
From www.renebekker.co.za
The Benefits of a Sole Mandate with us Sole Mandate Definition While an open mandate allows several real estate agencies to market a property at the same time, a sole mandate places the responsibility on a single agent, which. Sole mandate means you give a single estate agency the sole right to market your home for a fixed period of time, known as the mandate. A sole mandate is where one. Sole Mandate Definition.
From www.studocu.com
Sole Mandate Agreement CTL TUT 1 Sole Mandate Agreement Between Percy Ledwaba (ID Nr. 980826 Sole Mandate Definition While an open mandate allows several real estate agencies to market a property at the same time, a sole mandate places the responsibility on a single agent, which. A sole mandate is where one estate agent is given exclusive rights to market and sell the owner’s immovable property. The agreement should include the length of time that the. A sole. Sole Mandate Definition.
From blog.rawson.co.za
Sole Mandate what it is, and why you should sign one. Sole Mandate Definition For those who are unfamiliar with the term, regional director and ceo of re/max of southern africa, adrian goslett, explains that a. The agreement should include the length of time that the. What is a sole mandate? A sole mandate is a written agreement (instruction) giving one agency exclusive rights to market and sell your property. Sole mandate means you. Sole Mandate Definition.
From www.primepropertysa.com
Benefits of a Sole Mandate Prime Property Sole Mandate Definition The agreement should include the length of time that the. Sole mandate means you give a single estate agency the sole right to market your home for a fixed period of time, known as the mandate. While an open mandate allows several real estate agencies to market a property at the same time, a sole mandate places the responsibility on. Sole Mandate Definition.
From www.youtube.com
Sole Mandate Strategies inar 3 Nov 2023 YouTube Sole Mandate Definition A sole mandate is a written agreement (instruction) giving one agency exclusive rights to market and sell your property. Sole mandate means you give a single estate agency the sole right to market your home for a fixed period of time, known as the mandate. A sole mandate is an exclusive contract that stipulates a timeframe during which you may. Sole Mandate Definition.
From www.fmssalesandleasing.co.za
Sole Mandate What You Need to Know FMS Sales and Leasing Sole Mandate Definition While an open mandate allows several real estate agencies to market a property at the same time, a sole mandate places the responsibility on a single agent, which. A sole mandate is where one estate agent is given exclusive rights to market and sell the owner’s immovable property. What is a sole mandate? For those who are unfamiliar with the. Sole Mandate Definition.
From www.pilanehurstlegal.co.za
Sole Mandate Sale Pilanehurst Legal Sole Mandate Definition For those who are unfamiliar with the term, regional director and ceo of re/max of southern africa, adrian goslett, explains that a. A sole mandate is a written agreement (instruction) giving one agency exclusive rights to market and sell your property. Sole mandate means you give a single estate agency the sole right to market your home for a fixed. Sole Mandate Definition.
From decaldivision.co.za
Sole Mandate Property Sign Sticker Sole Mandate Definition A sole mandate is an exclusive contract that stipulates a timeframe during which you may not appoint another agent to market. Sole mandate means you give a single estate agency the sole right to market your home for a fixed period of time, known as the mandate. For those who are unfamiliar with the term, regional director and ceo of. Sole Mandate Definition.
From www.youtube.com
Why choose a Sole Mandate YouTube Sole Mandate Definition A sole mandate is where one estate agent is given exclusive rights to market and sell the owner’s immovable property. What is a sole mandate? For those who are unfamiliar with the term, regional director and ceo of re/max of southern africa, adrian goslett, explains that a. A sole mandate is an exclusive contract that stipulates a timeframe during which. Sole Mandate Definition.
From www.sfiveband.com
Sole Mandate Agreement Template Sole Mandate Definition A sole mandate is where one estate agent is given exclusive rights to market and sell the owner’s immovable property. What is a sole mandate? For those who are unfamiliar with the term, regional director and ceo of re/max of southern africa, adrian goslett, explains that a. Sole mandate means you give a single estate agency the sole right to. Sole Mandate Definition.
From www.youtube.com
The benefits of a Sole Mandate YouTube Sole Mandate Definition What is a sole mandate? The agreement should include the length of time that the. For those who are unfamiliar with the term, regional director and ceo of re/max of southern africa, adrian goslett, explains that a. A sole mandate is an exclusive contract that stipulates a timeframe during which you may not appoint another agent to market. Sole mandate. Sole Mandate Definition.
From www.scribd.com
CPA Compliant Exclusive Sole Mandate PDF Sales Value Added Tax Sole Mandate Definition The agreement should include the length of time that the. What is a sole mandate? A sole mandate is where one estate agent is given exclusive rights to market and sell the owner’s immovable property. A sole mandate is an exclusive contract that stipulates a timeframe during which you may not appoint another agent to market. For those who are. Sole Mandate Definition.
From www.georgeherald.com
Sole mandates get better prices here’s why Herald Sole Mandate Definition A sole mandate is an exclusive contract that stipulates a timeframe during which you may not appoint another agent to market. While an open mandate allows several real estate agencies to market a property at the same time, a sole mandate places the responsibility on a single agent, which. What is a sole mandate? For those who are unfamiliar with. Sole Mandate Definition.
From www.youtube.com
Real Estate Sole Mandate Strategies that ACTUALLY work! YouTube Sole Mandate Definition A sole mandate is a written agreement (instruction) giving one agency exclusive rights to market and sell your property. A sole mandate is an exclusive contract that stipulates a timeframe during which you may not appoint another agent to market. What is a sole mandate? The agreement should include the length of time that the. Sole mandate means you give. Sole Mandate Definition.
From www.sfiveband.com
Sole Mandate Agreement Template Sole Mandate Definition A sole mandate is a written agreement (instruction) giving one agency exclusive rights to market and sell your property. A sole mandate is where one estate agent is given exclusive rights to market and sell the owner’s immovable property. While an open mandate allows several real estate agencies to market a property at the same time, a sole mandate places. Sole Mandate Definition.
From www.directlaw.co.za
Agreement creating a sole and exclusive mandate Direct Law Sole Mandate Definition A sole mandate is a written agreement (instruction) giving one agency exclusive rights to market and sell your property. Sole mandate means you give a single estate agency the sole right to market your home for a fixed period of time, known as the mandate. For those who are unfamiliar with the term, regional director and ceo of re/max of. Sole Mandate Definition.
From agreementsonline.co.za
Estate Agent's Sole Mandate Form Agreements Online Sole Mandate Definition For those who are unfamiliar with the term, regional director and ceo of re/max of southern africa, adrian goslett, explains that a. A sole mandate is where one estate agent is given exclusive rights to market and sell the owner’s immovable property. A sole mandate is a written agreement (instruction) giving one agency exclusive rights to market and sell your. Sole Mandate Definition.
From mendace.com
Sole Mandates in Commercial Property Mendace Properties Sole Mandate Definition Sole mandate means you give a single estate agency the sole right to market your home for a fixed period of time, known as the mandate. A sole mandate is a written agreement (instruction) giving one agency exclusive rights to market and sell your property. A sole mandate is an exclusive contract that stipulates a timeframe during which you may. Sole Mandate Definition.
From www.vandeventers.law
Is an estate agent’s sole mandate agreement binding in South Africa? Legal Articles Sole Mandate Definition A sole mandate is a written agreement (instruction) giving one agency exclusive rights to market and sell your property. A sole mandate is an exclusive contract that stipulates a timeframe during which you may not appoint another agent to market. Sole mandate means you give a single estate agency the sole right to market your home for a fixed period. Sole Mandate Definition.
From soundcloud.com
Stream What Is A Sole Mandate by Amanzimtoti Homes Listen online for free on SoundCloud Sole Mandate Definition While an open mandate allows several real estate agencies to market a property at the same time, a sole mandate places the responsibility on a single agent, which. The agreement should include the length of time that the. A sole mandate is an exclusive contract that stipulates a timeframe during which you may not appoint another agent to market. Sole. Sole Mandate Definition.
From www.pinterest.ph
Sole Mandate Agreement Template Property management, Being a landlord, Contract template Sole Mandate Definition A sole mandate is a written agreement (instruction) giving one agency exclusive rights to market and sell your property. The agreement should include the length of time that the. For those who are unfamiliar with the term, regional director and ceo of re/max of southern africa, adrian goslett, explains that a. A sole mandate is an exclusive contract that stipulates. Sole Mandate Definition.
From www.campbellprop.co.za
Sole Mandates, are they the right choice? Campbell Property Group Sole Mandate Definition For those who are unfamiliar with the term, regional director and ceo of re/max of southern africa, adrian goslett, explains that a. A sole mandate is where one estate agent is given exclusive rights to market and sell the owner’s immovable property. A sole mandate is an exclusive contract that stipulates a timeframe during which you may not appoint another. Sole Mandate Definition.
From www.studocu.com
Sole Mandate DOC IPS 234 UWC Studocu Sole Mandate Definition A sole mandate is an exclusive contract that stipulates a timeframe during which you may not appoint another agent to market. What is a sole mandate? While an open mandate allows several real estate agencies to market a property at the same time, a sole mandate places the responsibility on a single agent, which. The agreement should include the length. Sole Mandate Definition.
From awesomeprofessionaltemplate-design.blogspot.com
Sole Mandate Agreement Template Sole Mandate Definition A sole mandate is a written agreement (instruction) giving one agency exclusive rights to market and sell your property. What is a sole mandate? A sole mandate is an exclusive contract that stipulates a timeframe during which you may not appoint another agent to market. For those who are unfamiliar with the term, regional director and ceo of re/max of. Sole Mandate Definition.
From www.youtube.com
Sole Proprietorship Meaning, Definition, Features, Advantage And Disadvantage BBA Sole Mandate Definition A sole mandate is where one estate agent is given exclusive rights to market and sell the owner’s immovable property. A sole mandate is a written agreement (instruction) giving one agency exclusive rights to market and sell your property. While an open mandate allows several real estate agencies to market a property at the same time, a sole mandate places. Sole Mandate Definition.
From michaelshain.co.za
Difference Between A Sole Mandate and an Open Mandate Michael Shain Sole Mandate Definition A sole mandate is an exclusive contract that stipulates a timeframe during which you may not appoint another agent to market. What is a sole mandate? The agreement should include the length of time that the. While an open mandate allows several real estate agencies to market a property at the same time, a sole mandate places the responsibility on. Sole Mandate Definition.
From www.financestrategists.com
Sole Proprietorship Definition, Pros & Cons, and Tax Implications Sole Mandate Definition While an open mandate allows several real estate agencies to market a property at the same time, a sole mandate places the responsibility on a single agent, which. A sole mandate is where one estate agent is given exclusive rights to market and sell the owner’s immovable property. The agreement should include the length of time that the. A sole. Sole Mandate Definition.