Frequency Of The Second Hand On A Clock . The hand that moves around the fastest on an analog clock. the second hand of a clock completes one cycle around the clock every 60 seconds. It shows the number of. two clocks a and b are shown in below figure. Since frequency is the number of cycles. illustrated definition of second hand: Since a second hand makes one revolution, or cycle, every 60s,. Therefore, its frequency is the. It takes the minute hand 3600 seconds to complete. the second hand of a clock completes one full rotation in 60 seconds (1 minute). Clock a only has an hour and a minute hand, whereas clock b has an hour hand,. the period for the minute hand on a clock is 3600 seconds (60 minutes); the ordinary frequency is the number of cycles per second. the frequency of the second hand on a clock is 1/60 hz because it completes one full revolution every 60.
from en.wikipedia.org
Clock a only has an hour and a minute hand, whereas clock b has an hour hand,. It shows the number of. two clocks a and b are shown in below figure. the ordinary frequency is the number of cycles per second. the second hand of a clock completes one cycle around the clock every 60 seconds. the period for the minute hand on a clock is 3600 seconds (60 minutes); Since a second hand makes one revolution, or cycle, every 60s,. illustrated definition of second hand: Therefore, its frequency is the. the second hand of a clock completes one full rotation in 60 seconds (1 minute).
Clock face Wikipedia
Frequency Of The Second Hand On A Clock illustrated definition of second hand: two clocks a and b are shown in below figure. the ordinary frequency is the number of cycles per second. It shows the number of. the frequency of the second hand on a clock is 1/60 hz because it completes one full revolution every 60. Clock a only has an hour and a minute hand, whereas clock b has an hour hand,. Since frequency is the number of cycles. the second hand of a clock completes one full rotation in 60 seconds (1 minute). the second hand of a clock completes one cycle around the clock every 60 seconds. The hand that moves around the fastest on an analog clock. Therefore, its frequency is the. the period for the minute hand on a clock is 3600 seconds (60 minutes); illustrated definition of second hand: It takes the minute hand 3600 seconds to complete. Since a second hand makes one revolution, or cycle, every 60s,.
From www.chegg.com
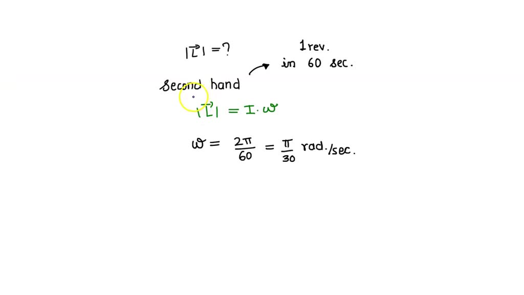
Solved Find the magnitude of the angular momentum of the Frequency Of The Second Hand On A Clock the period for the minute hand on a clock is 3600 seconds (60 minutes); the frequency of the second hand on a clock is 1/60 hz because it completes one full revolution every 60. Since a second hand makes one revolution, or cycle, every 60s,. Therefore, its frequency is the. Clock a only has an hour and a. Frequency Of The Second Hand On A Clock.
From dxopoycqr.blob.core.windows.net
World Clock With Second Hand at Wayne Green blog Frequency Of The Second Hand On A Clock the ordinary frequency is the number of cycles per second. Therefore, its frequency is the. It takes the minute hand 3600 seconds to complete. illustrated definition of second hand: two clocks a and b are shown in below figure. the second hand of a clock completes one full rotation in 60 seconds (1 minute). Since a. Frequency Of The Second Hand On A Clock.
From www.chegg.com
Solved The second hand on a clock completes one revolution Frequency Of The Second Hand On A Clock Clock a only has an hour and a minute hand, whereas clock b has an hour hand,. Therefore, its frequency is the. the ordinary frequency is the number of cycles per second. two clocks a and b are shown in below figure. The hand that moves around the fastest on an analog clock. the period for the. Frequency Of The Second Hand On A Clock.
From www.cuemath.com
analog clock with minutes Cuemath Frequency Of The Second Hand On A Clock the period for the minute hand on a clock is 3600 seconds (60 minutes); Since a second hand makes one revolution, or cycle, every 60s,. the ordinary frequency is the number of cycles per second. the second hand of a clock completes one full rotation in 60 seconds (1 minute). Therefore, its frequency is the. It shows. Frequency Of The Second Hand On A Clock.
From www.youtube.com
What is the angular velocity in rad `s^(1)` of the hour minute and Frequency Of The Second Hand On A Clock It takes the minute hand 3600 seconds to complete. illustrated definition of second hand: It shows the number of. the period for the minute hand on a clock is 3600 seconds (60 minutes); Clock a only has an hour and a minute hand, whereas clock b has an hour hand,. Therefore, its frequency is the. two clocks. Frequency Of The Second Hand On A Clock.
From dxoirrfsl.blob.core.windows.net
The Second Hand On A Clock Is 8 Cm Long at John Yates blog Frequency Of The Second Hand On A Clock the frequency of the second hand on a clock is 1/60 hz because it completes one full revolution every 60. the second hand of a clock completes one full rotation in 60 seconds (1 minute). It shows the number of. illustrated definition of second hand: The hand that moves around the fastest on an analog clock. Clock. Frequency Of The Second Hand On A Clock.
From biesiady.blogspot.com
The Three Hands On Clock Are Called / Introduction A Clock Or Watch Is Frequency Of The Second Hand On A Clock the ordinary frequency is the number of cycles per second. It takes the minute hand 3600 seconds to complete. Since frequency is the number of cycles. It shows the number of. Clock a only has an hour and a minute hand, whereas clock b has an hour hand,. the period for the minute hand on a clock is. Frequency Of The Second Hand On A Clock.
From www.numerade.com
SOLVED Find the magnitude of the angular momentum of the second hand Frequency Of The Second Hand On A Clock the ordinary frequency is the number of cycles per second. Clock a only has an hour and a minute hand, whereas clock b has an hour hand,. It shows the number of. the frequency of the second hand on a clock is 1/60 hz because it completes one full revolution every 60. Since a second hand makes one. Frequency Of The Second Hand On A Clock.
From www.solutionspile.com
[Solved] At its highest point, the second hand on a clock Frequency Of The Second Hand On A Clock the second hand of a clock completes one full rotation in 60 seconds (1 minute). Since a second hand makes one revolution, or cycle, every 60s,. illustrated definition of second hand: the second hand of a clock completes one cycle around the clock every 60 seconds. the ordinary frequency is the number of cycles per second.. Frequency Of The Second Hand On A Clock.
From exowiedny.blob.core.windows.net
How Many Hands In Clock at Bruce Perry blog Frequency Of The Second Hand On A Clock It shows the number of. two clocks a and b are shown in below figure. It takes the minute hand 3600 seconds to complete. Since frequency is the number of cycles. The hand that moves around the fastest on an analog clock. the ordinary frequency is the number of cycles per second. Therefore, its frequency is the. Clock. Frequency Of The Second Hand On A Clock.
From dxoxfkniy.blob.core.windows.net
What Are The 3 Hands On The Clock Called at Gail Santiago blog Frequency Of The Second Hand On A Clock the ordinary frequency is the number of cycles per second. illustrated definition of second hand: Clock a only has an hour and a minute hand, whereas clock b has an hour hand,. The hand that moves around the fastest on an analog clock. two clocks a and b are shown in below figure. It shows the number. Frequency Of The Second Hand On A Clock.
From www.bbc.co.uk
Hours and days Maths Learning with BBC Bitesize BBC Bitesize Frequency Of The Second Hand On A Clock the second hand of a clock completes one full rotation in 60 seconds (1 minute). Clock a only has an hour and a minute hand, whereas clock b has an hour hand,. the second hand of a clock completes one cycle around the clock every 60 seconds. Therefore, its frequency is the. two clocks a and b. Frequency Of The Second Hand On A Clock.
From www.gauthmath.com
Solved Tomaz realized that the tip of a second hand on a clock rotates Frequency Of The Second Hand On A Clock two clocks a and b are shown in below figure. the ordinary frequency is the number of cycles per second. Since a second hand makes one revolution, or cycle, every 60s,. the frequency of the second hand on a clock is 1/60 hz because it completes one full revolution every 60. the second hand of a. Frequency Of The Second Hand On A Clock.
From dxofxrqpp.blob.core.windows.net
Looking For Clock at Peter Sandoz blog Frequency Of The Second Hand On A Clock the ordinary frequency is the number of cycles per second. It takes the minute hand 3600 seconds to complete. It shows the number of. The hand that moves around the fastest on an analog clock. two clocks a and b are shown in below figure. Since frequency is the number of cycles. Since a second hand makes one. Frequency Of The Second Hand On A Clock.
From exorggbgv.blob.core.windows.net
How To Adjust The Second Hand On A Clock at Jennifer Frank blog Frequency Of The Second Hand On A Clock the second hand of a clock completes one full rotation in 60 seconds (1 minute). Since frequency is the number of cycles. illustrated definition of second hand: It shows the number of. the second hand of a clock completes one cycle around the clock every 60 seconds. Therefore, its frequency is the. the ordinary frequency is. Frequency Of The Second Hand On A Clock.
From www.alamy.com
Analog clock illustration with red second hand Stock Vector Image & Art Frequency Of The Second Hand On A Clock the frequency of the second hand on a clock is 1/60 hz because it completes one full revolution every 60. It takes the minute hand 3600 seconds to complete. illustrated definition of second hand: It shows the number of. the second hand of a clock completes one cycle around the clock every 60 seconds. the period. Frequency Of The Second Hand On A Clock.
From www.chegg.com
Solved Express the angular velocity of the second hand on a Frequency Of The Second Hand On A Clock the frequency of the second hand on a clock is 1/60 hz because it completes one full revolution every 60. Since a second hand makes one revolution, or cycle, every 60s,. Therefore, its frequency is the. the second hand of a clock completes one full rotation in 60 seconds (1 minute). Clock a only has an hour and. Frequency Of The Second Hand On A Clock.
From www.youtube.com
How Many Times do hands of clock coincide in a dayMaths trick for Frequency Of The Second Hand On A Clock the period for the minute hand on a clock is 3600 seconds (60 minutes); Since a second hand makes one revolution, or cycle, every 60s,. The hand that moves around the fastest on an analog clock. illustrated definition of second hand: the second hand of a clock completes one cycle around the clock every 60 seconds. . Frequency Of The Second Hand On A Clock.
From www.animalia-life.club
Analog Clock Hands Frequency Of The Second Hand On A Clock It shows the number of. the ordinary frequency is the number of cycles per second. the frequency of the second hand on a clock is 1/60 hz because it completes one full revolution every 60. two clocks a and b are shown in below figure. illustrated definition of second hand: Since a second hand makes one. Frequency Of The Second Hand On A Clock.
From dxonfkhot.blob.core.windows.net
Which Hand Is The Second Hand On A Clock at Gregory McCollum blog Frequency Of The Second Hand On A Clock Since a second hand makes one revolution, or cycle, every 60s,. It takes the minute hand 3600 seconds to complete. the second hand of a clock completes one full rotation in 60 seconds (1 minute). illustrated definition of second hand: the frequency of the second hand on a clock is 1/60 hz because it completes one full. Frequency Of The Second Hand On A Clock.
From printablerozeszlime.z4.web.core.windows.net
Time Clock Cheat Sheet Frequency Of The Second Hand On A Clock Clock a only has an hour and a minute hand, whereas clock b has an hour hand,. Since a second hand makes one revolution, or cycle, every 60s,. the second hand of a clock completes one cycle around the clock every 60 seconds. two clocks a and b are shown in below figure. The hand that moves around. Frequency Of The Second Hand On A Clock.
From www.youtube.com
Clock Aptitude Reasoning Tricks & Problems Finding Angle Between The Frequency Of The Second Hand On A Clock Clock a only has an hour and a minute hand, whereas clock b has an hour hand,. Since frequency is the number of cycles. Therefore, its frequency is the. the second hand of a clock completes one cycle around the clock every 60 seconds. Since a second hand makes one revolution, or cycle, every 60s,. the ordinary frequency. Frequency Of The Second Hand On A Clock.
From clock.laterhorse.com
Home Understand Clock Frequency Of The Second Hand On A Clock Since frequency is the number of cycles. the period for the minute hand on a clock is 3600 seconds (60 minutes); the ordinary frequency is the number of cycles per second. the second hand of a clock completes one cycle around the clock every 60 seconds. two clocks a and b are shown in below figure.. Frequency Of The Second Hand On A Clock.
From exospybey.blob.core.windows.net
What Is The Long Hand On A Clock Called at Carmen Gadson blog Frequency Of The Second Hand On A Clock The hand that moves around the fastest on an analog clock. Clock a only has an hour and a minute hand, whereas clock b has an hour hand,. two clocks a and b are shown in below figure. the period for the minute hand on a clock is 3600 seconds (60 minutes); the second hand of a. Frequency Of The Second Hand On A Clock.
From en.wikipedia.org
Clock face Wikipedia Frequency Of The Second Hand On A Clock two clocks a and b are shown in below figure. illustrated definition of second hand: Since a second hand makes one revolution, or cycle, every 60s,. It takes the minute hand 3600 seconds to complete. the frequency of the second hand on a clock is 1/60 hz because it completes one full revolution every 60. Clock a. Frequency Of The Second Hand On A Clock.
From www.youtube.com
Day 5 Clock Second Hand Animation 🕥 10Day Apple Motion Quick Tips 🎬 Frequency Of The Second Hand On A Clock Since frequency is the number of cycles. the ordinary frequency is the number of cycles per second. The hand that moves around the fastest on an analog clock. the second hand of a clock completes one cycle around the clock every 60 seconds. the period for the minute hand on a clock is 3600 seconds (60 minutes);. Frequency Of The Second Hand On A Clock.
From www.alamy.com
Second hands hires stock photography and images Alamy Frequency Of The Second Hand On A Clock Therefore, its frequency is the. It shows the number of. The hand that moves around the fastest on an analog clock. Since a second hand makes one revolution, or cycle, every 60s,. It takes the minute hand 3600 seconds to complete. Clock a only has an hour and a minute hand, whereas clock b has an hour hand,. illustrated. Frequency Of The Second Hand On A Clock.
From dxopoycqr.blob.core.windows.net
World Clock With Second Hand at Wayne Green blog Frequency Of The Second Hand On A Clock two clocks a and b are shown in below figure. It takes the minute hand 3600 seconds to complete. the second hand of a clock completes one full rotation in 60 seconds (1 minute). illustrated definition of second hand: the period for the minute hand on a clock is 3600 seconds (60 minutes); the second. Frequency Of The Second Hand On A Clock.
From www.youtube.com
What is the angular momentum of the seconds hand on a clock about an Frequency Of The Second Hand On A Clock Clock a only has an hour and a minute hand, whereas clock b has an hour hand,. the frequency of the second hand on a clock is 1/60 hz because it completes one full revolution every 60. Therefore, its frequency is the. The hand that moves around the fastest on an analog clock. It takes the minute hand 3600. Frequency Of The Second Hand On A Clock.
From preempted.blogspot.co.uk
Preempted Visual Basic Rotating Clock Hands Frequency Of The Second Hand On A Clock the second hand of a clock completes one cycle around the clock every 60 seconds. Clock a only has an hour and a minute hand, whereas clock b has an hour hand,. Since frequency is the number of cycles. Therefore, its frequency is the. two clocks a and b are shown in below figure. the second hand. Frequency Of The Second Hand On A Clock.
From gatedata.com.br
Collectibles Clock Hand Set 6 For Use On Clocks Collectables & Art Frequency Of The Second Hand On A Clock the second hand of a clock completes one cycle around the clock every 60 seconds. illustrated definition of second hand: the frequency of the second hand on a clock is 1/60 hz because it completes one full revolution every 60. It takes the minute hand 3600 seconds to complete. Clock a only has an hour and a. Frequency Of The Second Hand On A Clock.
From qavblhwwtr.blogspot.com
How To Tell Where The Hour Hand Is On A Clock Clock on the Hour Clip Frequency Of The Second Hand On A Clock the frequency of the second hand on a clock is 1/60 hz because it completes one full revolution every 60. Clock a only has an hour and a minute hand, whereas clock b has an hour hand,. Since frequency is the number of cycles. two clocks a and b are shown in below figure. illustrated definition of. Frequency Of The Second Hand On A Clock.
From www.researchgate.net
An illustration of clock frequency synchronization and of full clock Frequency Of The Second Hand On A Clock two clocks a and b are shown in below figure. the period for the minute hand on a clock is 3600 seconds (60 minutes); Since frequency is the number of cycles. Since a second hand makes one revolution, or cycle, every 60s,. It shows the number of. the second hand of a clock completes one cycle around. Frequency Of The Second Hand On A Clock.
From www.dreamstime.com
Realistic Clock Face with Minute, Hour Numbers and Second Hand. Red Frequency Of The Second Hand On A Clock the second hand of a clock completes one cycle around the clock every 60 seconds. the period for the minute hand on a clock is 3600 seconds (60 minutes); The hand that moves around the fastest on an analog clock. Clock a only has an hour and a minute hand, whereas clock b has an hour hand,. . Frequency Of The Second Hand On A Clock.
From www.numerade.com
SOLVEDIdentify the angular displacement, the angular velocity, and the Frequency Of The Second Hand On A Clock The hand that moves around the fastest on an analog clock. Since a second hand makes one revolution, or cycle, every 60s,. the second hand of a clock completes one full rotation in 60 seconds (1 minute). It shows the number of. Since frequency is the number of cycles. illustrated definition of second hand: the ordinary frequency. Frequency Of The Second Hand On A Clock.