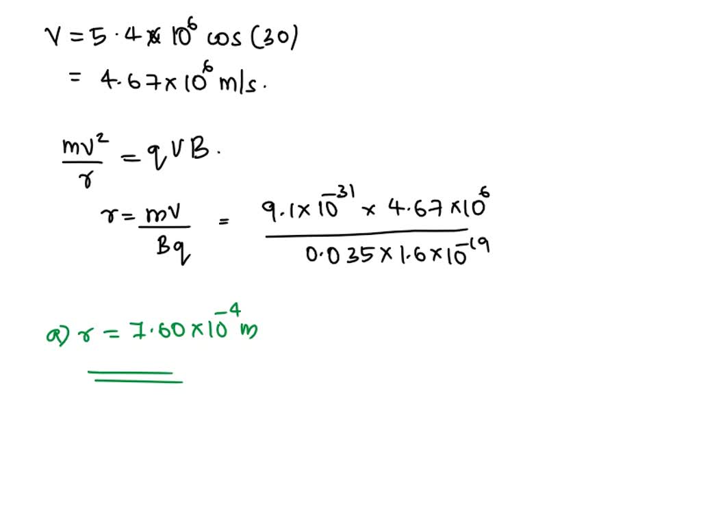
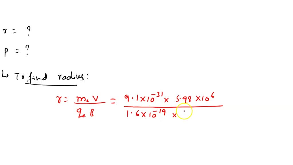
Pitch P Of The Electron's Spiral Trajectory . The radius and pitch of an electron's spiral trajectory affect its motion by determining the curvature and shape of its path. The particles are held to a spiral trajectory by a static magnetic field and accelerated by a rapidly varying electric field. Find the radius r of the electron's spiral. There are 3 steps to solve this one. 2 π m v 0 b 0 q. To do this, we can use the equation for the centripetal force: The magnetic force acting on the particle of charge +q is, f= q (v × b) where v= velocity of a charged particle perpendicular. Find the pitch p of the electron's spiral trajectory. First, we need to find the radius r of the electron's spiral trajectory. The pitch of the electron's spiral trajectory is measured in meters (m), not any of the other options offered. The particle's motion is expected to be a.
from www.chegg.com
2 π m v 0 b 0 q. The pitch of the electron's spiral trajectory is measured in meters (m), not any of the other options offered. There are 3 steps to solve this one. The radius and pitch of an electron's spiral trajectory affect its motion by determining the curvature and shape of its path. Find the pitch p of the electron's spiral trajectory. To do this, we can use the equation for the centripetal force: The particle's motion is expected to be a. First, we need to find the radius r of the electron's spiral trajectory. The magnetic force acting on the particle of charge +q is, f= q (v × b) where v= velocity of a charged particle perpendicular. The particles are held to a spiral trajectory by a static magnetic field and accelerated by a rapidly varying electric field.
Solved above the xyplane. Find the radius r and the pitch
Pitch P Of The Electron's Spiral Trajectory The particle's motion is expected to be a. Find the radius r of the electron's spiral. First, we need to find the radius r of the electron's spiral trajectory. The magnetic force acting on the particle of charge +q is, f= q (v × b) where v= velocity of a charged particle perpendicular. To do this, we can use the equation for the centripetal force: Find the pitch p of the electron's spiral trajectory. 2 π m v 0 b 0 q. The radius and pitch of an electron's spiral trajectory affect its motion by determining the curvature and shape of its path. There are 3 steps to solve this one. The particles are held to a spiral trajectory by a static magnetic field and accelerated by a rapidly varying electric field. The particle's motion is expected to be a. The pitch of the electron's spiral trajectory is measured in meters (m), not any of the other options offered.
From www.bartleby.com
Answered The uniform 33.0 mT field in… bartleby Pitch P Of The Electron's Spiral Trajectory To do this, we can use the equation for the centripetal force: The magnetic force acting on the particle of charge +q is, f= q (v × b) where v= velocity of a charged particle perpendicular. First, we need to find the radius r of the electron's spiral trajectory. The pitch of the electron's spiral trajectory is measured in meters. Pitch P Of The Electron's Spiral Trajectory.
From www.numerade.com
SOLVED The uniform 35.0 mT field in the figure points in the Pitch P Of The Electron's Spiral Trajectory The particle's motion is expected to be a. To do this, we can use the equation for the centripetal force: The radius and pitch of an electron's spiral trajectory affect its motion by determining the curvature and shape of its path. The magnetic force acting on the particle of charge +q is, f= q (v × b) where v= velocity. Pitch P Of The Electron's Spiral Trajectory.
From www.chegg.com
Solved The uniform 35.0 mT field in the figure Pitch P Of The Electron's Spiral Trajectory The particle's motion is expected to be a. Find the radius r of the electron's spiral. First, we need to find the radius r of the electron's spiral trajectory. Find the pitch p of the electron's spiral trajectory. The magnetic force acting on the particle of charge +q is, f= q (v × b) where v= velocity of a charged. Pitch P Of The Electron's Spiral Trajectory.
From www.chegg.com
Solved The uniform 29.0mT field in the figure Pitch P Of The Electron's Spiral Trajectory The pitch of the electron's spiral trajectory is measured in meters (m), not any of the other options offered. Find the radius r of the electron's spiral. 2 π m v 0 b 0 q. The particle's motion is expected to be a. The magnetic force acting on the particle of charge +q is, f= q (v × b) where. Pitch P Of The Electron's Spiral Trajectory.
From www.chegg.com
Solved above the xyplane. Find the radius r and the pitch Pitch P Of The Electron's Spiral Trajectory The pitch of the electron's spiral trajectory is measured in meters (m), not any of the other options offered. The particles are held to a spiral trajectory by a static magnetic field and accelerated by a rapidly varying electric field. First, we need to find the radius r of the electron's spiral trajectory. To do this, we can use the. Pitch P Of The Electron's Spiral Trajectory.
From www.numerade.com
SOLVED The uniform 53.0 mT field in the picture below points Pitch P Of The Electron's Spiral Trajectory The pitch of the electron's spiral trajectory is measured in meters (m), not any of the other options offered. First, we need to find the radius r of the electron's spiral trajectory. The particle's motion is expected to be a. To do this, we can use the equation for the centripetal force: The particles are held to a spiral trajectory. Pitch P Of The Electron's Spiral Trajectory.
From www.numerade.com
SOLVED Constants Periodic The uniform 34.0 mT field in the Pitch P Of The Electron's Spiral Trajectory The particle's motion is expected to be a. 2 π m v 0 b 0 q. Find the pitch p of the electron's spiral trajectory. The pitch of the electron's spiral trajectory is measured in meters (m), not any of the other options offered. Find the radius r of the electron's spiral. The particles are held to a spiral trajectory. Pitch P Of The Electron's Spiral Trajectory.
From www.chegg.com
Solved The uniform 35.0mT field in the figure Pitch P Of The Electron's Spiral Trajectory First, we need to find the radius r of the electron's spiral trajectory. The particles are held to a spiral trajectory by a static magnetic field and accelerated by a rapidly varying electric field. The magnetic force acting on the particle of charge +q is, f= q (v × b) where v= velocity of a charged particle perpendicular. Find the. Pitch P Of The Electron's Spiral Trajectory.
From www.chegg.com
Solved The uniform 24.0mT field in the picture Pitch P Of The Electron's Spiral Trajectory 2 π m v 0 b 0 q. There are 3 steps to solve this one. The particles are held to a spiral trajectory by a static magnetic field and accelerated by a rapidly varying electric field. The magnetic force acting on the particle of charge +q is, f= q (v × b) where v= velocity of a charged particle. Pitch P Of The Electron's Spiral Trajectory.
From www.numerade.com
Find the radius of the electron's spiral trajectory The uniform 35.0 Pitch P Of The Electron's Spiral Trajectory The radius and pitch of an electron's spiral trajectory affect its motion by determining the curvature and shape of its path. There are 3 steps to solve this one. Find the radius r of the electron's spiral. 2 π m v 0 b 0 q. The particle's motion is expected to be a. First, we need to find the radius. Pitch P Of The Electron's Spiral Trajectory.
From www.numerade.com
SOLVED The uniform 31.0 m field in the figure points in the Pitch P Of The Electron's Spiral Trajectory The particles are held to a spiral trajectory by a static magnetic field and accelerated by a rapidly varying electric field. The radius and pitch of an electron's spiral trajectory affect its motion by determining the curvature and shape of its path. Find the radius r of the electron's spiral. The magnetic force acting on the particle of charge +q. Pitch P Of The Electron's Spiral Trajectory.
From ar.inspiredpencil.com
Archimedean Spiral Pitch P Of The Electron's Spiral Trajectory Find the pitch p of the electron's spiral trajectory. The particles are held to a spiral trajectory by a static magnetic field and accelerated by a rapidly varying electric field. The particle's motion is expected to be a. First, we need to find the radius r of the electron's spiral trajectory. Find the radius r of the electron's spiral. 2. Pitch P Of The Electron's Spiral Trajectory.
From www.chegg.com
Solved Problem 29.65 〈 9 of 11 Part A The uniform 34.0 mT Pitch P Of The Electron's Spiral Trajectory 2 π m v 0 b 0 q. The magnetic force acting on the particle of charge +q is, f= q (v × b) where v= velocity of a charged particle perpendicular. The pitch of the electron's spiral trajectory is measured in meters (m), not any of the other options offered. To do this, we can use the equation for. Pitch P Of The Electron's Spiral Trajectory.
From www.numerade.com
SOLVEDThe uniform 30 mT field in FIGURE P 33.62 points in the Pitch P Of The Electron's Spiral Trajectory Find the radius r of the electron's spiral. The magnetic force acting on the particle of charge +q is, f= q (v × b) where v= velocity of a charged particle perpendicular. The radius and pitch of an electron's spiral trajectory affect its motion by determining the curvature and shape of its path. First, we need to find the radius. Pitch P Of The Electron's Spiral Trajectory.
From www.numerade.com
SOLVED The uniform 35.0 mT field in the figure points in the Pitch P Of The Electron's Spiral Trajectory The particles are held to a spiral trajectory by a static magnetic field and accelerated by a rapidly varying electric field. 2 π m v 0 b 0 q. The particle's motion is expected to be a. First, we need to find the radius r of the electron's spiral trajectory. Find the radius r of the electron's spiral. Find the. Pitch P Of The Electron's Spiral Trajectory.
From www.chegg.com
Solved The uniform 35.0 mT field in the figure Pitch P Of The Electron's Spiral Trajectory Find the radius r of the electron's spiral. The magnetic force acting on the particle of charge +q is, f= q (v × b) where v= velocity of a charged particle perpendicular. There are 3 steps to solve this one. To do this, we can use the equation for the centripetal force: 2 π m v 0 b 0 q.. Pitch P Of The Electron's Spiral Trajectory.
From www.numerade.com
SOLVED The uniform 28.0 mT field in the figure points in the Pitch P Of The Electron's Spiral Trajectory 2 π m v 0 b 0 q. The particle's motion is expected to be a. Find the pitch p of the electron's spiral trajectory. Find the radius r of the electron's spiral. The particles are held to a spiral trajectory by a static magnetic field and accelerated by a rapidly varying electric field. There are 3 steps to solve. Pitch P Of The Electron's Spiral Trajectory.
From www.numerade.com
Find the radius r of the electron's spiral trajectory. Find the pitch p Pitch P Of The Electron's Spiral Trajectory The radius and pitch of an electron's spiral trajectory affect its motion by determining the curvature and shape of its path. To do this, we can use the equation for the centripetal force: The magnetic force acting on the particle of charge +q is, f= q (v × b) where v= velocity of a charged particle perpendicular. The pitch of. Pitch P Of The Electron's Spiral Trajectory.
From www.chegg.com
Solved xyplane. Find the radius r and the pitch p of the Pitch P Of The Electron's Spiral Trajectory The magnetic force acting on the particle of charge +q is, f= q (v × b) where v= velocity of a charged particle perpendicular. There are 3 steps to solve this one. Find the radius r of the electron's spiral. Find the pitch p of the electron's spiral trajectory. The radius and pitch of an electron's spiral trajectory affect its. Pitch P Of The Electron's Spiral Trajectory.
From www.bartleby.com
Answered The uniform 30 mT field in… bartleby Pitch P Of The Electron's Spiral Trajectory Find the radius r of the electron's spiral. The particle's motion is expected to be a. Find the pitch p of the electron's spiral trajectory. The radius and pitch of an electron's spiral trajectory affect its motion by determining the curvature and shape of its path. The magnetic force acting on the particle of charge +q is, f= q (v. Pitch P Of The Electron's Spiral Trajectory.
From www.numerade.com
SOLVED The uniform 31.0 mT field in the figure points in the Pitch P Of The Electron's Spiral Trajectory To do this, we can use the equation for the centripetal force: The pitch of the electron's spiral trajectory is measured in meters (m), not any of the other options offered. 2 π m v 0 b 0 q. Find the pitch p of the electron's spiral trajectory. The radius and pitch of an electron's spiral trajectory affect its motion. Pitch P Of The Electron's Spiral Trajectory.
From www.toppr.com
A particle P is moving at constant speed V in a circular path of radius Pitch P Of The Electron's Spiral Trajectory To do this, we can use the equation for the centripetal force: The pitch of the electron's spiral trajectory is measured in meters (m), not any of the other options offered. The radius and pitch of an electron's spiral trajectory affect its motion by determining the curvature and shape of its path. There are 3 steps to solve this one.. Pitch P Of The Electron's Spiral Trajectory.
From buzztutor.com
Buzztutor Questions and Answers by Category Pitch P Of The Electron's Spiral Trajectory The magnetic force acting on the particle of charge +q is, f= q (v × b) where v= velocity of a charged particle perpendicular. 2 π m v 0 b 0 q. To do this, we can use the equation for the centripetal force: First, we need to find the radius r of the electron's spiral trajectory. The particles are. Pitch P Of The Electron's Spiral Trajectory.
From www.numerade.com
SOLVED Problem 32.82 Part A The uniform 28.0 mT field in the Pitch P Of The Electron's Spiral Trajectory Find the pitch p of the electron's spiral trajectory. The magnetic force acting on the particle of charge +q is, f= q (v × b) where v= velocity of a charged particle perpendicular. First, we need to find the radius r of the electron's spiral trajectory. Find the radius r of the electron's spiral. The pitch of the electron's spiral. Pitch P Of The Electron's Spiral Trajectory.
From www.chegg.com
Solved The uniform 28.0 mT field in the figure Pitch P Of The Electron's Spiral Trajectory Find the pitch p of the electron's spiral trajectory. The radius and pitch of an electron's spiral trajectory affect its motion by determining the curvature and shape of its path. The pitch of the electron's spiral trajectory is measured in meters (m), not any of the other options offered. First, we need to find the radius r of the electron's. Pitch P Of The Electron's Spiral Trajectory.
From www.numerade.com
SOLVED uniform 0.40 T rected ralodg3("above the xyplane, as Pitch P Of The Electron's Spiral Trajectory First, we need to find the radius r of the electron's spiral trajectory. The particles are held to a spiral trajectory by a static magnetic field and accelerated by a rapidly varying electric field. The pitch of the electron's spiral trajectory is measured in meters (m), not any of the other options offered. There are 3 steps to solve this. Pitch P Of The Electron's Spiral Trajectory.
From www.chegg.com
Solved The uniform 34.0 mT field in the figure Pitch P Of The Electron's Spiral Trajectory To do this, we can use the equation for the centripetal force: The magnetic force acting on the particle of charge +q is, f= q (v × b) where v= velocity of a charged particle perpendicular. The particle's motion is expected to be a. The radius and pitch of an electron's spiral trajectory affect its motion by determining the curvature. Pitch P Of The Electron's Spiral Trajectory.
From www.chegg.com
Solved The uniform 62.9 mT field in the picture Pitch P Of The Electron's Spiral Trajectory First, we need to find the radius r of the electron's spiral trajectory. The particle's motion is expected to be a. To do this, we can use the equation for the centripetal force: Find the radius r of the electron's spiral. There are 3 steps to solve this one. 2 π m v 0 b 0 q. The radius and. Pitch P Of The Electron's Spiral Trajectory.
From www.bartleby.com
Answered Problem 6An electron in B field… bartleby Pitch P Of The Electron's Spiral Trajectory To do this, we can use the equation for the centripetal force: There are 3 steps to solve this one. First, we need to find the radius r of the electron's spiral trajectory. 2 π m v 0 b 0 q. Find the radius r of the electron's spiral. The particle's motion is expected to be a. The radius and. Pitch P Of The Electron's Spiral Trajectory.
From www.chegg.com
Solved The uniform 40.6mT field in the picture Pitch P Of The Electron's Spiral Trajectory The radius and pitch of an electron's spiral trajectory affect its motion by determining the curvature and shape of its path. There are 3 steps to solve this one. To do this, we can use the equation for the centripetal force: The particle's motion is expected to be a. Find the pitch p of the electron's spiral trajectory. Find the. Pitch P Of The Electron's Spiral Trajectory.
From www.chegg.com
Solved Problem 32.82 Part A Find the radius r of the Pitch P Of The Electron's Spiral Trajectory There are 3 steps to solve this one. The magnetic force acting on the particle of charge +q is, f= q (v × b) where v= velocity of a charged particle perpendicular. The pitch of the electron's spiral trajectory is measured in meters (m), not any of the other options offered. First, we need to find the radius r of. Pitch P Of The Electron's Spiral Trajectory.
From www.numerade.com
SOLVED The uniform 53.3 mT field in the picture below points Pitch P Of The Electron's Spiral Trajectory To do this, we can use the equation for the centripetal force: Find the pitch p of the electron's spiral trajectory. There are 3 steps to solve this one. The radius and pitch of an electron's spiral trajectory affect its motion by determining the curvature and shape of its path. First, we need to find the radius r of the. Pitch P Of The Electron's Spiral Trajectory.
From www.chegg.com
Solved The uniform 32.0mT field in the figure Pitch P Of The Electron's Spiral Trajectory The particles are held to a spiral trajectory by a static magnetic field and accelerated by a rapidly varying electric field. 2 π m v 0 b 0 q. The magnetic force acting on the particle of charge +q is, f= q (v × b) where v= velocity of a charged particle perpendicular. First, we need to find the radius. Pitch P Of The Electron's Spiral Trajectory.
From www.chegg.com
Solved 4) The uniform 30 mT field in the figure Pitch P Of The Electron's Spiral Trajectory The particles are held to a spiral trajectory by a static magnetic field and accelerated by a rapidly varying electric field. To do this, we can use the equation for the centripetal force: 2 π m v 0 b 0 q. Find the pitch p of the electron's spiral trajectory. The radius and pitch of an electron's spiral trajectory affect. Pitch P Of The Electron's Spiral Trajectory.
From www.numerade.com
SOLVED The uniform 35.0 mT field in the figure points in the Pitch P Of The Electron's Spiral Trajectory There are 3 steps to solve this one. The pitch of the electron's spiral trajectory is measured in meters (m), not any of the other options offered. First, we need to find the radius r of the electron's spiral trajectory. The radius and pitch of an electron's spiral trajectory affect its motion by determining the curvature and shape of its. Pitch P Of The Electron's Spiral Trajectory.