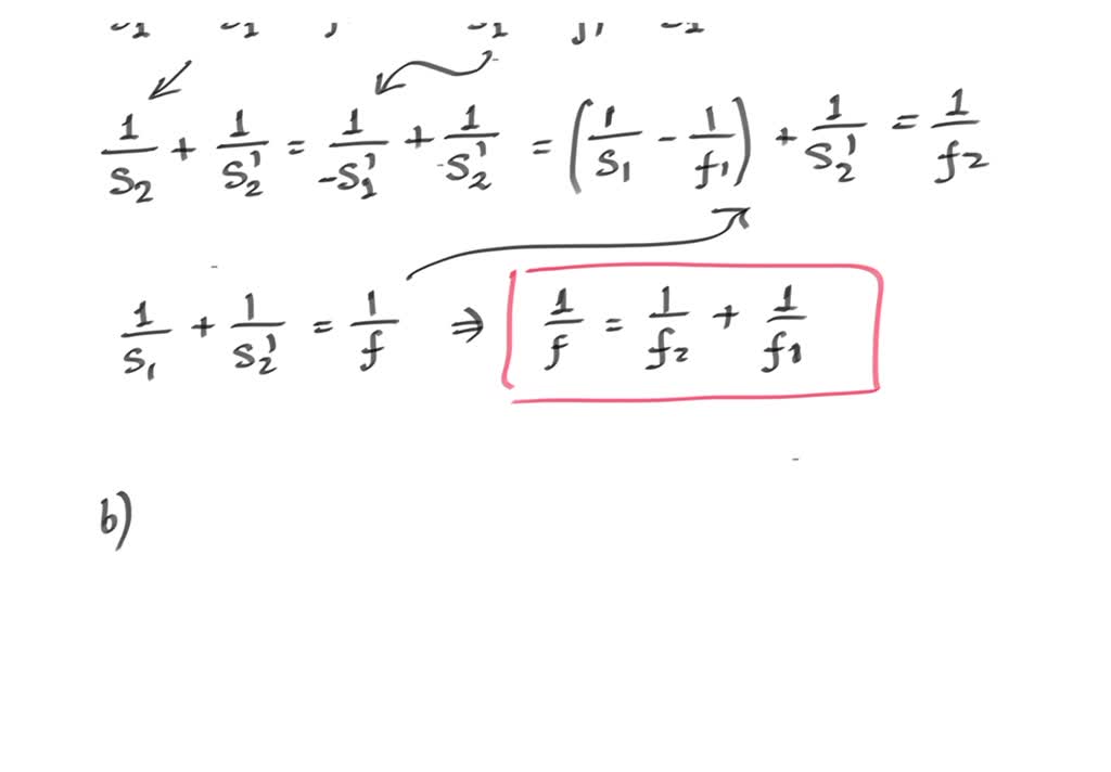
Two Thin Lenses When In Contact . In many optical instruments there may be compound lenses, that is, two or more lenses in contact. In contact, 1/f = 1/f1 + 1/f2 =. If the lenses of focal lengths f1 and f2 are “thin”, the combined focal length f of the lenses is given by. The simplest case is where lenses are placed in contact: Two thin lenses in contact. A simple lens system consists of the use of only one lens as opposed to the compound lens system. Two thin lenses kept in touch with one another make up the simplest of these compound lens systems. Suppose we have two lenses, m an d n, with f 1 and f 2 focal lengths, respectively. When two thin lenses, one convex, and one concave, are placed in contact, their combined focal length can be determined using a specific. We will first deal with the case of two thin lenses in contact. Since 1/f is the power of a lens, it can be seen that the powers of thin lenses in contact are additive. Let the two lenses have focal lengths f1 and f2, in metres. A thin lens is defined to be one whose thickness allows rays to refract, as illustrated in, but does not allow properties such as dispersion and.
from www.youtube.com
A thin lens is defined to be one whose thickness allows rays to refract, as illustrated in, but does not allow properties such as dispersion and. If the lenses of focal lengths f1 and f2 are “thin”, the combined focal length f of the lenses is given by. A simple lens system consists of the use of only one lens as opposed to the compound lens system. Let the two lenses have focal lengths f1 and f2, in metres. Since 1/f is the power of a lens, it can be seen that the powers of thin lenses in contact are additive. When two thin lenses, one convex, and one concave, are placed in contact, their combined focal length can be determined using a specific. Two thin lenses in contact. The simplest case is where lenses are placed in contact: Suppose we have two lenses, m an d n, with f 1 and f 2 focal lengths, respectively. Two thin lenses kept in touch with one another make up the simplest of these compound lens systems.
Combination Of Thin Lenses In Contact CBSE Class 12 Ray Optics and
Two Thin Lenses When In Contact In contact, 1/f = 1/f1 + 1/f2 =. Two thin lenses in contact. When two thin lenses, one convex, and one concave, are placed in contact, their combined focal length can be determined using a specific. The simplest case is where lenses are placed in contact: Let the two lenses have focal lengths f1 and f2, in metres. We will first deal with the case of two thin lenses in contact. Since 1/f is the power of a lens, it can be seen that the powers of thin lenses in contact are additive. If the lenses of focal lengths f1 and f2 are “thin”, the combined focal length f of the lenses is given by. A thin lens is defined to be one whose thickness allows rays to refract, as illustrated in, but does not allow properties such as dispersion and. A simple lens system consists of the use of only one lens as opposed to the compound lens system. In many optical instruments there may be compound lenses, that is, two or more lenses in contact. In contact, 1/f = 1/f1 + 1/f2 =. Two thin lenses kept in touch with one another make up the simplest of these compound lens systems. Suppose we have two lenses, m an d n, with f 1 and f 2 focal lengths, respectively.
From www.researchgate.net
6 a) Optical system of two thin lenses and b) a combination of a Two Thin Lenses When In Contact A thin lens is defined to be one whose thickness allows rays to refract, as illustrated in, but does not allow properties such as dispersion and. Since 1/f is the power of a lens, it can be seen that the powers of thin lenses in contact are additive. If the lenses of focal lengths f1 and f2 are “thin”, the. Two Thin Lenses When In Contact.
From www.youtube.com
Equivalent focal length and power of two thin lenses in contact YouTube Two Thin Lenses When In Contact We will first deal with the case of two thin lenses in contact. Since 1/f is the power of a lens, it can be seen that the powers of thin lenses in contact are additive. In contact, 1/f = 1/f1 + 1/f2 =. When two thin lenses, one convex, and one concave, are placed in contact, their combined focal length. Two Thin Lenses When In Contact.
From www.numerade.com
SOLVED Two thin lenses of focal lengths 12 cm and +30 cm are in Two Thin Lenses When In Contact When two thin lenses, one convex, and one concave, are placed in contact, their combined focal length can be determined using a specific. Two thin lenses kept in touch with one another make up the simplest of these compound lens systems. A simple lens system consists of the use of only one lens as opposed to the compound lens system.. Two Thin Lenses When In Contact.
From askfilo.com
Two thin lenses are in contact and the focal length of one lens is 20 cm.. Two Thin Lenses When In Contact A simple lens system consists of the use of only one lens as opposed to the compound lens system. Let the two lenses have focal lengths f1 and f2, in metres. We will first deal with the case of two thin lenses in contact. If the lenses of focal lengths f1 and f2 are “thin”, the combined focal length f. Two Thin Lenses When In Contact.
From www.youtube.com
Two thin lenses are kept coaxially in contact with each other and focal Two Thin Lenses When In Contact If the lenses of focal lengths f1 and f2 are “thin”, the combined focal length f of the lenses is given by. In contact, 1/f = 1/f1 + 1/f2 =. When two thin lenses, one convex, and one concave, are placed in contact, their combined focal length can be determined using a specific. In many optical instruments there may be. Two Thin Lenses When In Contact.
From www.toppr.com
FIGURE 9.21 Image formation by a combination of two thin lenses in Two Thin Lenses When In Contact Since 1/f is the power of a lens, it can be seen that the powers of thin lenses in contact are additive. The simplest case is where lenses are placed in contact: When two thin lenses, one convex, and one concave, are placed in contact, their combined focal length can be determined using a specific. A thin lens is defined. Two Thin Lenses When In Contact.
From www.youtube.com
Combination of thin lenses Combination of thin lenses in contact Two Thin Lenses When In Contact Since 1/f is the power of a lens, it can be seen that the powers of thin lenses in contact are additive. If the lenses of focal lengths f1 and f2 are “thin”, the combined focal length f of the lenses is given by. Let the two lenses have focal lengths f1 and f2, in metres. Suppose we have two. Two Thin Lenses When In Contact.
From www.youtube.com
Ray Optics 20 Combination of thin lenses in Contact II Cutting Of Two Thin Lenses When In Contact Let the two lenses have focal lengths f1 and f2, in metres. A thin lens is defined to be one whose thickness allows rays to refract, as illustrated in, but does not allow properties such as dispersion and. In many optical instruments there may be compound lenses, that is, two or more lenses in contact. A simple lens system consists. Two Thin Lenses When In Contact.
From byjus.com
2 thin convex lenses, each of focal length f are placed in contact Two Thin Lenses When In Contact A simple lens system consists of the use of only one lens as opposed to the compound lens system. Two thin lenses kept in touch with one another make up the simplest of these compound lens systems. In many optical instruments there may be compound lenses, that is, two or more lenses in contact. In contact, 1/f = 1/f1 +. Two Thin Lenses When In Contact.
From www.youtube.com
Focal length of combination of two thin lenses in contact Class 12th By Two Thin Lenses When In Contact Two thin lenses kept in touch with one another make up the simplest of these compound lens systems. In many optical instruments there may be compound lenses, that is, two or more lenses in contact. The simplest case is where lenses are placed in contact: A simple lens system consists of the use of only one lens as opposed to. Two Thin Lenses When In Contact.
From www.meritnation.com
Two thin lenses of power +2 0 D and 1 5 D are placed in contact find Two Thin Lenses When In Contact The simplest case is where lenses are placed in contact: Since 1/f is the power of a lens, it can be seen that the powers of thin lenses in contact are additive. In many optical instruments there may be compound lenses, that is, two or more lenses in contact. Two thin lenses in contact. When two thin lenses, one convex,. Two Thin Lenses When In Contact.
From askfilo.com
20. Two thin lenses of power +6D and −2D are in contact. What is the foca.. Two Thin Lenses When In Contact In contact, 1/f = 1/f1 + 1/f2 =. Suppose we have two lenses, m an d n, with f 1 and f 2 focal lengths, respectively. Two thin lenses in contact. The simplest case is where lenses are placed in contact: Since 1/f is the power of a lens, it can be seen that the powers of thin lenses in. Two Thin Lenses When In Contact.
From www.toppr.com
Two thin convex lenses L_1 and L_2 of focal lengths f_1 and f_2 Two Thin Lenses When In Contact Let the two lenses have focal lengths f1 and f2, in metres. When two thin lenses, one convex, and one concave, are placed in contact, their combined focal length can be determined using a specific. We will first deal with the case of two thin lenses in contact. Two thin lenses kept in touch with one another make up the. Two Thin Lenses When In Contact.
From www.youtube.com
Combination Of Thin Lenses In Contact CBSE Class 12 Ray Optics and Two Thin Lenses When In Contact In many optical instruments there may be compound lenses, that is, two or more lenses in contact. Two thin lenses kept in touch with one another make up the simplest of these compound lens systems. Suppose we have two lenses, m an d n, with f 1 and f 2 focal lengths, respectively. When two thin lenses, one convex, and. Two Thin Lenses When In Contact.
From byjus.com
Two thin convex lenses as made of glass are placed in close contact Two Thin Lenses When In Contact A simple lens system consists of the use of only one lens as opposed to the compound lens system. A thin lens is defined to be one whose thickness allows rays to refract, as illustrated in, but does not allow properties such as dispersion and. Suppose we have two lenses, m an d n, with f 1 and f 2. Two Thin Lenses When In Contact.
From www.chegg.com
Solved You combine two thin lenses by placing them in Two Thin Lenses When In Contact If the lenses of focal lengths f1 and f2 are “thin”, the combined focal length f of the lenses is given by. Suppose we have two lenses, m an d n, with f 1 and f 2 focal lengths, respectively. When two thin lenses, one convex, and one concave, are placed in contact, their combined focal length can be determined. Two Thin Lenses When In Contact.
From mrmanojpandey.com
Combination Of Thin Lenses In Contact » Maths And Physics With Pandey Sir Two Thin Lenses When In Contact In contact, 1/f = 1/f1 + 1/f2 =. In many optical instruments there may be compound lenses, that is, two or more lenses in contact. A simple lens system consists of the use of only one lens as opposed to the compound lens system. Since 1/f is the power of a lens, it can be seen that the powers of. Two Thin Lenses When In Contact.
From byjus.com
two thin lenses of focal length +20cm and 5cm are kept in contact what Two Thin Lenses When In Contact In many optical instruments there may be compound lenses, that is, two or more lenses in contact. Suppose we have two lenses, m an d n, with f 1 and f 2 focal lengths, respectively. Two thin lenses kept in touch with one another make up the simplest of these compound lens systems. A thin lens is defined to be. Two Thin Lenses When In Contact.
From brainly.in
draw a ray diagram to show image formation by a combination of two thin Two Thin Lenses When In Contact Since 1/f is the power of a lens, it can be seen that the powers of thin lenses in contact are additive. Two thin lenses kept in touch with one another make up the simplest of these compound lens systems. We will first deal with the case of two thin lenses in contact. If the lenses of focal lengths f1. Two Thin Lenses When In Contact.
From www.youtube.com
7.Equivalent focal length of two thin lenses kept in contact Chapter Two Thin Lenses When In Contact In contact, 1/f = 1/f1 + 1/f2 =. Two thin lenses in contact. Since 1/f is the power of a lens, it can be seen that the powers of thin lenses in contact are additive. We will first deal with the case of two thin lenses in contact. Let the two lenses have focal lengths f1 and f2, in metres.. Two Thin Lenses When In Contact.
From askfilo.com
Two thin lenses of focal lengths f1 and f2 are placed in contact with e.. Two Thin Lenses When In Contact In contact, 1/f = 1/f1 + 1/f2 =. When two thin lenses, one convex, and one concave, are placed in contact, their combined focal length can be determined using a specific. If the lenses of focal lengths f1 and f2 are “thin”, the combined focal length f of the lenses is given by. A thin lens is defined to be. Two Thin Lenses When In Contact.
From www.numerade.com
Two Lenses in Contact. (a) Prove that when two thin lenses with focal Two Thin Lenses When In Contact If the lenses of focal lengths f1 and f2 are “thin”, the combined focal length f of the lenses is given by. In contact, 1/f = 1/f1 + 1/f2 =. The simplest case is where lenses are placed in contact: A simple lens system consists of the use of only one lens as opposed to the compound lens system. Since. Two Thin Lenses When In Contact.
From www.numerade.com
SOLVED You combine two thin lenses by placing them in contact s0 that Two Thin Lenses When In Contact The simplest case is where lenses are placed in contact: In many optical instruments there may be compound lenses, that is, two or more lenses in contact. In contact, 1/f = 1/f1 + 1/f2 =. Since 1/f is the power of a lens, it can be seen that the powers of thin lenses in contact are additive. Suppose we have. Two Thin Lenses When In Contact.
From www.doubtnut.com
Two thin lenses of focal lengths f(1) and f(2) are in contact. The fo Two Thin Lenses When In Contact Two thin lenses kept in touch with one another make up the simplest of these compound lens systems. In many optical instruments there may be compound lenses, that is, two or more lenses in contact. Two thin lenses in contact. In contact, 1/f = 1/f1 + 1/f2 =. If the lenses of focal lengths f1 and f2 are “thin”, the. Two Thin Lenses When In Contact.
From www.physicsvidyapith.com
Combined Focal Length and Power of two thin lenses in contact Two Thin Lenses When In Contact We will first deal with the case of two thin lenses in contact. Let the two lenses have focal lengths f1 and f2, in metres. Two thin lenses in contact. In many optical instruments there may be compound lenses, that is, two or more lenses in contact. Two thin lenses kept in touch with one another make up the simplest. Two Thin Lenses When In Contact.
From askfilo.com
Two thin lenses of focal lengths f1 and f2 are in contact and coaxial. Two Thin Lenses When In Contact In contact, 1/f = 1/f1 + 1/f2 =. The simplest case is where lenses are placed in contact: When two thin lenses, one convex, and one concave, are placed in contact, their combined focal length can be determined using a specific. Two thin lenses in contact. In many optical instruments there may be compound lenses, that is, two or more. Two Thin Lenses When In Contact.
From www.toppr.com
Drive an expression for equivalent focal length of two thin lenses kept Two Thin Lenses When In Contact The simplest case is where lenses are placed in contact: We will first deal with the case of two thin lenses in contact. A thin lens is defined to be one whose thickness allows rays to refract, as illustrated in, but does not allow properties such as dispersion and. Since 1/f is the power of a lens, it can be. Two Thin Lenses When In Contact.
From askfilo.com
Two thin lenses of +4D and −2D are in contact. What is the focal length o.. Two Thin Lenses When In Contact Two thin lenses kept in touch with one another make up the simplest of these compound lens systems. Let the two lenses have focal lengths f1 and f2, in metres. A thin lens is defined to be one whose thickness allows rays to refract, as illustrated in, but does not allow properties such as dispersion and. We will first deal. Two Thin Lenses When In Contact.
From www.embibe.com
Derive the expression for combined focal length of two thin lenses kept Two Thin Lenses When In Contact The simplest case is where lenses are placed in contact: Two thin lenses kept in touch with one another make up the simplest of these compound lens systems. When two thin lenses, one convex, and one concave, are placed in contact, their combined focal length can be determined using a specific. A thin lens is defined to be one whose. Two Thin Lenses When In Contact.
From askfilo.com
COMBINATION OF LENSES Two thin lenses are placed in contact with each oth.. Two Thin Lenses When In Contact In contact, 1/f = 1/f1 + 1/f2 =. We will first deal with the case of two thin lenses in contact. Two thin lenses kept in touch with one another make up the simplest of these compound lens systems. Since 1/f is the power of a lens, it can be seen that the powers of thin lenses in contact are. Two Thin Lenses When In Contact.
From www.youtube.com
Combination of lenses in contact // Effective focal length of lens Two Thin Lenses When In Contact A thin lens is defined to be one whose thickness allows rays to refract, as illustrated in, but does not allow properties such as dispersion and. We will first deal with the case of two thin lenses in contact. When two thin lenses, one convex, and one concave, are placed in contact, their combined focal length can be determined using. Two Thin Lenses When In Contact.
From brainly.in
Derive an expression for equivalent focal length of two lens in contact Two Thin Lenses When In Contact Two thin lenses kept in touch with one another make up the simplest of these compound lens systems. In contact, 1/f = 1/f1 + 1/f2 =. Suppose we have two lenses, m an d n, with f 1 and f 2 focal lengths, respectively. Let the two lenses have focal lengths f1 and f2, in metres. In many optical instruments. Two Thin Lenses When In Contact.
From www.sliderbase.com
Focal Length for a Lens Two Thin Lenses When In Contact If the lenses of focal lengths f1 and f2 are “thin”, the combined focal length f of the lenses is given by. A simple lens system consists of the use of only one lens as opposed to the compound lens system. When two thin lenses, one convex, and one concave, are placed in contact, their combined focal length can be. Two Thin Lenses When In Contact.
From www.embibe.com
Find an expression for the equivalent focal length for a system of two Two Thin Lenses When In Contact Suppose we have two lenses, m an d n, with f 1 and f 2 focal lengths, respectively. In many optical instruments there may be compound lenses, that is, two or more lenses in contact. Two thin lenses in contact. If the lenses of focal lengths f1 and f2 are “thin”, the combined focal length f of the lenses is. Two Thin Lenses When In Contact.
From www.chegg.com
Solved Two thin lenses, one a converging lens and the other Two Thin Lenses When In Contact A simple lens system consists of the use of only one lens as opposed to the compound lens system. When two thin lenses, one convex, and one concave, are placed in contact, their combined focal length can be determined using a specific. In many optical instruments there may be compound lenses, that is, two or more lenses in contact. Since. Two Thin Lenses When In Contact.