Standard Enthalpy Of Formation Hno3 . For example, although oxygen can exist as ozone (o 3),. 21 rows top 10 species with enthalpies of formation correlated to the δfh° of hno3 (aq) please note: All standard state, 25 °c and 1 bar (written to 1 decimal place). the standard enthalpy of formation is defined as the change in enthalpy when one mole of a substance in the standard state. the standard enthalpy of formation of any element in its standard state is zero by definition. 17 rows the 16 contributors listed below account for 90.0% of the provenance of δfh° of hno3 (aq, 1000 h2o). standard enthalpies of formation.
from www.numerade.com
17 rows the 16 contributors listed below account for 90.0% of the provenance of δfh° of hno3 (aq, 1000 h2o). For example, although oxygen can exist as ozone (o 3),. 21 rows top 10 species with enthalpies of formation correlated to the δfh° of hno3 (aq) please note: the standard enthalpy of formation is defined as the change in enthalpy when one mole of a substance in the standard state. standard enthalpies of formation. the standard enthalpy of formation of any element in its standard state is zero by definition. All standard state, 25 °c and 1 bar (written to 1 decimal place).
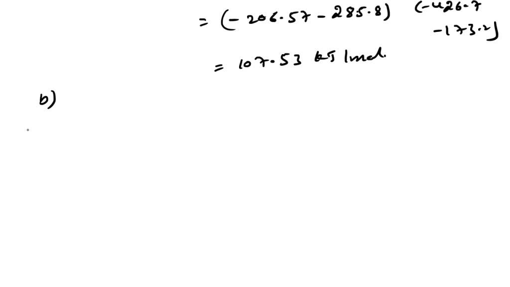
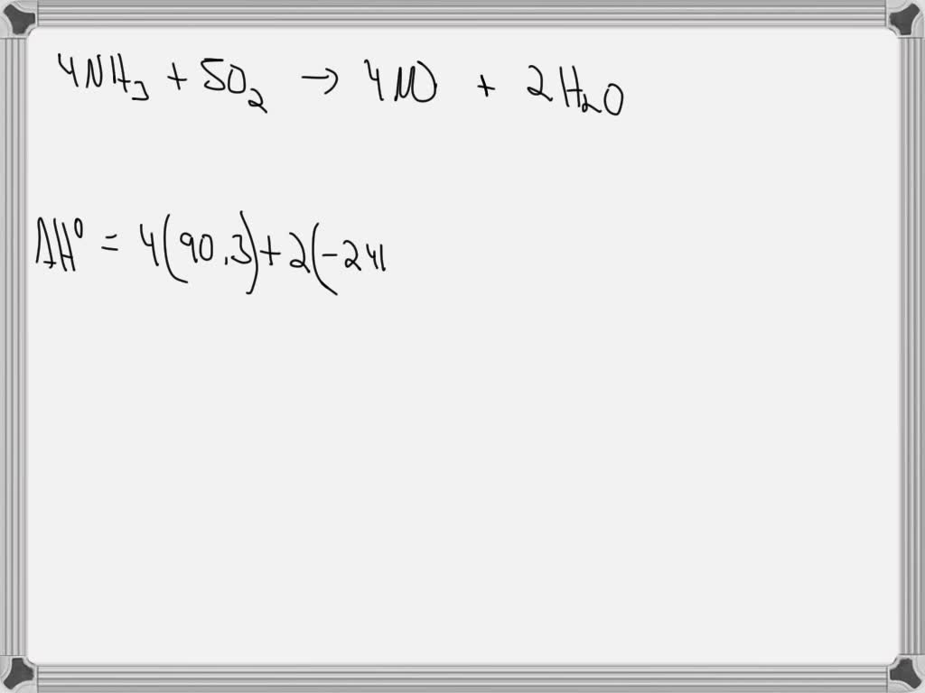
SOLVED Nitric acid, HNO3, can be produced by the following reaction
Standard Enthalpy Of Formation Hno3 the standard enthalpy of formation is defined as the change in enthalpy when one mole of a substance in the standard state. 17 rows the 16 contributors listed below account for 90.0% of the provenance of δfh° of hno3 (aq, 1000 h2o). 21 rows top 10 species with enthalpies of formation correlated to the δfh° of hno3 (aq) please note: standard enthalpies of formation. All standard state, 25 °c and 1 bar (written to 1 decimal place). the standard enthalpy of formation is defined as the change in enthalpy when one mole of a substance in the standard state. For example, although oxygen can exist as ozone (o 3),. the standard enthalpy of formation of any element in its standard state is zero by definition.
From www.numerade.com
SOLVEDUsing standard enthalpies of formation from Appendix 2 A Standard Enthalpy Of Formation Hno3 All standard state, 25 °c and 1 bar (written to 1 decimal place). 17 rows the 16 contributors listed below account for 90.0% of the provenance of δfh° of hno3 (aq, 1000 h2o). the standard enthalpy of formation is defined as the change in enthalpy when one mole of a substance in the standard state. For example, although. Standard Enthalpy Of Formation Hno3.
From www.youtube.com
Standard Enthalpy of Formation YouTube Standard Enthalpy Of Formation Hno3 For example, although oxygen can exist as ozone (o 3),. standard enthalpies of formation. 21 rows top 10 species with enthalpies of formation correlated to the δfh° of hno3 (aq) please note: the standard enthalpy of formation of any element in its standard state is zero by definition. All standard state, 25 °c and 1 bar (written. Standard Enthalpy Of Formation Hno3.
From www.slideserve.com
PPT Standard Enthalpies of Formation PowerPoint Presentation, free Standard Enthalpy Of Formation Hno3 17 rows the 16 contributors listed below account for 90.0% of the provenance of δfh° of hno3 (aq, 1000 h2o). 21 rows top 10 species with enthalpies of formation correlated to the δfh° of hno3 (aq) please note: For example, although oxygen can exist as ozone (o 3),. standard enthalpies of formation. the standard enthalpy of. Standard Enthalpy Of Formation Hno3.
From www.youtube.com
CHEM 101 Using Standard Enthalpies of Formation and Standard Enthalpy Standard Enthalpy Of Formation Hno3 standard enthalpies of formation. the standard enthalpy of formation of any element in its standard state is zero by definition. the standard enthalpy of formation is defined as the change in enthalpy when one mole of a substance in the standard state. 21 rows top 10 species with enthalpies of formation correlated to the δfh° of. Standard Enthalpy Of Formation Hno3.
From www.chegg.com
Solved Using the standard enthalpies of formation listed in Standard Enthalpy Of Formation Hno3 21 rows top 10 species with enthalpies of formation correlated to the δfh° of hno3 (aq) please note: the standard enthalpy of formation of any element in its standard state is zero by definition. 17 rows the 16 contributors listed below account for 90.0% of the provenance of δfh° of hno3 (aq, 1000 h2o). standard enthalpies. Standard Enthalpy Of Formation Hno3.
From www.youtube.com
CHEMISTRY 101 Standard enthalpies of formation and reaction YouTube Standard Enthalpy Of Formation Hno3 the standard enthalpy of formation of any element in its standard state is zero by definition. 17 rows the 16 contributors listed below account for 90.0% of the provenance of δfh° of hno3 (aq, 1000 h2o). All standard state, 25 °c and 1 bar (written to 1 decimal place). 21 rows top 10 species with enthalpies of. Standard Enthalpy Of Formation Hno3.
From slideplayer.com
Thermochemistry Chemical Energy ppt download Standard Enthalpy Of Formation Hno3 standard enthalpies of formation. the standard enthalpy of formation of any element in its standard state is zero by definition. the standard enthalpy of formation is defined as the change in enthalpy when one mole of a substance in the standard state. 17 rows the 16 contributors listed below account for 90.0% of the provenance of. Standard Enthalpy Of Formation Hno3.
From www.numerade.com
SOLVED Consider the chemical equations for the given reactions. Use Standard Enthalpy Of Formation Hno3 All standard state, 25 °c and 1 bar (written to 1 decimal place). 17 rows the 16 contributors listed below account for 90.0% of the provenance of δfh° of hno3 (aq, 1000 h2o). the standard enthalpy of formation of any element in its standard state is zero by definition. For example, although oxygen can exist as ozone (o. Standard Enthalpy Of Formation Hno3.
From www.numerade.com
SOLVED Given the standard molar enthalpies of formation in the table Standard Enthalpy Of Formation Hno3 17 rows the 16 contributors listed below account for 90.0% of the provenance of δfh° of hno3 (aq, 1000 h2o). For example, although oxygen can exist as ozone (o 3),. All standard state, 25 °c and 1 bar (written to 1 decimal place). the standard enthalpy of formation is defined as the change in enthalpy when one mole. Standard Enthalpy Of Formation Hno3.
From www.scribd.com
Standard Enthalpies of Formation and Their Use in Thermochemical Standard Enthalpy Of Formation Hno3 standard enthalpies of formation. 21 rows top 10 species with enthalpies of formation correlated to the δfh° of hno3 (aq) please note: 17 rows the 16 contributors listed below account for 90.0% of the provenance of δfh° of hno3 (aq, 1000 h2o). All standard state, 25 °c and 1 bar (written to 1 decimal place). For example,. Standard Enthalpy Of Formation Hno3.
From www.chemistryspace.com
Standard Enthalpy of Formation Standard Enthalpy Of Formation Hno3 17 rows the 16 contributors listed below account for 90.0% of the provenance of δfh° of hno3 (aq, 1000 h2o). 21 rows top 10 species with enthalpies of formation correlated to the δfh° of hno3 (aq) please note: All standard state, 25 °c and 1 bar (written to 1 decimal place). the standard enthalpy of formation of. Standard Enthalpy Of Formation Hno3.
From www.numerade.com
SOLVED Nitric acid, HNO3, can be produced by the following reaction Standard Enthalpy Of Formation Hno3 the standard enthalpy of formation is defined as the change in enthalpy when one mole of a substance in the standard state. For example, although oxygen can exist as ozone (o 3),. 21 rows top 10 species with enthalpies of formation correlated to the δfh° of hno3 (aq) please note: 17 rows the 16 contributors listed below. Standard Enthalpy Of Formation Hno3.
From studylib.net
I. Standard Enthalpies of Formation Standard Enthalpy Of Formation Hno3 standard enthalpies of formation. 21 rows top 10 species with enthalpies of formation correlated to the δfh° of hno3 (aq) please note: For example, although oxygen can exist as ozone (o 3),. All standard state, 25 °c and 1 bar (written to 1 decimal place). the standard enthalpy of formation of any element in its standard state. Standard Enthalpy Of Formation Hno3.
From www.numerade.com
SOLVED Using Standard Enthalpy of Formation Enthalpy Test (all Standard Enthalpy Of Formation Hno3 standard enthalpies of formation. 17 rows the 16 contributors listed below account for 90.0% of the provenance of δfh° of hno3 (aq, 1000 h2o). All standard state, 25 °c and 1 bar (written to 1 decimal place). the standard enthalpy of formation is defined as the change in enthalpy when one mole of a substance in the. Standard Enthalpy Of Formation Hno3.
From www.numerade.com
SOLVEDUse standard enthalpies of formation to calculate ΔHrxn^∘ for Standard Enthalpy Of Formation Hno3 21 rows top 10 species with enthalpies of formation correlated to the δfh° of hno3 (aq) please note: All standard state, 25 °c and 1 bar (written to 1 decimal place). For example, although oxygen can exist as ozone (o 3),. 17 rows the 16 contributors listed below account for 90.0% of the provenance of δfh° of hno3. Standard Enthalpy Of Formation Hno3.
From mungfali.com
Standard Enthalpy Of Formation Equation Standard Enthalpy Of Formation Hno3 17 rows the 16 contributors listed below account for 90.0% of the provenance of δfh° of hno3 (aq, 1000 h2o). the standard enthalpy of formation of any element in its standard state is zero by definition. All standard state, 25 °c and 1 bar (written to 1 decimal place). the standard enthalpy of formation is defined as. Standard Enthalpy Of Formation Hno3.
From mungfali.com
Enthalpies Of Formation Chart Standard Enthalpy Of Formation Hno3 21 rows top 10 species with enthalpies of formation correlated to the δfh° of hno3 (aq) please note: For example, although oxygen can exist as ozone (o 3),. standard enthalpies of formation. the standard enthalpy of formation of any element in its standard state is zero by definition. the standard enthalpy of formation is defined as. Standard Enthalpy Of Formation Hno3.
From www.chegg.com
Solved The standard enthalpies of formation for several Standard Enthalpy Of Formation Hno3 21 rows top 10 species with enthalpies of formation correlated to the δfh° of hno3 (aq) please note: All standard state, 25 °c and 1 bar (written to 1 decimal place). For example, although oxygen can exist as ozone (o 3),. 17 rows the 16 contributors listed below account for 90.0% of the provenance of δfh° of hno3. Standard Enthalpy Of Formation Hno3.
From www.numerade.com
SOLVED Nitrogen dioxide reacts with water to create Nitric acid ( HNO3 Standard Enthalpy Of Formation Hno3 standard enthalpies of formation. the standard enthalpy of formation of any element in its standard state is zero by definition. All standard state, 25 °c and 1 bar (written to 1 decimal place). the standard enthalpy of formation is defined as the change in enthalpy when one mole of a substance in the standard state. 21. Standard Enthalpy Of Formation Hno3.
From hollyburton.z19.web.core.windows.net
Enthalpy Of Formation Chart Standard Enthalpy Of Formation Hno3 standard enthalpies of formation. the standard enthalpy of formation is defined as the change in enthalpy when one mole of a substance in the standard state. All standard state, 25 °c and 1 bar (written to 1 decimal place). 17 rows the 16 contributors listed below account for 90.0% of the provenance of δfh° of hno3 (aq,. Standard Enthalpy Of Formation Hno3.
From www.numerade.com
SOLVEDUsing standard enthalpies of formation from Appendix 2 A Standard Enthalpy Of Formation Hno3 standard enthalpies of formation. 17 rows the 16 contributors listed below account for 90.0% of the provenance of δfh° of hno3 (aq, 1000 h2o). For example, although oxygen can exist as ozone (o 3),. 21 rows top 10 species with enthalpies of formation correlated to the δfh° of hno3 (aq) please note: the standard enthalpy of. Standard Enthalpy Of Formation Hno3.
From studylib.net
Standard Enthalpy of Formation Standard Enthalpy Of Formation Hno3 the standard enthalpy of formation is defined as the change in enthalpy when one mole of a substance in the standard state. 21 rows top 10 species with enthalpies of formation correlated to the δfh° of hno3 (aq) please note: the standard enthalpy of formation of any element in its standard state is zero by definition. . Standard Enthalpy Of Formation Hno3.
From www.researchgate.net
Solution enthalpies of CaFap in HNO3 at various pH, m and x are Standard Enthalpy Of Formation Hno3 standard enthalpies of formation. the standard enthalpy of formation is defined as the change in enthalpy when one mole of a substance in the standard state. 21 rows top 10 species with enthalpies of formation correlated to the δfh° of hno3 (aq) please note: For example, although oxygen can exist as ozone (o 3),. 17 rows. Standard Enthalpy Of Formation Hno3.
From chem.libretexts.org
5.7 Enthalpies of Formation Chemistry LibreTexts Standard Enthalpy Of Formation Hno3 standard enthalpies of formation. All standard state, 25 °c and 1 bar (written to 1 decimal place). the standard enthalpy of formation is defined as the change in enthalpy when one mole of a substance in the standard state. the standard enthalpy of formation of any element in its standard state is zero by definition. 17. Standard Enthalpy Of Formation Hno3.
From slideplayer.com
Thermochemistry Chapter ppt download Standard Enthalpy Of Formation Hno3 For example, although oxygen can exist as ozone (o 3),. the standard enthalpy of formation of any element in its standard state is zero by definition. All standard state, 25 °c and 1 bar (written to 1 decimal place). 21 rows top 10 species with enthalpies of formation correlated to the δfh° of hno3 (aq) please note: . Standard Enthalpy Of Formation Hno3.
From exoyndeil.blob.core.windows.net
Standard Enthalpy Of Formation In Elements at Michael Zapien blog Standard Enthalpy Of Formation Hno3 All standard state, 25 °c and 1 bar (written to 1 decimal place). the standard enthalpy of formation is defined as the change in enthalpy when one mole of a substance in the standard state. 17 rows the 16 contributors listed below account for 90.0% of the provenance of δfh° of hno3 (aq, 1000 h2o). standard enthalpies. Standard Enthalpy Of Formation Hno3.
From www.bartleby.com
Answered Using the table of standard formation… bartleby Standard Enthalpy Of Formation Hno3 For example, although oxygen can exist as ozone (o 3),. All standard state, 25 °c and 1 bar (written to 1 decimal place). standard enthalpies of formation. 17 rows the 16 contributors listed below account for 90.0% of the provenance of δfh° of hno3 (aq, 1000 h2o). the standard enthalpy of formation is defined as the change. Standard Enthalpy Of Formation Hno3.
From www.slideshare.net
Tang 03 enthalpy of formation and combustion Standard Enthalpy Of Formation Hno3 standard enthalpies of formation. 21 rows top 10 species with enthalpies of formation correlated to the δfh° of hno3 (aq) please note: For example, although oxygen can exist as ozone (o 3),. 17 rows the 16 contributors listed below account for 90.0% of the provenance of δfh° of hno3 (aq, 1000 h2o). the standard enthalpy of. Standard Enthalpy Of Formation Hno3.
From lessonluft.z19.web.core.windows.net
Heat Of Formation Chart Standard Enthalpy Of Formation Hno3 17 rows the 16 contributors listed below account for 90.0% of the provenance of δfh° of hno3 (aq, 1000 h2o). All standard state, 25 °c and 1 bar (written to 1 decimal place). the standard enthalpy of formation is defined as the change in enthalpy when one mole of a substance in the standard state. For example, although. Standard Enthalpy Of Formation Hno3.
From slideplayer.com
Hess’ Law and enthalpy cycles using enthalpy of formation ppt download Standard Enthalpy Of Formation Hno3 17 rows the 16 contributors listed below account for 90.0% of the provenance of δfh° of hno3 (aq, 1000 h2o). the standard enthalpy of formation of any element in its standard state is zero by definition. For example, although oxygen can exist as ozone (o 3),. the standard enthalpy of formation is defined as the change in. Standard Enthalpy Of Formation Hno3.
From www.numerade.com
Using the table of standard formation enthalpies that you'll find under Standard Enthalpy Of Formation Hno3 the standard enthalpy of formation of any element in its standard state is zero by definition. the standard enthalpy of formation is defined as the change in enthalpy when one mole of a substance in the standard state. 17 rows the 16 contributors listed below account for 90.0% of the provenance of δfh° of hno3 (aq, 1000. Standard Enthalpy Of Formation Hno3.
From exokycsnc.blob.core.windows.net
Standard Enthalpy Of Formation Table Elements at Filomena Gilbert blog Standard Enthalpy Of Formation Hno3 the standard enthalpy of formation of any element in its standard state is zero by definition. 17 rows the 16 contributors listed below account for 90.0% of the provenance of δfh° of hno3 (aq, 1000 h2o). standard enthalpies of formation. the standard enthalpy of formation is defined as the change in enthalpy when one mole of. Standard Enthalpy Of Formation Hno3.
From exokycsnc.blob.core.windows.net
Standard Enthalpy Of Formation Table Elements at Filomena Gilbert blog Standard Enthalpy Of Formation Hno3 21 rows top 10 species with enthalpies of formation correlated to the δfh° of hno3 (aq) please note: standard enthalpies of formation. For example, although oxygen can exist as ozone (o 3),. the standard enthalpy of formation of any element in its standard state is zero by definition. All standard state, 25 °c and 1 bar (written. Standard Enthalpy Of Formation Hno3.
From rayb78.github.io
Heat Of Formation Chart Standard Enthalpy Of Formation Hno3 standard enthalpies of formation. the standard enthalpy of formation is defined as the change in enthalpy when one mole of a substance in the standard state. 17 rows the 16 contributors listed below account for 90.0% of the provenance of δfh° of hno3 (aq, 1000 h2o). the standard enthalpy of formation of any element in its. Standard Enthalpy Of Formation Hno3.
From www.youtube.com
AP Chemistry Standard Enthalpies of Formation YouTube Standard Enthalpy Of Formation Hno3 21 rows top 10 species with enthalpies of formation correlated to the δfh° of hno3 (aq) please note: 17 rows the 16 contributors listed below account for 90.0% of the provenance of δfh° of hno3 (aq, 1000 h2o). For example, although oxygen can exist as ozone (o 3),. the standard enthalpy of formation is defined as the. Standard Enthalpy Of Formation Hno3.