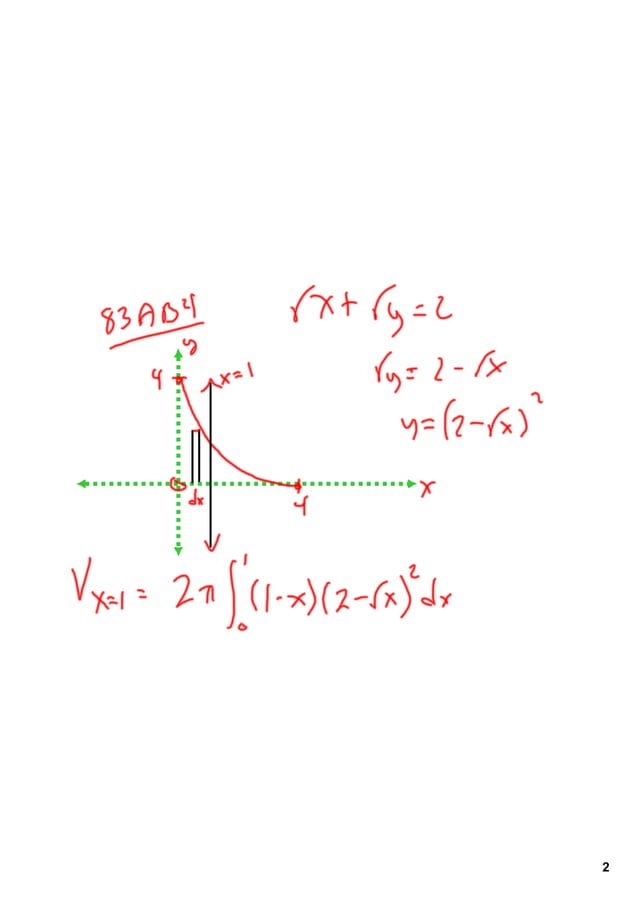
Ap Calculus Disk And Washer Method . Let a region bounded by \(y=f(x)\), \(y=g(x)\), \(x=a\) and \(x=b\) be rotated about a horizontal. The distance from the farthest function to the. Washer method we use the washer method whenever the region is enclosed by two functions. This calculus video tutorial explains how to use the disk method and the washer method to.
from www.studypool.com
This calculus video tutorial explains how to use the disk method and the washer method to. Washer method we use the washer method whenever the region is enclosed by two functions. The distance from the farthest function to the. Let a region bounded by \(y=f(x)\), \(y=g(x)\), \(x=a\) and \(x=b\) be rotated about a horizontal.
SOLUTION Ap calculus ab section 7.2 disc washer method Studypool
Ap Calculus Disk And Washer Method This calculus video tutorial explains how to use the disk method and the washer method to. This calculus video tutorial explains how to use the disk method and the washer method to. The distance from the farthest function to the. Washer method we use the washer method whenever the region is enclosed by two functions. Let a region bounded by \(y=f(x)\), \(y=g(x)\), \(x=a\) and \(x=b\) be rotated about a horizontal.
From www.youtube.com
Calculus BC Volume with Disc and Washer Method Unit 8 YouTube Ap Calculus Disk And Washer Method Let a region bounded by \(y=f(x)\), \(y=g(x)\), \(x=a\) and \(x=b\) be rotated about a horizontal. Washer method we use the washer method whenever the region is enclosed by two functions. The distance from the farthest function to the. This calculus video tutorial explains how to use the disk method and the washer method to. Ap Calculus Disk And Washer Method.
From vdocuments.mx
Worksheet AP Calculus Name Disk+and...Worksheet Volumes of solids—Disk Ap Calculus Disk And Washer Method Washer method we use the washer method whenever the region is enclosed by two functions. Let a region bounded by \(y=f(x)\), \(y=g(x)\), \(x=a\) and \(x=b\) be rotated about a horizontal. This calculus video tutorial explains how to use the disk method and the washer method to. The distance from the farthest function to the. Ap Calculus Disk And Washer Method.
From www.youtube.com
AP Calculus AB Lesson 7.4 Disk and Washer Method YouTube Ap Calculus Disk And Washer Method Let a region bounded by \(y=f(x)\), \(y=g(x)\), \(x=a\) and \(x=b\) be rotated about a horizontal. Washer method we use the washer method whenever the region is enclosed by two functions. This calculus video tutorial explains how to use the disk method and the washer method to. The distance from the farthest function to the. Ap Calculus Disk And Washer Method.
From quizzlisttoxocaras.z21.web.core.windows.net
Disk And Washer Method Worksheet Ap Calculus Disk And Washer Method Washer method we use the washer method whenever the region is enclosed by two functions. The distance from the farthest function to the. Let a region bounded by \(y=f(x)\), \(y=g(x)\), \(x=a\) and \(x=b\) be rotated about a horizontal. This calculus video tutorial explains how to use the disk method and the washer method to. Ap Calculus Disk And Washer Method.
From www.youtube.com
12th Grade AP Calculus Disk or Washer Method YouTube Ap Calculus Disk And Washer Method The distance from the farthest function to the. Washer method we use the washer method whenever the region is enclosed by two functions. Let a region bounded by \(y=f(x)\), \(y=g(x)\), \(x=a\) and \(x=b\) be rotated about a horizontal. This calculus video tutorial explains how to use the disk method and the washer method to. Ap Calculus Disk And Washer Method.
From www.pinterest.com
Volume of Revolution Disc & Washer Methods with Lesson Video (Unit 8 Ap Calculus Disk And Washer Method Let a region bounded by \(y=f(x)\), \(y=g(x)\), \(x=a\) and \(x=b\) be rotated about a horizontal. The distance from the farthest function to the. Washer method we use the washer method whenever the region is enclosed by two functions. This calculus video tutorial explains how to use the disk method and the washer method to. Ap Calculus Disk And Washer Method.
From www.youtube.com
Washer Method in Calculus 1 YouTube Ap Calculus Disk And Washer Method The distance from the farthest function to the. Let a region bounded by \(y=f(x)\), \(y=g(x)\), \(x=a\) and \(x=b\) be rotated about a horizontal. This calculus video tutorial explains how to use the disk method and the washer method to. Washer method we use the washer method whenever the region is enclosed by two functions. Ap Calculus Disk And Washer Method.
From www.cuemath.com
Washer Method Formula Learn Formula for Finding Volume Using Washer Ap Calculus Disk And Washer Method Washer method we use the washer method whenever the region is enclosed by two functions. This calculus video tutorial explains how to use the disk method and the washer method to. The distance from the farthest function to the. Let a region bounded by \(y=f(x)\), \(y=g(x)\), \(x=a\) and \(x=b\) be rotated about a horizontal. Ap Calculus Disk And Washer Method.
From www.slideshare.net
AP Calculus 605 Volume of Revolution with Disk, Washer and Shell meth… Ap Calculus Disk And Washer Method This calculus video tutorial explains how to use the disk method and the washer method to. The distance from the farthest function to the. Let a region bounded by \(y=f(x)\), \(y=g(x)\), \(x=a\) and \(x=b\) be rotated about a horizontal. Washer method we use the washer method whenever the region is enclosed by two functions. Ap Calculus Disk And Washer Method.
From study.com
Washer Method in Calculus Formula & Examples Video & Lesson Ap Calculus Disk And Washer Method The distance from the farthest function to the. Washer method we use the washer method whenever the region is enclosed by two functions. This calculus video tutorial explains how to use the disk method and the washer method to. Let a region bounded by \(y=f(x)\), \(y=g(x)\), \(x=a\) and \(x=b\) be rotated about a horizontal. Ap Calculus Disk And Washer Method.
From slideplayer.com
Disk vs. Shell Method AP Calculus. ppt download Ap Calculus Disk And Washer Method Washer method we use the washer method whenever the region is enclosed by two functions. This calculus video tutorial explains how to use the disk method and the washer method to. The distance from the farthest function to the. Let a region bounded by \(y=f(x)\), \(y=g(x)\), \(x=a\) and \(x=b\) be rotated about a horizontal. Ap Calculus Disk And Washer Method.
From www.cuemath.com
Washer Method Formula Learn Formula for Finding Volume Using Washer Ap Calculus Disk And Washer Method The distance from the farthest function to the. Let a region bounded by \(y=f(x)\), \(y=g(x)\), \(x=a\) and \(x=b\) be rotated about a horizontal. This calculus video tutorial explains how to use the disk method and the washer method to. Washer method we use the washer method whenever the region is enclosed by two functions. Ap Calculus Disk And Washer Method.
From www.youtube.com
AP Calculus AB disk and Washer method YouTube Ap Calculus Disk And Washer Method Washer method we use the washer method whenever the region is enclosed by two functions. Let a region bounded by \(y=f(x)\), \(y=g(x)\), \(x=a\) and \(x=b\) be rotated about a horizontal. The distance from the farthest function to the. This calculus video tutorial explains how to use the disk method and the washer method to. Ap Calculus Disk And Washer Method.
From www.youtube.com
Calculus AB/BC 8.12 Volume with Washer Method Revolving Around Other Ap Calculus Disk And Washer Method This calculus video tutorial explains how to use the disk method and the washer method to. The distance from the farthest function to the. Let a region bounded by \(y=f(x)\), \(y=g(x)\), \(x=a\) and \(x=b\) be rotated about a horizontal. Washer method we use the washer method whenever the region is enclosed by two functions. Ap Calculus Disk And Washer Method.
From www.youtube.com
Disk & Washer Method Calculus YouTube Ap Calculus Disk And Washer Method The distance from the farthest function to the. Washer method we use the washer method whenever the region is enclosed by two functions. Let a region bounded by \(y=f(x)\), \(y=g(x)\), \(x=a\) and \(x=b\) be rotated about a horizontal. This calculus video tutorial explains how to use the disk method and the washer method to. Ap Calculus Disk And Washer Method.
From officialbruinsshop.com
Washer Method Calculus Calculator Bruin Blog Ap Calculus Disk And Washer Method This calculus video tutorial explains how to use the disk method and the washer method to. The distance from the farthest function to the. Let a region bounded by \(y=f(x)\), \(y=g(x)\), \(x=a\) and \(x=b\) be rotated about a horizontal. Washer method we use the washer method whenever the region is enclosed by two functions. Ap Calculus Disk And Washer Method.
From www.studypool.com
SOLUTION Ap calculus ab section 7.2 disc washer method Studypool Ap Calculus Disk And Washer Method The distance from the farthest function to the. Let a region bounded by \(y=f(x)\), \(y=g(x)\), \(x=a\) and \(x=b\) be rotated about a horizontal. This calculus video tutorial explains how to use the disk method and the washer method to. Washer method we use the washer method whenever the region is enclosed by two functions. Ap Calculus Disk And Washer Method.
From www.showme.com
7.2 Disk and Washer Method Math, Calculus, Integrals, AP Calc Ap Calculus Disk And Washer Method This calculus video tutorial explains how to use the disk method and the washer method to. The distance from the farthest function to the. Let a region bounded by \(y=f(x)\), \(y=g(x)\), \(x=a\) and \(x=b\) be rotated about a horizontal. Washer method we use the washer method whenever the region is enclosed by two functions. Ap Calculus Disk And Washer Method.
From www.youtube.com
Disk/Washer Method NonAxis (Calc2Examples4) YouTube Ap Calculus Disk And Washer Method Let a region bounded by \(y=f(x)\), \(y=g(x)\), \(x=a\) and \(x=b\) be rotated about a horizontal. This calculus video tutorial explains how to use the disk method and the washer method to. Washer method we use the washer method whenever the region is enclosed by two functions. The distance from the farthest function to the. Ap Calculus Disk And Washer Method.
From www.showme.com
Washer and Disk Methods Math, Calculus, Integrals, AP Calc Area and Ap Calculus Disk And Washer Method The distance from the farthest function to the. Let a region bounded by \(y=f(x)\), \(y=g(x)\), \(x=a\) and \(x=b\) be rotated about a horizontal. This calculus video tutorial explains how to use the disk method and the washer method to. Washer method we use the washer method whenever the region is enclosed by two functions. Ap Calculus Disk And Washer Method.
From www.youtube.com
Ap Calculus AB Washer Method Volumes of Solids of Revolution YouTube Ap Calculus Disk And Washer Method This calculus video tutorial explains how to use the disk method and the washer method to. Washer method we use the washer method whenever the region is enclosed by two functions. The distance from the farthest function to the. Let a region bounded by \(y=f(x)\), \(y=g(x)\), \(x=a\) and \(x=b\) be rotated about a horizontal. Ap Calculus Disk And Washer Method.
From www.showme.com
The Washer Method Volume of a Solid of Revolution Math, Calculus Ap Calculus Disk And Washer Method Washer method we use the washer method whenever the region is enclosed by two functions. Let a region bounded by \(y=f(x)\), \(y=g(x)\), \(x=a\) and \(x=b\) be rotated about a horizontal. The distance from the farthest function to the. This calculus video tutorial explains how to use the disk method and the washer method to. Ap Calculus Disk And Washer Method.
From www.youtube.com
The Washer Method Calculus 2 Lesson 3 JK Math YouTube Ap Calculus Disk And Washer Method Let a region bounded by \(y=f(x)\), \(y=g(x)\), \(x=a\) and \(x=b\) be rotated about a horizontal. Washer method we use the washer method whenever the region is enclosed by two functions. This calculus video tutorial explains how to use the disk method and the washer method to. The distance from the farthest function to the. Ap Calculus Disk And Washer Method.
From www.youtube.com
AP Calculus AB Disk/Washer Method Part 2 YouTube Ap Calculus Disk And Washer Method This calculus video tutorial explains how to use the disk method and the washer method to. Let a region bounded by \(y=f(x)\), \(y=g(x)\), \(x=a\) and \(x=b\) be rotated about a horizontal. The distance from the farthest function to the. Washer method we use the washer method whenever the region is enclosed by two functions. Ap Calculus Disk And Washer Method.
From www.studypool.com
SOLUTION Advanced placement calculus ab 28 the disk and washer method Ap Calculus Disk And Washer Method Let a region bounded by \(y=f(x)\), \(y=g(x)\), \(x=a\) and \(x=b\) be rotated about a horizontal. This calculus video tutorial explains how to use the disk method and the washer method to. Washer method we use the washer method whenever the region is enclosed by two functions. The distance from the farthest function to the. Ap Calculus Disk And Washer Method.
From barkmanoil.com
Washer Method Vs Disk Method? The 8 Top Answers Ap Calculus Disk And Washer Method Let a region bounded by \(y=f(x)\), \(y=g(x)\), \(x=a\) and \(x=b\) be rotated about a horizontal. The distance from the farthest function to the. Washer method we use the washer method whenever the region is enclosed by two functions. This calculus video tutorial explains how to use the disk method and the washer method to. Ap Calculus Disk And Washer Method.
From www.slideshare.net
AP Calculus 605 Volume of Revolution with Disk, Washer and Shell meth… Ap Calculus Disk And Washer Method The distance from the farthest function to the. Let a region bounded by \(y=f(x)\), \(y=g(x)\), \(x=a\) and \(x=b\) be rotated about a horizontal. Washer method we use the washer method whenever the region is enclosed by two functions. This calculus video tutorial explains how to use the disk method and the washer method to. Ap Calculus Disk And Washer Method.
From www.slideshare.net
AP Calculus 605 Volume of Revolution with Disk, Washer and Shell Ap Calculus Disk And Washer Method This calculus video tutorial explains how to use the disk method and the washer method to. Washer method we use the washer method whenever the region is enclosed by two functions. The distance from the farthest function to the. Let a region bounded by \(y=f(x)\), \(y=g(x)\), \(x=a\) and \(x=b\) be rotated about a horizontal. Ap Calculus Disk And Washer Method.
From www.pinterest.com
Volume of Revolution Disc & Washer Methods (Unit 8) Distance Learning Ap Calculus Disk And Washer Method This calculus video tutorial explains how to use the disk method and the washer method to. Let a region bounded by \(y=f(x)\), \(y=g(x)\), \(x=a\) and \(x=b\) be rotated about a horizontal. Washer method we use the washer method whenever the region is enclosed by two functions. The distance from the farthest function to the. Ap Calculus Disk And Washer Method.
From www.youtube.com
DISK AND WASHER METHOD.THOMAS CALCULUS.EXECISR 6.1 YouTube Ap Calculus Disk And Washer Method Washer method we use the washer method whenever the region is enclosed by two functions. Let a region bounded by \(y=f(x)\), \(y=g(x)\), \(x=a\) and \(x=b\) be rotated about a horizontal. The distance from the farthest function to the. This calculus video tutorial explains how to use the disk method and the washer method to. Ap Calculus Disk And Washer Method.
From www.youtube.com
AP Calculus 8.2 Volumes of Revolution Disk and Washer Methods YouTube Ap Calculus Disk And Washer Method The distance from the farthest function to the. Let a region bounded by \(y=f(x)\), \(y=g(x)\), \(x=a\) and \(x=b\) be rotated about a horizontal. Washer method we use the washer method whenever the region is enclosed by two functions. This calculus video tutorial explains how to use the disk method and the washer method to. Ap Calculus Disk And Washer Method.
From officialbruinsshop.com
Washer Method Around Y Axis Bruin Blog Ap Calculus Disk And Washer Method The distance from the farthest function to the. Washer method we use the washer method whenever the region is enclosed by two functions. This calculus video tutorial explains how to use the disk method and the washer method to. Let a region bounded by \(y=f(x)\), \(y=g(x)\), \(x=a\) and \(x=b\) be rotated about a horizontal. Ap Calculus Disk And Washer Method.
From www.studypool.com
SOLUTION Ap calculus ab section 7.2 disc washer method Studypool Ap Calculus Disk And Washer Method This calculus video tutorial explains how to use the disk method and the washer method to. Let a region bounded by \(y=f(x)\), \(y=g(x)\), \(x=a\) and \(x=b\) be rotated about a horizontal. Washer method we use the washer method whenever the region is enclosed by two functions. The distance from the farthest function to the. Ap Calculus Disk And Washer Method.
From www.studypool.com
SOLUTION Ap calculus ab section 7.2 disc washer method Studypool Ap Calculus Disk And Washer Method Washer method we use the washer method whenever the region is enclosed by two functions. Let a region bounded by \(y=f(x)\), \(y=g(x)\), \(x=a\) and \(x=b\) be rotated about a horizontal. This calculus video tutorial explains how to use the disk method and the washer method to. The distance from the farthest function to the. Ap Calculus Disk And Washer Method.
From www.merylsmagicmath.com
What AP Calculus Students Should Know for their Unit 8 Review Ap Calculus Disk And Washer Method The distance from the farthest function to the. Let a region bounded by \(y=f(x)\), \(y=g(x)\), \(x=a\) and \(x=b\) be rotated about a horizontal. This calculus video tutorial explains how to use the disk method and the washer method to. Washer method we use the washer method whenever the region is enclosed by two functions. Ap Calculus Disk And Washer Method.