Iron Ii Hydroxide Formula . Learn about iron (ii) hydroxide, a greenish solid with the formula fe (oh)2, and its chemical properties, solubility, and. It has iron and hydroxide ions in it. Enter an ionic equation and get its complete and net ionic equations, solubility states, spectator ions and precipitates. Luminescence emitter oh search other. The (ii) indicates that iron has a+2 oxidation state. Its chemical formula is fe (oh) 2. The iron is in its +2 oxidation state. Identify the oxidation state of iron in iron(ii) hydroxide.
from owlcation.com
Identify the oxidation state of iron in iron(ii) hydroxide. Learn about iron (ii) hydroxide, a greenish solid with the formula fe (oh)2, and its chemical properties, solubility, and. The (ii) indicates that iron has a+2 oxidation state. Its chemical formula is fe (oh) 2. Luminescence emitter oh search other. It has iron and hydroxide ions in it. The iron is in its +2 oxidation state. Enter an ionic equation and get its complete and net ionic equations, solubility states, spectator ions and precipitates.
Iron (II) Hydroxide A Chemical Compound Causing Green Rust Owlcation
Iron Ii Hydroxide Formula The (ii) indicates that iron has a+2 oxidation state. Identify the oxidation state of iron in iron(ii) hydroxide. The (ii) indicates that iron has a+2 oxidation state. Enter an ionic equation and get its complete and net ionic equations, solubility states, spectator ions and precipitates. Its chemical formula is fe (oh) 2. Luminescence emitter oh search other. The iron is in its +2 oxidation state. Learn about iron (ii) hydroxide, a greenish solid with the formula fe (oh)2, and its chemical properties, solubility, and. It has iron and hydroxide ions in it.
From
Iron Ii Hydroxide Formula It has iron and hydroxide ions in it. Identify the oxidation state of iron in iron(ii) hydroxide. Enter an ionic equation and get its complete and net ionic equations, solubility states, spectator ions and precipitates. Luminescence emitter oh search other. Learn about iron (ii) hydroxide, a greenish solid with the formula fe (oh)2, and its chemical properties, solubility, and. Its. Iron Ii Hydroxide Formula.
From
Iron Ii Hydroxide Formula Luminescence emitter oh search other. Learn about iron (ii) hydroxide, a greenish solid with the formula fe (oh)2, and its chemical properties, solubility, and. Enter an ionic equation and get its complete and net ionic equations, solubility states, spectator ions and precipitates. The (ii) indicates that iron has a+2 oxidation state. Its chemical formula is fe (oh) 2. It has. Iron Ii Hydroxide Formula.
From www.coursehero.com
[Solved] When aqueous an solutions of iron(III) sulfate and sodium Iron Ii Hydroxide Formula The iron is in its +2 oxidation state. Its chemical formula is fe (oh) 2. Enter an ionic equation and get its complete and net ionic equations, solubility states, spectator ions and precipitates. It has iron and hydroxide ions in it. The (ii) indicates that iron has a+2 oxidation state. Learn about iron (ii) hydroxide, a greenish solid with the. Iron Ii Hydroxide Formula.
From www.numerade.com
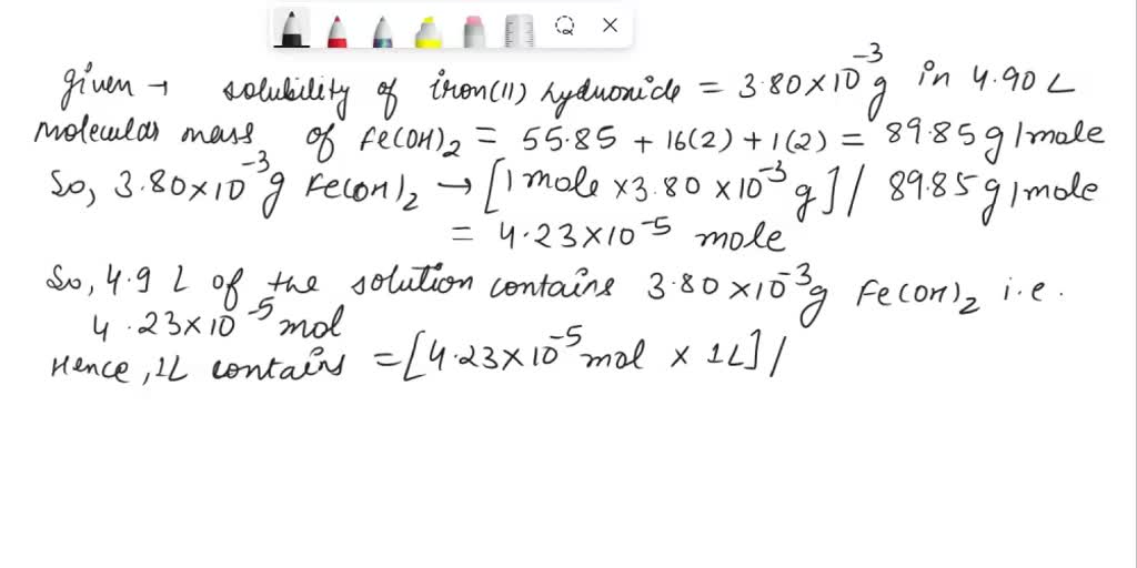
Solid iron(II) hydroxide to form solid iron(II) oxide and Iron Ii Hydroxide Formula The iron is in its +2 oxidation state. Identify the oxidation state of iron in iron(ii) hydroxide. The (ii) indicates that iron has a+2 oxidation state. It has iron and hydroxide ions in it. Luminescence emitter oh search other. Its chemical formula is fe (oh) 2. Learn about iron (ii) hydroxide, a greenish solid with the formula fe (oh)2, and. Iron Ii Hydroxide Formula.
From www.youtube.com
H3PO4+Fe(OH)2=H2O+Fe3(PO4)2 Balanced EquationPhosphoric acid+Iron(ii Iron Ii Hydroxide Formula The iron is in its +2 oxidation state. The (ii) indicates that iron has a+2 oxidation state. Learn about iron (ii) hydroxide, a greenish solid with the formula fe (oh)2, and its chemical properties, solubility, and. Enter an ionic equation and get its complete and net ionic equations, solubility states, spectator ions and precipitates. Luminescence emitter oh search other. It. Iron Ii Hydroxide Formula.
From
Iron Ii Hydroxide Formula Its chemical formula is fe (oh) 2. It has iron and hydroxide ions in it. Identify the oxidation state of iron in iron(ii) hydroxide. The (ii) indicates that iron has a+2 oxidation state. The iron is in its +2 oxidation state. Learn about iron (ii) hydroxide, a greenish solid with the formula fe (oh)2, and its chemical properties, solubility, and.. Iron Ii Hydroxide Formula.
From www.youtube.com
How to Write the Formula for Ferric hydroxide YouTube Iron Ii Hydroxide Formula The iron is in its +2 oxidation state. The (ii) indicates that iron has a+2 oxidation state. Luminescence emitter oh search other. It has iron and hydroxide ions in it. Learn about iron (ii) hydroxide, a greenish solid with the formula fe (oh)2, and its chemical properties, solubility, and. Its chemical formula is fe (oh) 2. Enter an ionic equation. Iron Ii Hydroxide Formula.
From www.slideserve.com
PPT Thermal Reactions PowerPoint Presentation, free Iron Ii Hydroxide Formula Learn about iron (ii) hydroxide, a greenish solid with the formula fe (oh)2, and its chemical properties, solubility, and. It has iron and hydroxide ions in it. Enter an ionic equation and get its complete and net ionic equations, solubility states, spectator ions and precipitates. Its chemical formula is fe (oh) 2. Luminescence emitter oh search other. The (ii) indicates. Iron Ii Hydroxide Formula.
From
Iron Ii Hydroxide Formula It has iron and hydroxide ions in it. Its chemical formula is fe (oh) 2. The iron is in its +2 oxidation state. Luminescence emitter oh search other. Learn about iron (ii) hydroxide, a greenish solid with the formula fe (oh)2, and its chemical properties, solubility, and. Identify the oxidation state of iron in iron(ii) hydroxide. Enter an ionic equation. Iron Ii Hydroxide Formula.
From www.chegg.com
Solved Write the formula for each of the following compounds Iron Ii Hydroxide Formula Luminescence emitter oh search other. Enter an ionic equation and get its complete and net ionic equations, solubility states, spectator ions and precipitates. Identify the oxidation state of iron in iron(ii) hydroxide. It has iron and hydroxide ions in it. Learn about iron (ii) hydroxide, a greenish solid with the formula fe (oh)2, and its chemical properties, solubility, and. The. Iron Ii Hydroxide Formula.
From
Iron Ii Hydroxide Formula The (ii) indicates that iron has a+2 oxidation state. It has iron and hydroxide ions in it. Its chemical formula is fe (oh) 2. Luminescence emitter oh search other. Identify the oxidation state of iron in iron(ii) hydroxide. Learn about iron (ii) hydroxide, a greenish solid with the formula fe (oh)2, and its chemical properties, solubility, and. The iron is. Iron Ii Hydroxide Formula.
From www.numerade.com
SOLVED Part A Enter a balanced chemical equation for the reaction of Iron Ii Hydroxide Formula The (ii) indicates that iron has a+2 oxidation state. Learn about iron (ii) hydroxide, a greenish solid with the formula fe (oh)2, and its chemical properties, solubility, and. Enter an ionic equation and get its complete and net ionic equations, solubility states, spectator ions and precipitates. Its chemical formula is fe (oh) 2. The iron is in its +2 oxidation. Iron Ii Hydroxide Formula.
From
Iron Ii Hydroxide Formula Its chemical formula is fe (oh) 2. The iron is in its +2 oxidation state. Learn about iron (ii) hydroxide, a greenish solid with the formula fe (oh)2, and its chemical properties, solubility, and. It has iron and hydroxide ions in it. Identify the oxidation state of iron in iron(ii) hydroxide. Luminescence emitter oh search other. The (ii) indicates that. Iron Ii Hydroxide Formula.
From
Iron Ii Hydroxide Formula Identify the oxidation state of iron in iron(ii) hydroxide. Luminescence emitter oh search other. It has iron and hydroxide ions in it. Learn about iron (ii) hydroxide, a greenish solid with the formula fe (oh)2, and its chemical properties, solubility, and. The iron is in its +2 oxidation state. Enter an ionic equation and get its complete and net ionic. Iron Ii Hydroxide Formula.
From
Iron Ii Hydroxide Formula Its chemical formula is fe (oh) 2. The (ii) indicates that iron has a+2 oxidation state. Identify the oxidation state of iron in iron(ii) hydroxide. The iron is in its +2 oxidation state. Enter an ionic equation and get its complete and net ionic equations, solubility states, spectator ions and precipitates. Luminescence emitter oh search other. It has iron and. Iron Ii Hydroxide Formula.
From
Iron Ii Hydroxide Formula Learn about iron (ii) hydroxide, a greenish solid with the formula fe (oh)2, and its chemical properties, solubility, and. Its chemical formula is fe (oh) 2. Identify the oxidation state of iron in iron(ii) hydroxide. The (ii) indicates that iron has a+2 oxidation state. The iron is in its +2 oxidation state. Luminescence emitter oh search other. Enter an ionic. Iron Ii Hydroxide Formula.
From www.youtube.com
Equation for Fe(NO3)2 + H2O Iron (II) nitrate + Water YouTube Iron Ii Hydroxide Formula The (ii) indicates that iron has a+2 oxidation state. Enter an ionic equation and get its complete and net ionic equations, solubility states, spectator ions and precipitates. Learn about iron (ii) hydroxide, a greenish solid with the formula fe (oh)2, and its chemical properties, solubility, and. Identify the oxidation state of iron in iron(ii) hydroxide. The iron is in its. Iron Ii Hydroxide Formula.
From
Iron Ii Hydroxide Formula Identify the oxidation state of iron in iron(ii) hydroxide. The (ii) indicates that iron has a+2 oxidation state. The iron is in its +2 oxidation state. Luminescence emitter oh search other. Learn about iron (ii) hydroxide, a greenish solid with the formula fe (oh)2, and its chemical properties, solubility, and. Enter an ionic equation and get its complete and net. Iron Ii Hydroxide Formula.
From www.pw.live
Iron II Sulfate Formula, Structure, Properties, Uses Iron Ii Hydroxide Formula The iron is in its +2 oxidation state. Luminescence emitter oh search other. Its chemical formula is fe (oh) 2. Enter an ionic equation and get its complete and net ionic equations, solubility states, spectator ions and precipitates. Learn about iron (ii) hydroxide, a greenish solid with the formula fe (oh)2, and its chemical properties, solubility, and. The (ii) indicates. Iron Ii Hydroxide Formula.
From
Iron Ii Hydroxide Formula Enter an ionic equation and get its complete and net ionic equations, solubility states, spectator ions and precipitates. It has iron and hydroxide ions in it. The (ii) indicates that iron has a+2 oxidation state. Learn about iron (ii) hydroxide, a greenish solid with the formula fe (oh)2, and its chemical properties, solubility, and. Luminescence emitter oh search other. Its. Iron Ii Hydroxide Formula.
From owlcation.com
Iron (II) Hydroxide A Chemical Compound Causing Green Rust Owlcation Iron Ii Hydroxide Formula Learn about iron (ii) hydroxide, a greenish solid with the formula fe (oh)2, and its chemical properties, solubility, and. The (ii) indicates that iron has a+2 oxidation state. Luminescence emitter oh search other. Its chemical formula is fe (oh) 2. Enter an ionic equation and get its complete and net ionic equations, solubility states, spectator ions and precipitates. The iron. Iron Ii Hydroxide Formula.
From www.numerade.com
SOLVED Solid iron(II) hydroxide to form solid iron(II Iron Ii Hydroxide Formula Luminescence emitter oh search other. Identify the oxidation state of iron in iron(ii) hydroxide. Enter an ionic equation and get its complete and net ionic equations, solubility states, spectator ions and precipitates. It has iron and hydroxide ions in it. Its chemical formula is fe (oh) 2. The (ii) indicates that iron has a+2 oxidation state. Learn about iron (ii). Iron Ii Hydroxide Formula.
From www.numerade.com
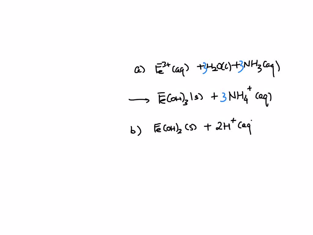
SOLVED What is the net ionic equation for the following reactions. a Iron Ii Hydroxide Formula Enter an ionic equation and get its complete and net ionic equations, solubility states, spectator ions and precipitates. The (ii) indicates that iron has a+2 oxidation state. Identify the oxidation state of iron in iron(ii) hydroxide. Luminescence emitter oh search other. It has iron and hydroxide ions in it. The iron is in its +2 oxidation state. Learn about iron. Iron Ii Hydroxide Formula.
From
Iron Ii Hydroxide Formula It has iron and hydroxide ions in it. Its chemical formula is fe (oh) 2. The iron is in its +2 oxidation state. The (ii) indicates that iron has a+2 oxidation state. Learn about iron (ii) hydroxide, a greenish solid with the formula fe (oh)2, and its chemical properties, solubility, and. Enter an ionic equation and get its complete and. Iron Ii Hydroxide Formula.
From
Iron Ii Hydroxide Formula Enter an ionic equation and get its complete and net ionic equations, solubility states, spectator ions and precipitates. The (ii) indicates that iron has a+2 oxidation state. Learn about iron (ii) hydroxide, a greenish solid with the formula fe (oh)2, and its chemical properties, solubility, and. Its chemical formula is fe (oh) 2. It has iron and hydroxide ions in. Iron Ii Hydroxide Formula.
From
Iron Ii Hydroxide Formula Learn about iron (ii) hydroxide, a greenish solid with the formula fe (oh)2, and its chemical properties, solubility, and. Identify the oxidation state of iron in iron(ii) hydroxide. Enter an ionic equation and get its complete and net ionic equations, solubility states, spectator ions and precipitates. Its chemical formula is fe (oh) 2. The (ii) indicates that iron has a+2. Iron Ii Hydroxide Formula.
From www.chegg.com
Solved This is the chemical formula for iron(II) hydroxide Iron Ii Hydroxide Formula Enter an ionic equation and get its complete and net ionic equations, solubility states, spectator ions and precipitates. The iron is in its +2 oxidation state. Identify the oxidation state of iron in iron(ii) hydroxide. Luminescence emitter oh search other. Learn about iron (ii) hydroxide, a greenish solid with the formula fe (oh)2, and its chemical properties, solubility, and. Its. Iron Ii Hydroxide Formula.
From www.sciencephoto.com
Iron(II) hydroxide precipitate, 4 of 4 Stock Image C043/0031 Iron Ii Hydroxide Formula Identify the oxidation state of iron in iron(ii) hydroxide. Learn about iron (ii) hydroxide, a greenish solid with the formula fe (oh)2, and its chemical properties, solubility, and. Its chemical formula is fe (oh) 2. It has iron and hydroxide ions in it. The iron is in its +2 oxidation state. The (ii) indicates that iron has a+2 oxidation state.. Iron Ii Hydroxide Formula.
From
Iron Ii Hydroxide Formula Luminescence emitter oh search other. It has iron and hydroxide ions in it. Its chemical formula is fe (oh) 2. The (ii) indicates that iron has a+2 oxidation state. Enter an ionic equation and get its complete and net ionic equations, solubility states, spectator ions and precipitates. Learn about iron (ii) hydroxide, a greenish solid with the formula fe (oh)2,. Iron Ii Hydroxide Formula.
From owlcation.com
Iron (II) Hydroxide A Chemical Compound Causing Green Rust Owlcation Iron Ii Hydroxide Formula The (ii) indicates that iron has a+2 oxidation state. The iron is in its +2 oxidation state. Identify the oxidation state of iron in iron(ii) hydroxide. Its chemical formula is fe (oh) 2. Learn about iron (ii) hydroxide, a greenish solid with the formula fe (oh)2, and its chemical properties, solubility, and. Enter an ionic equation and get its complete. Iron Ii Hydroxide Formula.
From
Iron Ii Hydroxide Formula The iron is in its +2 oxidation state. Identify the oxidation state of iron in iron(ii) hydroxide. Enter an ionic equation and get its complete and net ionic equations, solubility states, spectator ions and precipitates. Learn about iron (ii) hydroxide, a greenish solid with the formula fe (oh)2, and its chemical properties, solubility, and. Luminescence emitter oh search other. Its. Iron Ii Hydroxide Formula.
From
Iron Ii Hydroxide Formula The (ii) indicates that iron has a+2 oxidation state. Identify the oxidation state of iron in iron(ii) hydroxide. Luminescence emitter oh search other. Its chemical formula is fe (oh) 2. It has iron and hydroxide ions in it. The iron is in its +2 oxidation state. Learn about iron (ii) hydroxide, a greenish solid with the formula fe (oh)2, and. Iron Ii Hydroxide Formula.
From
Iron Ii Hydroxide Formula Learn about iron (ii) hydroxide, a greenish solid with the formula fe (oh)2, and its chemical properties, solubility, and. It has iron and hydroxide ions in it. The iron is in its +2 oxidation state. Luminescence emitter oh search other. The (ii) indicates that iron has a+2 oxidation state. Its chemical formula is fe (oh) 2. Identify the oxidation state. Iron Ii Hydroxide Formula.
From
Iron Ii Hydroxide Formula Learn about iron (ii) hydroxide, a greenish solid with the formula fe (oh)2, and its chemical properties, solubility, and. It has iron and hydroxide ions in it. The iron is in its +2 oxidation state. Enter an ionic equation and get its complete and net ionic equations, solubility states, spectator ions and precipitates. The (ii) indicates that iron has a+2. Iron Ii Hydroxide Formula.
From
Iron Ii Hydroxide Formula It has iron and hydroxide ions in it. Identify the oxidation state of iron in iron(ii) hydroxide. Enter an ionic equation and get its complete and net ionic equations, solubility states, spectator ions and precipitates. The (ii) indicates that iron has a+2 oxidation state. Learn about iron (ii) hydroxide, a greenish solid with the formula fe (oh)2, and its chemical. Iron Ii Hydroxide Formula.