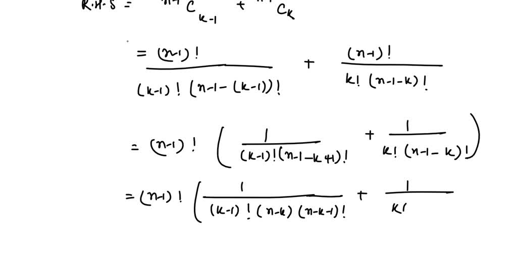
Prove Hockey Stick Identity . If you recall pascal's triangle, notice that each number is the sum of the two above. The right hand side counts the number of ways to form a. Example 5 use combinatorial reasoning to establish the hockey stick identity: Learn about the hockey stick identity, a formula for sums of binomial coefficients that has various applications in counting problems,.
from www.animalia-life.club
Learn about the hockey stick identity, a formula for sums of binomial coefficients that has various applications in counting problems,. The right hand side counts the number of ways to form a. Example 5 use combinatorial reasoning to establish the hockey stick identity: If you recall pascal's triangle, notice that each number is the sum of the two above.
Hockey Stick
Prove Hockey Stick Identity If you recall pascal's triangle, notice that each number is the sum of the two above. Example 5 use combinatorial reasoning to establish the hockey stick identity: If you recall pascal's triangle, notice that each number is the sum of the two above. Learn about the hockey stick identity, a formula for sums of binomial coefficients that has various applications in counting problems,. The right hand side counts the number of ways to form a.
From www.dreamstime.com
Hockey Stick Doodle Style Vector Illustration Isolated on White Stock Prove Hockey Stick Identity The right hand side counts the number of ways to form a. If you recall pascal's triangle, notice that each number is the sum of the two above. Learn about the hockey stick identity, a formula for sums of binomial coefficients that has various applications in counting problems,. Example 5 use combinatorial reasoning to establish the hockey stick identity: Prove Hockey Stick Identity.
From www.free-power-point-templates.com
Hockey Stick Growth and What it Means for a Business? Prove Hockey Stick Identity If you recall pascal's triangle, notice that each number is the sum of the two above. The right hand side counts the number of ways to form a. Example 5 use combinatorial reasoning to establish the hockey stick identity: Learn about the hockey stick identity, a formula for sums of binomial coefficients that has various applications in counting problems,. Prove Hockey Stick Identity.
From www.numerade.com
SOLVED Problem 5 Prove that =1+=1 Prove the following HockeyStick Prove Hockey Stick Identity The right hand side counts the number of ways to form a. Learn about the hockey stick identity, a formula for sums of binomial coefficients that has various applications in counting problems,. Example 5 use combinatorial reasoning to establish the hockey stick identity: If you recall pascal's triangle, notice that each number is the sum of the two above. Prove Hockey Stick Identity.
From item.rakuten.co.jp
【楽天市場】フィールドホッケー スティック GRAYS グレイス GR7000 STD MAXI トップシリーズ:ビッグバンホッケー楽天市場店 Prove Hockey Stick Identity The right hand side counts the number of ways to form a. Example 5 use combinatorial reasoning to establish the hockey stick identity: If you recall pascal's triangle, notice that each number is the sum of the two above. Learn about the hockey stick identity, a formula for sums of binomial coefficients that has various applications in counting problems,. Prove Hockey Stick Identity.
From www.researchgate.net
(PDF) Generalized hockey stick identity from jones 1998 Prove Hockey Stick Identity Example 5 use combinatorial reasoning to establish the hockey stick identity: If you recall pascal's triangle, notice that each number is the sum of the two above. Learn about the hockey stick identity, a formula for sums of binomial coefficients that has various applications in counting problems,. The right hand side counts the number of ways to form a. Prove Hockey Stick Identity.
From twitter.com
MathType on Twitter "This identity is known as the Hockeystick Prove Hockey Stick Identity The right hand side counts the number of ways to form a. Example 5 use combinatorial reasoning to establish the hockey stick identity: If you recall pascal's triangle, notice that each number is the sum of the two above. Learn about the hockey stick identity, a formula for sums of binomial coefficients that has various applications in counting problems,. Prove Hockey Stick Identity.
From www.dreamstime.com
Stick Retro Stock Illustrations 91,997 Stick Retro Stock Prove Hockey Stick Identity The right hand side counts the number of ways to form a. If you recall pascal's triangle, notice that each number is the sum of the two above. Learn about the hockey stick identity, a formula for sums of binomial coefficients that has various applications in counting problems,. Example 5 use combinatorial reasoning to establish the hockey stick identity: Prove Hockey Stick Identity.
From pngtree.com
Black Ice Hockey Stick And Puck Blade, Studio, Indoor, Skate PNG Prove Hockey Stick Identity Learn about the hockey stick identity, a formula for sums of binomial coefficients that has various applications in counting problems,. The right hand side counts the number of ways to form a. Example 5 use combinatorial reasoning to establish the hockey stick identity: If you recall pascal's triangle, notice that each number is the sum of the two above. Prove Hockey Stick Identity.
From forum.poshenloh.com
Hockey stick identity How does it work if it starts at the left and Prove Hockey Stick Identity If you recall pascal's triangle, notice that each number is the sum of the two above. Example 5 use combinatorial reasoning to establish the hockey stick identity: Learn about the hockey stick identity, a formula for sums of binomial coefficients that has various applications in counting problems,. The right hand side counts the number of ways to form a. Prove Hockey Stick Identity.
From brilliant.org
Hockey Stick Identity Brilliant Math & Science Wiki Prove Hockey Stick Identity If you recall pascal's triangle, notice that each number is the sum of the two above. The right hand side counts the number of ways to form a. Example 5 use combinatorial reasoning to establish the hockey stick identity: Learn about the hockey stick identity, a formula for sums of binomial coefficients that has various applications in counting problems,. Prove Hockey Stick Identity.
From www.numerade.com
SOLVED[difficult] Prove the PMF of a binomial inductively using Prove Hockey Stick Identity Example 5 use combinatorial reasoning to establish the hockey stick identity: Learn about the hockey stick identity, a formula for sums of binomial coefficients that has various applications in counting problems,. If you recall pascal's triangle, notice that each number is the sum of the two above. The right hand side counts the number of ways to form a. Prove Hockey Stick Identity.
From sidelineswap.com
2 PACK Warrior Alpha LXT Pro Stock Hockey Stick Grip W28 Left 3365 Prove Hockey Stick Identity The right hand side counts the number of ways to form a. Example 5 use combinatorial reasoning to establish the hockey stick identity: If you recall pascal's triangle, notice that each number is the sum of the two above. Learn about the hockey stick identity, a formula for sums of binomial coefficients that has various applications in counting problems,. Prove Hockey Stick Identity.
From cartoondealer.com
Hockey Stick Vector Illustration 108369250 Prove Hockey Stick Identity If you recall pascal's triangle, notice that each number is the sum of the two above. The right hand side counts the number of ways to form a. Learn about the hockey stick identity, a formula for sums of binomial coefficients that has various applications in counting problems,. Example 5 use combinatorial reasoning to establish the hockey stick identity: Prove Hockey Stick Identity.
From dragonhockey.co.uk
Fizik 100 carbon grooved hockey stick Dragon Hockey Prove Hockey Stick Identity Learn about the hockey stick identity, a formula for sums of binomial coefficients that has various applications in counting problems,. The right hand side counts the number of ways to form a. If you recall pascal's triangle, notice that each number is the sum of the two above. Example 5 use combinatorial reasoning to establish the hockey stick identity: Prove Hockey Stick Identity.
From freedesignfile.com
Hockey stick clipart vector free download Prove Hockey Stick Identity Learn about the hockey stick identity, a formula for sums of binomial coefficients that has various applications in counting problems,. If you recall pascal's triangle, notice that each number is the sum of the two above. Example 5 use combinatorial reasoning to establish the hockey stick identity: The right hand side counts the number of ways to form a. Prove Hockey Stick Identity.
From rumble.com
prove Hockey Stick Identity Prove Hockey Stick Identity If you recall pascal's triangle, notice that each number is the sum of the two above. Example 5 use combinatorial reasoning to establish the hockey stick identity: Learn about the hockey stick identity, a formula for sums of binomial coefficients that has various applications in counting problems,. The right hand side counts the number of ways to form a. Prove Hockey Stick Identity.
From www.chegg.com
Solved 14. The following identity is known as hockeystick Prove Hockey Stick Identity Learn about the hockey stick identity, a formula for sums of binomial coefficients that has various applications in counting problems,. Example 5 use combinatorial reasoning to establish the hockey stick identity: If you recall pascal's triangle, notice that each number is the sum of the two above. The right hand side counts the number of ways to form a. Prove Hockey Stick Identity.
From www.vecteezy.com
hockey stick 36654654 Vector Art at Vecteezy Prove Hockey Stick Identity The right hand side counts the number of ways to form a. Learn about the hockey stick identity, a formula for sums of binomial coefficients that has various applications in counting problems,. If you recall pascal's triangle, notice that each number is the sum of the two above. Example 5 use combinatorial reasoning to establish the hockey stick identity: Prove Hockey Stick Identity.
From www.youtube.com
Paano magadd ng combinations gamit ang Hockey Stick Identity (Tagalog Prove Hockey Stick Identity The right hand side counts the number of ways to form a. Learn about the hockey stick identity, a formula for sums of binomial coefficients that has various applications in counting problems,. If you recall pascal's triangle, notice that each number is the sum of the two above. Example 5 use combinatorial reasoning to establish the hockey stick identity: Prove Hockey Stick Identity.
From www.chegg.com
Solved (a) The following identity is known as the Hockey Prove Hockey Stick Identity Example 5 use combinatorial reasoning to establish the hockey stick identity: If you recall pascal's triangle, notice that each number is the sum of the two above. The right hand side counts the number of ways to form a. Learn about the hockey stick identity, a formula for sums of binomial coefficients that has various applications in counting problems,. Prove Hockey Stick Identity.
From www.networldsports.com
Field Hockey Stick Guide w/ Stick Size Chart Net World Sports Prove Hockey Stick Identity Example 5 use combinatorial reasoning to establish the hockey stick identity: The right hand side counts the number of ways to form a. If you recall pascal's triangle, notice that each number is the sum of the two above. Learn about the hockey stick identity, a formula for sums of binomial coefficients that has various applications in counting problems,. Prove Hockey Stick Identity.
From www.youtube.com
I MADE MY OWN CUSTOM HOCKEY STICK... YouTube Prove Hockey Stick Identity If you recall pascal's triangle, notice that each number is the sum of the two above. Example 5 use combinatorial reasoning to establish the hockey stick identity: The right hand side counts the number of ways to form a. Learn about the hockey stick identity, a formula for sums of binomial coefficients that has various applications in counting problems,. Prove Hockey Stick Identity.
From www.alamy.com
Ice hockey stick vintage hires stock photography and images Alamy Prove Hockey Stick Identity Example 5 use combinatorial reasoning to establish the hockey stick identity: If you recall pascal's triangle, notice that each number is the sum of the two above. Learn about the hockey stick identity, a formula for sums of binomial coefficients that has various applications in counting problems,. The right hand side counts the number of ways to form a. Prove Hockey Stick Identity.
From www.vecteezy.com
ice hockey stick 13441279 PNG Prove Hockey Stick Identity The right hand side counts the number of ways to form a. Example 5 use combinatorial reasoning to establish the hockey stick identity: If you recall pascal's triangle, notice that each number is the sum of the two above. Learn about the hockey stick identity, a formula for sums of binomial coefficients that has various applications in counting problems,. Prove Hockey Stick Identity.
From www.youtube.com
Hockey Stick in Pascal’s Triangle Combinatorics Math Olympiad Prove Hockey Stick Identity Learn about the hockey stick identity, a formula for sums of binomial coefficients that has various applications in counting problems,. Example 5 use combinatorial reasoning to establish the hockey stick identity: If you recall pascal's triangle, notice that each number is the sum of the two above. The right hand side counts the number of ways to form a. Prove Hockey Stick Identity.
From www.chegg.com
Solved (7) Prove the hockeystick identity using Prove Hockey Stick Identity Example 5 use combinatorial reasoning to establish the hockey stick identity: Learn about the hockey stick identity, a formula for sums of binomial coefficients that has various applications in counting problems,. If you recall pascal's triangle, notice that each number is the sum of the two above. The right hand side counts the number of ways to form a. Prove Hockey Stick Identity.
From www.pixelsquid.com
Hockey stick PNG Images & PSDs for Download PixelSquid S12061621F Prove Hockey Stick Identity If you recall pascal's triangle, notice that each number is the sum of the two above. Example 5 use combinatorial reasoning to establish the hockey stick identity: The right hand side counts the number of ways to form a. Learn about the hockey stick identity, a formula for sums of binomial coefficients that has various applications in counting problems,. Prove Hockey Stick Identity.
From www.hockeypeopleeu.com
Identity Mid Bow 70 carbon 2022 The Hockey People Prove Hockey Stick Identity The right hand side counts the number of ways to form a. If you recall pascal's triangle, notice that each number is the sum of the two above. Learn about the hockey stick identity, a formula for sums of binomial coefficients that has various applications in counting problems,. Example 5 use combinatorial reasoning to establish the hockey stick identity: Prove Hockey Stick Identity.
From www.chegg.com
Solved According to Hockeystick Identity, nCr can be Prove Hockey Stick Identity If you recall pascal's triangle, notice that each number is the sum of the two above. Learn about the hockey stick identity, a formula for sums of binomial coefficients that has various applications in counting problems,. Example 5 use combinatorial reasoning to establish the hockey stick identity: The right hand side counts the number of ways to form a. Prove Hockey Stick Identity.
From www.youtube.com
Art of Problem Solving Hockey Stick Identity Part 5 YouTube Prove Hockey Stick Identity The right hand side counts the number of ways to form a. If you recall pascal's triangle, notice that each number is the sum of the two above. Learn about the hockey stick identity, a formula for sums of binomial coefficients that has various applications in counting problems,. Example 5 use combinatorial reasoning to establish the hockey stick identity: Prove Hockey Stick Identity.
From www.alamy.com
Crossed Ground hockey cues. Hockey Stick logo element on white Prove Hockey Stick Identity The right hand side counts the number of ways to form a. If you recall pascal's triangle, notice that each number is the sum of the two above. Learn about the hockey stick identity, a formula for sums of binomial coefficients that has various applications in counting problems,. Example 5 use combinatorial reasoning to establish the hockey stick identity: Prove Hockey Stick Identity.
From www.chegg.com
Solved Q5*. (20pt) Prove the hockey stick identity Prove Hockey Stick Identity Learn about the hockey stick identity, a formula for sums of binomial coefficients that has various applications in counting problems,. The right hand side counts the number of ways to form a. Example 5 use combinatorial reasoning to establish the hockey stick identity: If you recall pascal's triangle, notice that each number is the sum of the two above. Prove Hockey Stick Identity.
From www.animalia-life.club
Hockey Stick Prove Hockey Stick Identity Example 5 use combinatorial reasoning to establish the hockey stick identity: The right hand side counts the number of ways to form a. Learn about the hockey stick identity, a formula for sums of binomial coefficients that has various applications in counting problems,. If you recall pascal's triangle, notice that each number is the sum of the two above. Prove Hockey Stick Identity.
From www.youtube.com
Pascal Triangle 5 Hockey Stick Identity YouTube Prove Hockey Stick Identity Example 5 use combinatorial reasoning to establish the hockey stick identity: Learn about the hockey stick identity, a formula for sums of binomial coefficients that has various applications in counting problems,. The right hand side counts the number of ways to form a. If you recall pascal's triangle, notice that each number is the sum of the two above. Prove Hockey Stick Identity.
From www.rollernco.com
CCM Ribcor 84k Junior Hockey Stick Prove Hockey Stick Identity If you recall pascal's triangle, notice that each number is the sum of the two above. The right hand side counts the number of ways to form a. Learn about the hockey stick identity, a formula for sums of binomial coefficients that has various applications in counting problems,. Example 5 use combinatorial reasoning to establish the hockey stick identity: Prove Hockey Stick Identity.