X-Ray Wavelength To Energy Calculator . Convert wavelength to energy for electromagnetic waves, atomic spectra, and subatomic particles using planck's constant. Convert the wavelength of a photon's electromagnetic radiation to its energy using the equation e = \\frac {hc} {\\lambda}. Use this tool to calculate the energy of a photon from its wavelength using planck's constant and the speed of light. Enter the energy in joules and get the.
from www.youtube.com
Convert the wavelength of a photon's electromagnetic radiation to its energy using the equation e = \\frac {hc} {\\lambda}. Convert wavelength to energy for electromagnetic waves, atomic spectra, and subatomic particles using planck's constant. Enter the energy in joules and get the. Use this tool to calculate the energy of a photon from its wavelength using planck's constant and the speed of light.
How To Calculate The Energy of a Photon Given Frequency & Wavelength in
X-Ray Wavelength To Energy Calculator Convert the wavelength of a photon's electromagnetic radiation to its energy using the equation e = \\frac {hc} {\\lambda}. Convert wavelength to energy for electromagnetic waves, atomic spectra, and subatomic particles using planck's constant. Use this tool to calculate the energy of a photon from its wavelength using planck's constant and the speed of light. Enter the energy in joules and get the. Convert the wavelength of a photon's electromagnetic radiation to its energy using the equation e = \\frac {hc} {\\lambda}.
From www.nagwa.com
Question Video Calculating the Wavelength of a Photon Given Its Energy X-Ray Wavelength To Energy Calculator Enter the energy in joules and get the. Convert wavelength to energy for electromagnetic waves, atomic spectra, and subatomic particles using planck's constant. Convert the wavelength of a photon's electromagnetic radiation to its energy using the equation e = \\frac {hc} {\\lambda}. Use this tool to calculate the energy of a photon from its wavelength using planck's constant and the. X-Ray Wavelength To Energy Calculator.
From www.toppr.com
An X ray photon of wavelength lambda and frequency v collides with an X-Ray Wavelength To Energy Calculator Use this tool to calculate the energy of a photon from its wavelength using planck's constant and the speed of light. Enter the energy in joules and get the. Convert wavelength to energy for electromagnetic waves, atomic spectra, and subatomic particles using planck's constant. Convert the wavelength of a photon's electromagnetic radiation to its energy using the equation e =. X-Ray Wavelength To Energy Calculator.
From www.slideserve.com
PPT A Walk Through the Spectrum PowerPoint X-Ray Wavelength To Energy Calculator Use this tool to calculate the energy of a photon from its wavelength using planck's constant and the speed of light. Convert wavelength to energy for electromagnetic waves, atomic spectra, and subatomic particles using planck's constant. Enter the energy in joules and get the. Convert the wavelength of a photon's electromagnetic radiation to its energy using the equation e =. X-Ray Wavelength To Energy Calculator.
From www.toppr.com
Through what minimum potential difference must an electron in an X X-Ray Wavelength To Energy Calculator Enter the energy in joules and get the. Convert wavelength to energy for electromagnetic waves, atomic spectra, and subatomic particles using planck's constant. Convert the wavelength of a photon's electromagnetic radiation to its energy using the equation e = \\frac {hc} {\\lambda}. Use this tool to calculate the energy of a photon from its wavelength using planck's constant and the. X-Ray Wavelength To Energy Calculator.
From www.youtube.com
What wavelength in nanometers has a frequency of 8.6x10^13 Hz X-Ray Wavelength To Energy Calculator Convert wavelength to energy for electromagnetic waves, atomic spectra, and subatomic particles using planck's constant. Use this tool to calculate the energy of a photon from its wavelength using planck's constant and the speed of light. Convert the wavelength of a photon's electromagnetic radiation to its energy using the equation e = \\frac {hc} {\\lambda}. Enter the energy in joules. X-Ray Wavelength To Energy Calculator.
From www.youtube.com
CHEMISTRY 101 Photoelectric Effect, Threshold Frequency YouTube X-Ray Wavelength To Energy Calculator Convert the wavelength of a photon's electromagnetic radiation to its energy using the equation e = \\frac {hc} {\\lambda}. Convert wavelength to energy for electromagnetic waves, atomic spectra, and subatomic particles using planck's constant. Enter the energy in joules and get the. Use this tool to calculate the energy of a photon from its wavelength using planck's constant and the. X-Ray Wavelength To Energy Calculator.
From answerzonethompson.z5.web.core.windows.net
Wavelength Frequency And Energy Calculator X-Ray Wavelength To Energy Calculator Convert wavelength to energy for electromagnetic waves, atomic spectra, and subatomic particles using planck's constant. Enter the energy in joules and get the. Convert the wavelength of a photon's electromagnetic radiation to its energy using the equation e = \\frac {hc} {\\lambda}. Use this tool to calculate the energy of a photon from its wavelength using planck's constant and the. X-Ray Wavelength To Energy Calculator.
From www.youtube.com
How To Calculate The Energy of a Photon Given Frequency & Wavelength in X-Ray Wavelength To Energy Calculator Convert wavelength to energy for electromagnetic waves, atomic spectra, and subatomic particles using planck's constant. Enter the energy in joules and get the. Use this tool to calculate the energy of a photon from its wavelength using planck's constant and the speed of light. Convert the wavelength of a photon's electromagnetic radiation to its energy using the equation e =. X-Ray Wavelength To Energy Calculator.
From carinekatarzyna.blogspot.com
34+ Wavelength Photon Energy Calculator CarineKatarzyna X-Ray Wavelength To Energy Calculator Enter the energy in joules and get the. Use this tool to calculate the energy of a photon from its wavelength using planck's constant and the speed of light. Convert the wavelength of a photon's electromagnetic radiation to its energy using the equation e = \\frac {hc} {\\lambda}. Convert wavelength to energy for electromagnetic waves, atomic spectra, and subatomic particles. X-Ray Wavelength To Energy Calculator.
From worksheetdbtroop.z21.web.core.windows.net
How To Calculate Wavelength Chemistry X-Ray Wavelength To Energy Calculator Convert the wavelength of a photon's electromagnetic radiation to its energy using the equation e = \\frac {hc} {\\lambda}. Enter the energy in joules and get the. Use this tool to calculate the energy of a photon from its wavelength using planck's constant and the speed of light. Convert wavelength to energy for electromagnetic waves, atomic spectra, and subatomic particles. X-Ray Wavelength To Energy Calculator.
From www.slideshare.net
Photon and energy levels X-Ray Wavelength To Energy Calculator Enter the energy in joules and get the. Convert wavelength to energy for electromagnetic waves, atomic spectra, and subatomic particles using planck's constant. Convert the wavelength of a photon's electromagnetic radiation to its energy using the equation e = \\frac {hc} {\\lambda}. Use this tool to calculate the energy of a photon from its wavelength using planck's constant and the. X-Ray Wavelength To Energy Calculator.
From trysritrry.blogspot.com
How to Calculate Wavelength TrysriTrry X-Ray Wavelength To Energy Calculator Use this tool to calculate the energy of a photon from its wavelength using planck's constant and the speed of light. Convert wavelength to energy for electromagnetic waves, atomic spectra, and subatomic particles using planck's constant. Convert the wavelength of a photon's electromagnetic radiation to its energy using the equation e = \\frac {hc} {\\lambda}. Enter the energy in joules. X-Ray Wavelength To Energy Calculator.
From learninglibrarythompson.z13.web.core.windows.net
Wavelength Questions And Answers X-Ray Wavelength To Energy Calculator Enter the energy in joules and get the. Convert wavelength to energy for electromagnetic waves, atomic spectra, and subatomic particles using planck's constant. Convert the wavelength of a photon's electromagnetic radiation to its energy using the equation e = \\frac {hc} {\\lambda}. Use this tool to calculate the energy of a photon from its wavelength using planck's constant and the. X-Ray Wavelength To Energy Calculator.
From imagine.gsfc.nasa.gov
Spectrum X-Ray Wavelength To Energy Calculator Convert the wavelength of a photon's electromagnetic radiation to its energy using the equation e = \\frac {hc} {\\lambda}. Use this tool to calculate the energy of a photon from its wavelength using planck's constant and the speed of light. Enter the energy in joules and get the. Convert wavelength to energy for electromagnetic waves, atomic spectra, and subatomic particles. X-Ray Wavelength To Energy Calculator.
From ar.inspiredpencil.com
Wavelength Frequency Equation X-Ray Wavelength To Energy Calculator Use this tool to calculate the energy of a photon from its wavelength using planck's constant and the speed of light. Convert the wavelength of a photon's electromagnetic radiation to its energy using the equation e = \\frac {hc} {\\lambda}. Enter the energy in joules and get the. Convert wavelength to energy for electromagnetic waves, atomic spectra, and subatomic particles. X-Ray Wavelength To Energy Calculator.
From mungfali.com
X Ray Spectra X-Ray Wavelength To Energy Calculator Enter the energy in joules and get the. Convert the wavelength of a photon's electromagnetic radiation to its energy using the equation e = \\frac {hc} {\\lambda}. Use this tool to calculate the energy of a photon from its wavelength using planck's constant and the speed of light. Convert wavelength to energy for electromagnetic waves, atomic spectra, and subatomic particles. X-Ray Wavelength To Energy Calculator.
From www.slideserve.com
PPT CHAPTER 3 XRAY DIFFRACTION IN CRYSTAL PowerPoint Presentation X-Ray Wavelength To Energy Calculator Enter the energy in joules and get the. Use this tool to calculate the energy of a photon from its wavelength using planck's constant and the speed of light. Convert wavelength to energy for electromagnetic waves, atomic spectra, and subatomic particles using planck's constant. Convert the wavelength of a photon's electromagnetic radiation to its energy using the equation e =. X-Ray Wavelength To Energy Calculator.
From wbfhvklzkr.blogspot.com
How To Find The Wavelength Of A Photon Calculate the energy of a X-Ray Wavelength To Energy Calculator Enter the energy in joules and get the. Use this tool to calculate the energy of a photon from its wavelength using planck's constant and the speed of light. Convert the wavelength of a photon's electromagnetic radiation to its energy using the equation e = \\frac {hc} {\\lambda}. Convert wavelength to energy for electromagnetic waves, atomic spectra, and subatomic particles. X-Ray Wavelength To Energy Calculator.
From byjus.com
X rays of wavelength 22 pm are scatered from a carbon target at an X-Ray Wavelength To Energy Calculator Convert the wavelength of a photon's electromagnetic radiation to its energy using the equation e = \\frac {hc} {\\lambda}. Use this tool to calculate the energy of a photon from its wavelength using planck's constant and the speed of light. Convert wavelength to energy for electromagnetic waves, atomic spectra, and subatomic particles using planck's constant. Enter the energy in joules. X-Ray Wavelength To Energy Calculator.
From www.youtube.com
How to Calculate the Wavelength of a Wave When Wave Speed and Frequency X-Ray Wavelength To Energy Calculator Convert wavelength to energy for electromagnetic waves, atomic spectra, and subatomic particles using planck's constant. Use this tool to calculate the energy of a photon from its wavelength using planck's constant and the speed of light. Convert the wavelength of a photon's electromagnetic radiation to its energy using the equation e = \\frac {hc} {\\lambda}. Enter the energy in joules. X-Ray Wavelength To Energy Calculator.
From www.researchgate.net
(Color online) (a) Spectrum region of Xray to wavelength and photon X-Ray Wavelength To Energy Calculator Convert wavelength to energy for electromagnetic waves, atomic spectra, and subatomic particles using planck's constant. Convert the wavelength of a photon's electromagnetic radiation to its energy using the equation e = \\frac {hc} {\\lambda}. Enter the energy in joules and get the. Use this tool to calculate the energy of a photon from its wavelength using planck's constant and the. X-Ray Wavelength To Energy Calculator.
From mungfali.com
Calculate Frequency From Wavelength X-Ray Wavelength To Energy Calculator Use this tool to calculate the energy of a photon from its wavelength using planck's constant and the speed of light. Enter the energy in joules and get the. Convert wavelength to energy for electromagnetic waves, atomic spectra, and subatomic particles using planck's constant. Convert the wavelength of a photon's electromagnetic radiation to its energy using the equation e =. X-Ray Wavelength To Energy Calculator.
From www.numerade.com
SOLVED Xray Wavelength What is the minimum wavelength (to four X-Ray Wavelength To Energy Calculator Use this tool to calculate the energy of a photon from its wavelength using planck's constant and the speed of light. Convert wavelength to energy for electromagnetic waves, atomic spectra, and subatomic particles using planck's constant. Convert the wavelength of a photon's electromagnetic radiation to its energy using the equation e = \\frac {hc} {\\lambda}. Enter the energy in joules. X-Ray Wavelength To Energy Calculator.
From opengeology.org
12 Xray Diffraction and Mineral Analysis Mineralogy X-Ray Wavelength To Energy Calculator Use this tool to calculate the energy of a photon from its wavelength using planck's constant and the speed of light. Convert wavelength to energy for electromagnetic waves, atomic spectra, and subatomic particles using planck's constant. Enter the energy in joules and get the. Convert the wavelength of a photon's electromagnetic radiation to its energy using the equation e =. X-Ray Wavelength To Energy Calculator.
From studyfurnishers.z4.web.core.windows.net
How To Calculate Wavelength Chemistry X-Ray Wavelength To Energy Calculator Enter the energy in joules and get the. Convert wavelength to energy for electromagnetic waves, atomic spectra, and subatomic particles using planck's constant. Convert the wavelength of a photon's electromagnetic radiation to its energy using the equation e = \\frac {hc} {\\lambda}. Use this tool to calculate the energy of a photon from its wavelength using planck's constant and the. X-Ray Wavelength To Energy Calculator.
From abookshelfcorner.blogspot.com
How To Calculate Wavelength Of A Photon X-Ray Wavelength To Energy Calculator Use this tool to calculate the energy of a photon from its wavelength using planck's constant and the speed of light. Convert wavelength to energy for electromagnetic waves, atomic spectra, and subatomic particles using planck's constant. Convert the wavelength of a photon's electromagnetic radiation to its energy using the equation e = \\frac {hc} {\\lambda}. Enter the energy in joules. X-Ray Wavelength To Energy Calculator.
From jazlynnewshaney.blogspot.com
How to Calculate the Wavelength of a Photon in Nm X-Ray Wavelength To Energy Calculator Convert wavelength to energy for electromagnetic waves, atomic spectra, and subatomic particles using planck's constant. Use this tool to calculate the energy of a photon from its wavelength using planck's constant and the speed of light. Enter the energy in joules and get the. Convert the wavelength of a photon's electromagnetic radiation to its energy using the equation e =. X-Ray Wavelength To Energy Calculator.
From www.numerade.com
SOLVED Calculate the energy in keV of an xray photon that has a X-Ray Wavelength To Energy Calculator Enter the energy in joules and get the. Convert the wavelength of a photon's electromagnetic radiation to its energy using the equation e = \\frac {hc} {\\lambda}. Use this tool to calculate the energy of a photon from its wavelength using planck's constant and the speed of light. Convert wavelength to energy for electromagnetic waves, atomic spectra, and subatomic particles. X-Ray Wavelength To Energy Calculator.
From learningzonemarshall.z19.web.core.windows.net
Wavelength Frequency And Energy Calculator X-Ray Wavelength To Energy Calculator Convert the wavelength of a photon's electromagnetic radiation to its energy using the equation e = \\frac {hc} {\\lambda}. Enter the energy in joules and get the. Convert wavelength to energy for electromagnetic waves, atomic spectra, and subatomic particles using planck's constant. Use this tool to calculate the energy of a photon from its wavelength using planck's constant and the. X-Ray Wavelength To Energy Calculator.
From www.bartleby.com
Answered Wavelength (m) 107 1011 109 105… bartleby X-Ray Wavelength To Energy Calculator Convert the wavelength of a photon's electromagnetic radiation to its energy using the equation e = \\frac {hc} {\\lambda}. Enter the energy in joules and get the. Use this tool to calculate the energy of a photon from its wavelength using planck's constant and the speed of light. Convert wavelength to energy for electromagnetic waves, atomic spectra, and subatomic particles. X-Ray Wavelength To Energy Calculator.
From scoop.eduncle.com
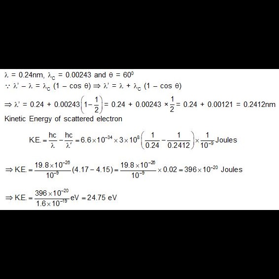
Xrays of wavelength 0.24 nm are Compton scattered and the scattered X-Ray Wavelength To Energy Calculator Convert the wavelength of a photon's electromagnetic radiation to its energy using the equation e = \\frac {hc} {\\lambda}. Enter the energy in joules and get the. Convert wavelength to energy for electromagnetic waves, atomic spectra, and subatomic particles using planck's constant. Use this tool to calculate the energy of a photon from its wavelength using planck's constant and the. X-Ray Wavelength To Energy Calculator.
From printablelibcirrous.z13.web.core.windows.net
Calculating Frequency Wavelength And Energy X-Ray Wavelength To Energy Calculator Convert wavelength to energy for electromagnetic waves, atomic spectra, and subatomic particles using planck's constant. Enter the energy in joules and get the. Use this tool to calculate the energy of a photon from its wavelength using planck's constant and the speed of light. Convert the wavelength of a photon's electromagnetic radiation to its energy using the equation e =. X-Ray Wavelength To Energy Calculator.
From printablelibcirrous.z13.web.core.windows.net
Calculating Frequency Wavelength And Energy X-Ray Wavelength To Energy Calculator Convert the wavelength of a photon's electromagnetic radiation to its energy using the equation e = \\frac {hc} {\\lambda}. Enter the energy in joules and get the. Use this tool to calculate the energy of a photon from its wavelength using planck's constant and the speed of light. Convert wavelength to energy for electromagnetic waves, atomic spectra, and subatomic particles. X-Ray Wavelength To Energy Calculator.
From www.pinterest.com
Wavelength to Frequency Calculation and Equation Learn physics X-Ray Wavelength To Energy Calculator Use this tool to calculate the energy of a photon from its wavelength using planck's constant and the speed of light. Convert the wavelength of a photon's electromagnetic radiation to its energy using the equation e = \\frac {hc} {\\lambda}. Convert wavelength to energy for electromagnetic waves, atomic spectra, and subatomic particles using planck's constant. Enter the energy in joules. X-Ray Wavelength To Energy Calculator.
From www.numerade.com
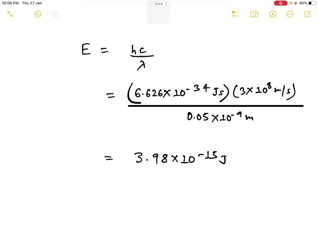
SOLVED An xray of wavelength 0.050 nm scatters from a gold target X-Ray Wavelength To Energy Calculator Enter the energy in joules and get the. Convert wavelength to energy for electromagnetic waves, atomic spectra, and subatomic particles using planck's constant. Convert the wavelength of a photon's electromagnetic radiation to its energy using the equation e = \\frac {hc} {\\lambda}. Use this tool to calculate the energy of a photon from its wavelength using planck's constant and the. X-Ray Wavelength To Energy Calculator.