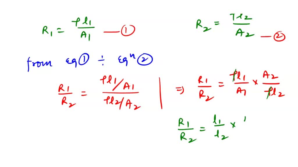
Two Wires Made Of Same Material . Here the wires are made of the same material and have the same volume. Yet, wire a has four. as the two wires are made of the same material, so they will have the same density. two wires are made of the same material and have the same volume. two wires are made of the same material and have the same volume. ∴ a1l1 = a2l2 ⇒. See the question, solution and similar. Two wires are made of the same material and have the same volume. the two wires are the same material, by equating the young’s modulus equation of the two wires the force required can be determined. Let r 1 & r 2 be the resistances of the two. Since, the materials are the same,. find out how to calculate the force needed to stretch two wires of the same material and volume by the same amount. The correct option is d 9f.
from byjus.com
∴ a1l1 = a2l2 ⇒. find out how to calculate the force needed to stretch two wires of the same material and volume by the same amount. two wires are made of the same material and have the same volume. Two wires are made of the same material and have the same volume. the two wires are the same material, by equating the young’s modulus equation of the two wires the force required can be determined. See the question, solution and similar. Yet, wire a has four. Since, the materials are the same,. The correct option is d 9f. Here the wires are made of the same material and have the same volume.
Two wires of same material and radius have there lengths in the ratio 12 . If the wires are
Two Wires Made Of Same Material See the question, solution and similar. Yet, wire a has four. ∴ a1l1 = a2l2 ⇒. Here the wires are made of the same material and have the same volume. See the question, solution and similar. Let r 1 & r 2 be the resistances of the two. the two wires are the same material, by equating the young’s modulus equation of the two wires the force required can be determined. The correct option is d 9f. two wires are made of the same material and have the same volume. as the two wires are made of the same material, so they will have the same density. Since, the materials are the same,. two wires are made of the same material and have the same volume. find out how to calculate the force needed to stretch two wires of the same material and volume by the same amount. Two wires are made of the same material and have the same volume.
From www.doubtnut.com
Two wires made of the same material have lengths 3 m and 4 m and weigh Two Wires Made Of Same Material ∴ a1l1 = a2l2 ⇒. The correct option is d 9f. Let r 1 & r 2 be the resistances of the two. Since, the materials are the same,. two wires are made of the same material and have the same volume. Here the wires are made of the same material and have the same volume. find out. Two Wires Made Of Same Material.
From byjus.com
Two wires of same material and radius have there lengths in the ratio 12 . If the wires are Two Wires Made Of Same Material Let r 1 & r 2 be the resistances of the two. Two wires are made of the same material and have the same volume. the two wires are the same material, by equating the young’s modulus equation of the two wires the force required can be determined. ∴ a1l1 = a2l2 ⇒. two wires are made of. Two Wires Made Of Same Material.
From dxokkrahf.blob.core.windows.net
Two Wires Are Made Of Same Material at John Boettcher blog Two Wires Made Of Same Material two wires are made of the same material and have the same volume. Here the wires are made of the same material and have the same volume. two wires are made of the same material and have the same volume. Yet, wire a has four. Since, the materials are the same,. Let r 1 & r 2 be. Two Wires Made Of Same Material.
From www.youtube.com
Two wires made of same material are subjected to forces in the ratio 14 their lengths are in th Two Wires Made Of Same Material two wires are made of the same material and have the same volume. two wires are made of the same material and have the same volume. Let r 1 & r 2 be the resistances of the two. find out how to calculate the force needed to stretch two wires of the same material and volume by. Two Wires Made Of Same Material.
From www.chegg.com
Solved Wires and are made of the same material and have the Two Wires Made Of Same Material Yet, wire a has four. two wires are made of the same material and have the same volume. The correct option is d 9f. Since, the materials are the same,. the two wires are the same material, by equating the young’s modulus equation of the two wires the force required can be determined. Let r 1 & r. Two Wires Made Of Same Material.
From www.toppr.com
c. Ky d. kg 13. A same force is acting on two wires made of same material. One wire has length Two Wires Made Of Same Material The correct option is d 9f. ∴ a1l1 = a2l2 ⇒. See the question, solution and similar. Yet, wire a has four. Two wires are made of the same material and have the same volume. Since, the materials are the same,. the two wires are the same material, by equating the young’s modulus equation of the two wires the. Two Wires Made Of Same Material.
From byjus.com
Two wires of same material and radius have their lengths in ratio 1 2. If these wires are Two Wires Made Of Same Material The correct option is d 9f. ∴ a1l1 = a2l2 ⇒. two wires are made of the same material and have the same volume. Here the wires are made of the same material and have the same volume. Yet, wire a has four. See the question, solution and similar. as the two wires are made of the same. Two Wires Made Of Same Material.
From byjus.com
Two wires of same materials has length ratio 12 and mass ratio 23. What will be their Two Wires Made Of Same Material Yet, wire a has four. the two wires are the same material, by equating the young’s modulus equation of the two wires the force required can be determined. The correct option is d 9f. find out how to calculate the force needed to stretch two wires of the same material and volume by the same amount. Let r. Two Wires Made Of Same Material.
From www.toppr.com
Two wires are made of the same material and have the same volume. The first wire has cross Two Wires Made Of Same Material Here the wires are made of the same material and have the same volume. The correct option is d 9f. Since, the materials are the same,. find out how to calculate the force needed to stretch two wires of the same material and volume by the same amount. two wires are made of the same material and have. Two Wires Made Of Same Material.
From askfilo.com
The current two wires made of same material have lengths in the ratio the.. Two Wires Made Of Same Material The correct option is d 9f. two wires are made of the same material and have the same volume. Yet, wire a has four. two wires are made of the same material and have the same volume. find out how to calculate the force needed to stretch two wires of the same material and volume by the. Two Wires Made Of Same Material.
From www.numerade.com
SOLVED Two wires made of same material have their electrical resistances in the ratio 1 4. If Two Wires Made Of Same Material ∴ a1l1 = a2l2 ⇒. Yet, wire a has four. See the question, solution and similar. two wires are made of the same material and have the same volume. the two wires are the same material, by equating the young’s modulus equation of the two wires the force required can be determined. find out how to calculate. Two Wires Made Of Same Material.
From www.doubtnut.com
Two wires made of the same material and of same area of crosssection are 1 m and 2 m long Two Wires Made Of Same Material Since, the materials are the same,. Here the wires are made of the same material and have the same volume. the two wires are the same material, by equating the young’s modulus equation of the two wires the force required can be determined. find out how to calculate the force needed to stretch two wires of the same. Two Wires Made Of Same Material.
From solvedlib.com
Two wires made of the same material have the same len… SolvedLib Two Wires Made Of Same Material The correct option is d 9f. Let r 1 & r 2 be the resistances of the two. the two wires are the same material, by equating the young’s modulus equation of the two wires the force required can be determined. Here the wires are made of the same material and have the same volume. Yet, wire a has. Two Wires Made Of Same Material.
From www.toppr.com
Two wire A and B are of the same material. Their lengths are in the ratio of 12 and the Two Wires Made Of Same Material find out how to calculate the force needed to stretch two wires of the same material and volume by the same amount. as the two wires are made of the same material, so they will have the same density. two wires are made of the same material and have the same volume. The correct option is d. Two Wires Made Of Same Material.
From www.youtube.com
Two conducting wires of the same material and of equal lengths and equal diameters are first Two Wires Made Of Same Material the two wires are the same material, by equating the young’s modulus equation of the two wires the force required can be determined. two wires are made of the same material and have the same volume. as the two wires are made of the same material, so they will have the same density. two wires are. Two Wires Made Of Same Material.
From www.youtube.com
Two wires made of same material have their length in the ratio 12 and their masses in the ratio Two Wires Made Of Same Material two wires are made of the same material and have the same volume. two wires are made of the same material and have the same volume. Since, the materials are the same,. Let r 1 & r 2 be the resistances of the two. the two wires are the same material, by equating the young’s modulus equation. Two Wires Made Of Same Material.
From www.toppr.com
Two conducting wires of the same material and of equal lengths and equal diameters are first Two Wires Made Of Same Material Let r 1 & r 2 be the resistances of the two. The correct option is d 9f. two wires are made of the same material and have the same volume. two wires are made of the same material and have the same volume. Yet, wire a has four. ∴ a1l1 = a2l2 ⇒. See the question, solution. Two Wires Made Of Same Material.
From www.toppr.com
13. A same force is acting on two wires made of same material. One wire has length I and Two Wires Made Of Same Material See the question, solution and similar. Since, the materials are the same,. ∴ a1l1 = a2l2 ⇒. Here the wires are made of the same material and have the same volume. as the two wires are made of the same material, so they will have the same density. Two wires are made of the same material and have the. Two Wires Made Of Same Material.
From www.youtube.com
Two wires made of same material have lengths in the ratio `12` and their volumes in the same Two Wires Made Of Same Material Two wires are made of the same material and have the same volume. the two wires are the same material, by equating the young’s modulus equation of the two wires the force required can be determined. find out how to calculate the force needed to stretch two wires of the same material and volume by the same amount.. Two Wires Made Of Same Material.
From www.youtube.com
Two wires of the same material (Young\'s modulus=Y) and same length L but radii R and 2R respect Two Wires Made Of Same Material Here the wires are made of the same material and have the same volume. find out how to calculate the force needed to stretch two wires of the same material and volume by the same amount. two wires are made of the same material and have the same volume. Two wires are made of the same material and. Two Wires Made Of Same Material.
From byjus.com
Two wires are made of the same material and have the same volume however wire 1 has Two Wires Made Of Same Material the two wires are the same material, by equating the young’s modulus equation of the two wires the force required can be determined. Two wires are made of the same material and have the same volume. Yet, wire a has four. See the question, solution and similar. Let r 1 & r 2 be the resistances of the two.. Two Wires Made Of Same Material.
From dxokkrahf.blob.core.windows.net
Two Wires Are Made Of Same Material at John Boettcher blog Two Wires Made Of Same Material two wires are made of the same material and have the same volume. two wires are made of the same material and have the same volume. Two wires are made of the same material and have the same volume. as the two wires are made of the same material, so they will have the same density. Since,. Two Wires Made Of Same Material.
From www.youtube.com
Two conducting wires of the same material and of equal lengths and equal diameters are first Two Wires Made Of Same Material See the question, solution and similar. the two wires are the same material, by equating the young’s modulus equation of the two wires the force required can be determined. Yet, wire a has four. The correct option is d 9f. ∴ a1l1 = a2l2 ⇒. Two wires are made of the same material and have the same volume. . Two Wires Made Of Same Material.
From www.teachoo.com
NCERT Q4 Two conducting wires of the same material and of equal Two Wires Made Of Same Material ∴ a1l1 = a2l2 ⇒. The correct option is d 9f. as the two wires are made of the same material, so they will have the same density. Two wires are made of the same material and have the same volume. two wires are made of the same material and have the same volume. find out how. Two Wires Made Of Same Material.
From www.toppr.com
11. Two wires of same material and radius have their lengths in ratio 1 2. If these wires are Two Wires Made Of Same Material Two wires are made of the same material and have the same volume. find out how to calculate the force needed to stretch two wires of the same material and volume by the same amount. Since, the materials are the same,. Let r 1 & r 2 be the resistances of the two. two wires are made of. Two Wires Made Of Same Material.
From www.youtube.com
Two wires made of the same material and of same area of crosssection are 1 m and 2 m long YouTube Two Wires Made Of Same Material Since, the materials are the same,. Here the wires are made of the same material and have the same volume. two wires are made of the same material and have the same volume. Two wires are made of the same material and have the same volume. the two wires are the same material, by equating the young’s modulus. Two Wires Made Of Same Material.
From www.toppr.com
Two wires made up of the same material are of equal length but their radii are in the ratio of 1 Two Wires Made Of Same Material Yet, wire a has four. Since, the materials are the same,. The correct option is d 9f. Two wires are made of the same material and have the same volume. Here the wires are made of the same material and have the same volume. two wires are made of the same material and have the same volume. the. Two Wires Made Of Same Material.
From byjus.com
132.Two thick wires and two thin wires all of same material.and same length form a square in Two Wires Made Of Same Material Here the wires are made of the same material and have the same volume. the two wires are the same material, by equating the young’s modulus equation of the two wires the force required can be determined. Two wires are made of the same material and have the same volume. Let r 1 & r 2 be the resistances. Two Wires Made Of Same Material.
From www.doubtnut.com
Two wires A and B made of same material and having their lengths in the ratio 61 are connected Two Wires Made Of Same Material The correct option is d 9f. ∴ a1l1 = a2l2 ⇒. two wires are made of the same material and have the same volume. as the two wires are made of the same material, so they will have the same density. find out how to calculate the force needed to stretch two wires of the same material. Two Wires Made Of Same Material.
From askfilo.com
Two wires made of same material have their length are in the ratio 12 an.. Two Wires Made Of Same Material See the question, solution and similar. two wires are made of the same material and have the same volume. Here the wires are made of the same material and have the same volume. find out how to calculate the force needed to stretch two wires of the same material and volume by the same amount. The correct option. Two Wires Made Of Same Material.
From askfilo.com
Two wires made of same material have lengths in the ratio 12 and their v.. Two Wires Made Of Same Material Two wires are made of the same material and have the same volume. Here the wires are made of the same material and have the same volume. Let r 1 & r 2 be the resistances of the two. Since, the materials are the same,. See the question, solution and similar. find out how to calculate the force needed. Two Wires Made Of Same Material.
From www.toppr.com
Two wires made of same material have their length are in the ratio 12 and their masses in the Two Wires Made Of Same Material Two wires are made of the same material and have the same volume. See the question, solution and similar. ∴ a1l1 = a2l2 ⇒. find out how to calculate the force needed to stretch two wires of the same material and volume by the same amount. two wires are made of the same material and have the same. Two Wires Made Of Same Material.
From askfilo.com
20. Two wires are made of the same material and have the same volume. How.. Two Wires Made Of Same Material The correct option is d 9f. See the question, solution and similar. Two wires are made of the same material and have the same volume. Here the wires are made of the same material and have the same volume. the two wires are the same material, by equating the young’s modulus equation of the two wires the force required. Two Wires Made Of Same Material.
From kunduz.com
[ANSWERED] 18 Two wires are made of the same material and have the same Kunduz Two Wires Made Of Same Material find out how to calculate the force needed to stretch two wires of the same material and volume by the same amount. two wires are made of the same material and have the same volume. Let r 1 & r 2 be the resistances of the two. Here the wires are made of the same material and have. Two Wires Made Of Same Material.
From www.toppr.com
Two wires of the same material and length are stretched by the same force. Their masses are in Two Wires Made Of Same Material find out how to calculate the force needed to stretch two wires of the same material and volume by the same amount. two wires are made of the same material and have the same volume. The correct option is d 9f. Two wires are made of the same material and have the same volume. See the question, solution. Two Wires Made Of Same Material.