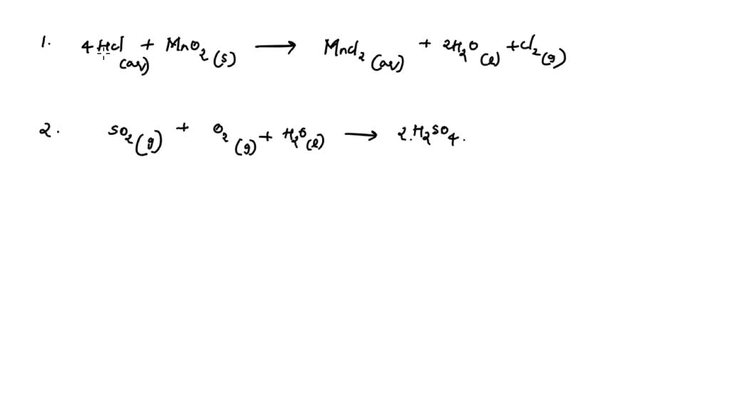
Manganese Iv Oxide + Hcl . Mno 2 + 4 hcl → mncl 2 + 2 h 2 o + cl 2. You have to make up a solution which is approximately what you want, and then standardize it by doing a titration. chlorine forms from the reaction of hydrochloric acid with manganese(iv) oxide. manganese chloride is produced by treating manganese (iv) oxide with concentrated hydrochloric acid. manganese dioxide is a heavy metal oxide, and is reasonably toxic. Ingestion or inhalation of large amounts of manganese will cause a. the reaction of hydrochloric acid with manganese (iv) oxide produces chlorine as shown in the reaction below:
from www.youtube.com
chlorine forms from the reaction of hydrochloric acid with manganese(iv) oxide. the reaction of hydrochloric acid with manganese (iv) oxide produces chlorine as shown in the reaction below: manganese chloride is produced by treating manganese (iv) oxide with concentrated hydrochloric acid. Ingestion or inhalation of large amounts of manganese will cause a. You have to make up a solution which is approximately what you want, and then standardize it by doing a titration. Mno 2 + 4 hcl → mncl 2 + 2 h 2 o + cl 2. manganese dioxide is a heavy metal oxide, and is reasonably toxic.
How to write chemical formula of Manganese IV OxideManganese IV Oxide
Manganese Iv Oxide + Hcl chlorine forms from the reaction of hydrochloric acid with manganese(iv) oxide. manganese chloride is produced by treating manganese (iv) oxide with concentrated hydrochloric acid. manganese dioxide is a heavy metal oxide, and is reasonably toxic. the reaction of hydrochloric acid with manganese (iv) oxide produces chlorine as shown in the reaction below: You have to make up a solution which is approximately what you want, and then standardize it by doing a titration. Mno 2 + 4 hcl → mncl 2 + 2 h 2 o + cl 2. chlorine forms from the reaction of hydrochloric acid with manganese(iv) oxide. Ingestion or inhalation of large amounts of manganese will cause a.
From www.youtube.com
How to Write the Formula for Manganese (IV) oxide (or Manganese dioxide Manganese Iv Oxide + Hcl the reaction of hydrochloric acid with manganese (iv) oxide produces chlorine as shown in the reaction below: manganese dioxide is a heavy metal oxide, and is reasonably toxic. You have to make up a solution which is approximately what you want, and then standardize it by doing a titration. Ingestion or inhalation of large amounts of manganese will. Manganese Iv Oxide + Hcl.
From www.youtube.com
How to Write the Formula for Manganese (IV) oxide YouTube Manganese Iv Oxide + Hcl Ingestion or inhalation of large amounts of manganese will cause a. chlorine forms from the reaction of hydrochloric acid with manganese(iv) oxide. Mno 2 + 4 hcl → mncl 2 + 2 h 2 o + cl 2. manganese dioxide is a heavy metal oxide, and is reasonably toxic. You have to make up a solution which is. Manganese Iv Oxide + Hcl.
From labchem-wako.fujifilm.com
1313139・Manganese(IV) Oxide, Powder・13809675[Detail Information Manganese Iv Oxide + Hcl Mno 2 + 4 hcl → mncl 2 + 2 h 2 o + cl 2. manganese dioxide is a heavy metal oxide, and is reasonably toxic. manganese chloride is produced by treating manganese (iv) oxide with concentrated hydrochloric acid. You have to make up a solution which is approximately what you want, and then standardize it by. Manganese Iv Oxide + Hcl.
From www.apcpure.com
Manganese (IV) Oxide 75 APC Pure Manganese Iv Oxide + Hcl the reaction of hydrochloric acid with manganese (iv) oxide produces chlorine as shown in the reaction below: Ingestion or inhalation of large amounts of manganese will cause a. You have to make up a solution which is approximately what you want, and then standardize it by doing a titration. Mno 2 + 4 hcl → mncl 2 + 2. Manganese Iv Oxide + Hcl.
From www.ebay.it
Manganese Dioxide 75 (Manganese IV Oxide) 1KG **Packed in Plastic Tub Manganese Iv Oxide + Hcl manganese chloride is produced by treating manganese (iv) oxide with concentrated hydrochloric acid. chlorine forms from the reaction of hydrochloric acid with manganese(iv) oxide. the reaction of hydrochloric acid with manganese (iv) oxide produces chlorine as shown in the reaction below: Mno 2 + 4 hcl → mncl 2 + 2 h 2 o + cl 2.. Manganese Iv Oxide + Hcl.
From segudanggambar748.blogspot.com
Manganese Iv Oxide Formula / Manganese Oxide Chemical Formula Manganese Iv Oxide + Hcl Ingestion or inhalation of large amounts of manganese will cause a. the reaction of hydrochloric acid with manganese (iv) oxide produces chlorine as shown in the reaction below: chlorine forms from the reaction of hydrochloric acid with manganese(iv) oxide. manganese chloride is produced by treating manganese (iv) oxide with concentrated hydrochloric acid. manganese dioxide is a. Manganese Iv Oxide + Hcl.
From www.sigmaaldrich.id
MANGANESE(IV) OXIDE, ACTIVATED, APPROX.& Merck Life Science Indonesia Manganese Iv Oxide + Hcl manganese chloride is produced by treating manganese (iv) oxide with concentrated hydrochloric acid. manganese dioxide is a heavy metal oxide, and is reasonably toxic. You have to make up a solution which is approximately what you want, and then standardize it by doing a titration. Mno 2 + 4 hcl → mncl 2 + 2 h 2 o. Manganese Iv Oxide + Hcl.
From www.numerade.com
SOLVED Aqueous hydrochloric acid reacts with solid manganese(IV) oxide Manganese Iv Oxide + Hcl chlorine forms from the reaction of hydrochloric acid with manganese(iv) oxide. manganese chloride is produced by treating manganese (iv) oxide with concentrated hydrochloric acid. You have to make up a solution which is approximately what you want, and then standardize it by doing a titration. Ingestion or inhalation of large amounts of manganese will cause a. the. Manganese Iv Oxide + Hcl.
From www.numerade.com
Aqueous hydrochloric acid reacts with solid manganese(IV) oxide to form Manganese Iv Oxide + Hcl manganese dioxide is a heavy metal oxide, and is reasonably toxic. Ingestion or inhalation of large amounts of manganese will cause a. chlorine forms from the reaction of hydrochloric acid with manganese(iv) oxide. manganese chloride is produced by treating manganese (iv) oxide with concentrated hydrochloric acid. Mno 2 + 4 hcl → mncl 2 + 2 h. Manganese Iv Oxide + Hcl.
From www.youtube.com
How to write chemical formula of Manganese IV OxideManganese IV Oxide Manganese Iv Oxide + Hcl Mno 2 + 4 hcl → mncl 2 + 2 h 2 o + cl 2. the reaction of hydrochloric acid with manganese (iv) oxide produces chlorine as shown in the reaction below: Ingestion or inhalation of large amounts of manganese will cause a. manganese dioxide is a heavy metal oxide, and is reasonably toxic. chlorine forms. Manganese Iv Oxide + Hcl.
From chemcraft.su
Manganese(IV) oxide, >85 (pure p.a.) chemcraft.su Manganese Iv Oxide + Hcl Mno 2 + 4 hcl → mncl 2 + 2 h 2 o + cl 2. Ingestion or inhalation of large amounts of manganese will cause a. the reaction of hydrochloric acid with manganese (iv) oxide produces chlorine as shown in the reaction below: chlorine forms from the reaction of hydrochloric acid with manganese(iv) oxide. You have to. Manganese Iv Oxide + Hcl.
From www.ottokemi.com
Manganese(IV) oxide, 99.999 1313139 Manufacturers & Suppliers in Manganese Iv Oxide + Hcl manganese dioxide is a heavy metal oxide, and is reasonably toxic. chlorine forms from the reaction of hydrochloric acid with manganese(iv) oxide. Mno 2 + 4 hcl → mncl 2 + 2 h 2 o + cl 2. Ingestion or inhalation of large amounts of manganese will cause a. manganese chloride is produced by treating manganese (iv). Manganese Iv Oxide + Hcl.
From faratajhizlab.com
Manganese (IV) oxide Fara Tajhiz Laboratory Equipment Sales Centre Manganese Iv Oxide + Hcl manganese dioxide is a heavy metal oxide, and is reasonably toxic. You have to make up a solution which is approximately what you want, and then standardize it by doing a titration. Ingestion or inhalation of large amounts of manganese will cause a. manganese chloride is produced by treating manganese (iv) oxide with concentrated hydrochloric acid. Mno 2. Manganese Iv Oxide + Hcl.
From procure-net.com
Manganese(IV) Oxide ReagentPlus® High Purity Catalyst for Oxygen and Manganese Iv Oxide + Hcl Mno 2 + 4 hcl → mncl 2 + 2 h 2 o + cl 2. the reaction of hydrochloric acid with manganese (iv) oxide produces chlorine as shown in the reaction below: Ingestion or inhalation of large amounts of manganese will cause a. chlorine forms from the reaction of hydrochloric acid with manganese(iv) oxide. You have to. Manganese Iv Oxide + Hcl.
From manashimi.com
منگنز (IV) اکساید Manganese(IV) oxide 805958 مانا شیمی Manganese Iv Oxide + Hcl manganese chloride is produced by treating manganese (iv) oxide with concentrated hydrochloric acid. the reaction of hydrochloric acid with manganese (iv) oxide produces chlorine as shown in the reaction below: Mno 2 + 4 hcl → mncl 2 + 2 h 2 o + cl 2. You have to make up a solution which is approximately what you. Manganese Iv Oxide + Hcl.
From apcpure.com
Manganese (IV) Oxide 75 APC Pure Manganese Iv Oxide + Hcl manganese dioxide is a heavy metal oxide, and is reasonably toxic. You have to make up a solution which is approximately what you want, and then standardize it by doing a titration. Ingestion or inhalation of large amounts of manganese will cause a. the reaction of hydrochloric acid with manganese (iv) oxide produces chlorine as shown in the. Manganese Iv Oxide + Hcl.
From www.alamy.com
Full labelled diagram of the laboratory preparation of oxygen from Manganese Iv Oxide + Hcl manganese dioxide is a heavy metal oxide, and is reasonably toxic. Mno 2 + 4 hcl → mncl 2 + 2 h 2 o + cl 2. You have to make up a solution which is approximately what you want, and then standardize it by doing a titration. manganese chloride is produced by treating manganese (iv) oxide with. Manganese Iv Oxide + Hcl.
From www.ottokemi.com
Manganese(IV) oxide, 99 Manufacturers & suppliers with worldwide Manganese Iv Oxide + Hcl manganese dioxide is a heavy metal oxide, and is reasonably toxic. Ingestion or inhalation of large amounts of manganese will cause a. Mno 2 + 4 hcl → mncl 2 + 2 h 2 o + cl 2. You have to make up a solution which is approximately what you want, and then standardize it by doing a titration.. Manganese Iv Oxide + Hcl.
From www.slideserve.com
PPT Naming Multivalent Compounds PowerPoint Presentation, free Manganese Iv Oxide + Hcl You have to make up a solution which is approximately what you want, and then standardize it by doing a titration. manganese dioxide is a heavy metal oxide, and is reasonably toxic. chlorine forms from the reaction of hydrochloric acid with manganese(iv) oxide. Ingestion or inhalation of large amounts of manganese will cause a. the reaction of. Manganese Iv Oxide + Hcl.
From labbox.eu
Manganese (IV) oxide AGR Labbox Export Manganese Iv Oxide + Hcl Ingestion or inhalation of large amounts of manganese will cause a. chlorine forms from the reaction of hydrochloric acid with manganese(iv) oxide. Mno 2 + 4 hcl → mncl 2 + 2 h 2 o + cl 2. the reaction of hydrochloric acid with manganese (iv) oxide produces chlorine as shown in the reaction below: manganese chloride. Manganese Iv Oxide + Hcl.
From www.coursehero.com
[Solved] The reaction of manganese(IV) oxide with an excess of Manganese Iv Oxide + Hcl manganese chloride is produced by treating manganese (iv) oxide with concentrated hydrochloric acid. manganese dioxide is a heavy metal oxide, and is reasonably toxic. Ingestion or inhalation of large amounts of manganese will cause a. the reaction of hydrochloric acid with manganese (iv) oxide produces chlorine as shown in the reaction below: You have to make up. Manganese Iv Oxide + Hcl.
From www.selectschoolsupplies.co.uk
MANGANESE (IV) OXIDE TECH 500g Manganese Iv Oxide + Hcl chlorine forms from the reaction of hydrochloric acid with manganese(iv) oxide. manganese chloride is produced by treating manganese (iv) oxide with concentrated hydrochloric acid. the reaction of hydrochloric acid with manganese (iv) oxide produces chlorine as shown in the reaction below: manganese dioxide is a heavy metal oxide, and is reasonably toxic. Ingestion or inhalation of. Manganese Iv Oxide + Hcl.
From www.glentham.com
Manganese(IV) oxide, 99.9 (CAS 1313139) Glentham Life Sciences Manganese Iv Oxide + Hcl chlorine forms from the reaction of hydrochloric acid with manganese(iv) oxide. You have to make up a solution which is approximately what you want, and then standardize it by doing a titration. Mno 2 + 4 hcl → mncl 2 + 2 h 2 o + cl 2. manganese chloride is produced by treating manganese (iv) oxide with. Manganese Iv Oxide + Hcl.
From www.libertysci.com
Manganese(IV) Oxide, 25 g Liberty Scientific Manganese Iv Oxide + Hcl You have to make up a solution which is approximately what you want, and then standardize it by doing a titration. chlorine forms from the reaction of hydrochloric acid with manganese(iv) oxide. the reaction of hydrochloric acid with manganese (iv) oxide produces chlorine as shown in the reaction below: Ingestion or inhalation of large amounts of manganese will. Manganese Iv Oxide + Hcl.
From www.numerade.com
SOLVED Write a balanced chemical equation Aqueous hydrochloric acid Manganese Iv Oxide + Hcl chlorine forms from the reaction of hydrochloric acid with manganese(iv) oxide. manganese dioxide is a heavy metal oxide, and is reasonably toxic. You have to make up a solution which is approximately what you want, and then standardize it by doing a titration. manganese chloride is produced by treating manganese (iv) oxide with concentrated hydrochloric acid. . Manganese Iv Oxide + Hcl.
From www.sigmaaldrich.id
MANGANESE(IV) OXIDE, REAGENTPLUS(R), >& Merck Life Science Indonesia Manganese Iv Oxide + Hcl the reaction of hydrochloric acid with manganese (iv) oxide produces chlorine as shown in the reaction below: manganese dioxide is a heavy metal oxide, and is reasonably toxic. chlorine forms from the reaction of hydrochloric acid with manganese(iv) oxide. Mno 2 + 4 hcl → mncl 2 + 2 h 2 o + cl 2. manganese. Manganese Iv Oxide + Hcl.
From www.abmstore.my
Manganese 4 Oxide, Bendosen (500g) CAS No 1313139 AbmStore.my Manganese Iv Oxide + Hcl chlorine forms from the reaction of hydrochloric acid with manganese(iv) oxide. Mno 2 + 4 hcl → mncl 2 + 2 h 2 o + cl 2. manganese dioxide is a heavy metal oxide, and is reasonably toxic. You have to make up a solution which is approximately what you want, and then standardize it by doing a. Manganese Iv Oxide + Hcl.
From fineartamerica.com
Manganese (iv) Oxide Photograph by Andrew Lambert Photography Manganese Iv Oxide + Hcl Ingestion or inhalation of large amounts of manganese will cause a. manganese dioxide is a heavy metal oxide, and is reasonably toxic. You have to make up a solution which is approximately what you want, and then standardize it by doing a titration. Mno 2 + 4 hcl → mncl 2 + 2 h 2 o + cl 2.. Manganese Iv Oxide + Hcl.
From www.sciencephoto.com
Manganese (IV) Oxide Stock Image C028/0889 Science Photo Library Manganese Iv Oxide + Hcl Ingestion or inhalation of large amounts of manganese will cause a. manganese dioxide is a heavy metal oxide, and is reasonably toxic. chlorine forms from the reaction of hydrochloric acid with manganese(iv) oxide. You have to make up a solution which is approximately what you want, and then standardize it by doing a titration. Mno 2 + 4. Manganese Iv Oxide + Hcl.
From questions.kunduz.com
Chlorine gas can be prepared in the labora... Organic Chemistry Manganese Iv Oxide + Hcl chlorine forms from the reaction of hydrochloric acid with manganese(iv) oxide. You have to make up a solution which is approximately what you want, and then standardize it by doing a titration. manganese dioxide is a heavy metal oxide, and is reasonably toxic. manganese chloride is produced by treating manganese (iv) oxide with concentrated hydrochloric acid. Mno. Manganese Iv Oxide + Hcl.
From www.numerade.com
SOLVED Consider the following reaction MnO2 (s) + 4 HCl (aq) â Manganese Iv Oxide + Hcl Ingestion or inhalation of large amounts of manganese will cause a. Mno 2 + 4 hcl → mncl 2 + 2 h 2 o + cl 2. the reaction of hydrochloric acid with manganese (iv) oxide produces chlorine as shown in the reaction below: manganese dioxide is a heavy metal oxide, and is reasonably toxic. manganese chloride. Manganese Iv Oxide + Hcl.
From tropag.com
Mangan(IV)oxid (chem. gefällt, CMD) Manganese Iv Oxide + Hcl chlorine forms from the reaction of hydrochloric acid with manganese(iv) oxide. the reaction of hydrochloric acid with manganese (iv) oxide produces chlorine as shown in the reaction below: Ingestion or inhalation of large amounts of manganese will cause a. You have to make up a solution which is approximately what you want, and then standardize it by doing. Manganese Iv Oxide + Hcl.
From slidetodoc.com
Standard Electrode Potentials and Thermodynamic Feasibility The Manganese Iv Oxide + Hcl manganese chloride is produced by treating manganese (iv) oxide with concentrated hydrochloric acid. manganese dioxide is a heavy metal oxide, and is reasonably toxic. the reaction of hydrochloric acid with manganese (iv) oxide produces chlorine as shown in the reaction below: Ingestion or inhalation of large amounts of manganese will cause a. Mno 2 + 4 hcl. Manganese Iv Oxide + Hcl.
From lab.honeywell.com
Manganese(IV) oxide activated 63548 Honeywell Research Chemicals Manganese Iv Oxide + Hcl Ingestion or inhalation of large amounts of manganese will cause a. manganese chloride is produced by treating manganese (iv) oxide with concentrated hydrochloric acid. manganese dioxide is a heavy metal oxide, and is reasonably toxic. chlorine forms from the reaction of hydrochloric acid with manganese(iv) oxide. the reaction of hydrochloric acid with manganese (iv) oxide produces. Manganese Iv Oxide + Hcl.
From www.sigmaaldrich.id
MANGANESE(IV) OXIDE, ACTIVATED, APPROX.& Merck Life Science Indonesia Manganese Iv Oxide + Hcl chlorine forms from the reaction of hydrochloric acid with manganese(iv) oxide. manganese dioxide is a heavy metal oxide, and is reasonably toxic. the reaction of hydrochloric acid with manganese (iv) oxide produces chlorine as shown in the reaction below: You have to make up a solution which is approximately what you want, and then standardize it by. Manganese Iv Oxide + Hcl.