Copper Rod Of 88 Cm . A copper rod of 88 cm and an aluminium rod of unknown length have their increase in length independent of increase in temperature. A copper rod of 88 cm and an aluminium rod of unknown length have their increase in length independent of increase in temperature. A copper rod of length 88 c m and an aluminium rod of unknown length have their increase in length independent of increase in temperature. A copper rod of \ ( 88 \mathrm {~cm} \) and an aluminium rod of unknown length have their increase in length, independent of increase. A copper rod of length 88 cm and an aluminium rod of unknown length have their increase in length independent of increase in temperature. We can solve this question using concept, change in length of any rod due to thermal expansion is. To solve the problem, we need to understand the relationship between the change in length of the rods and their.
from jtcopper.com
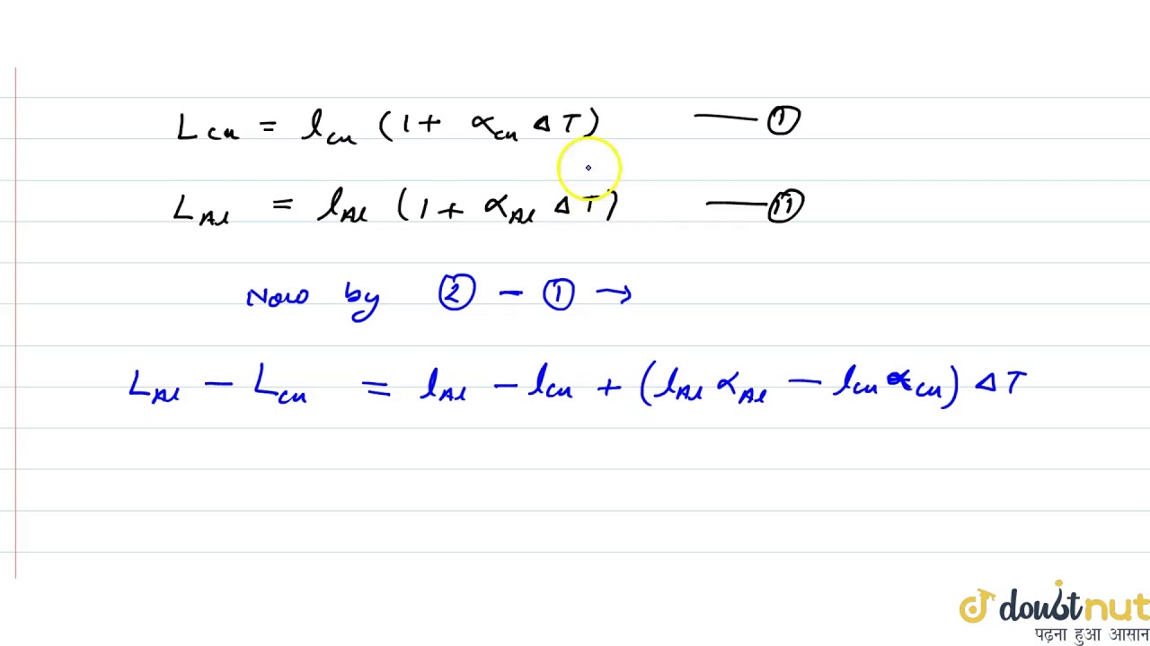
A copper rod of length 88 cm and an aluminium rod of unknown length have their increase in length independent of increase in temperature. A copper rod of length 88 c m and an aluminium rod of unknown length have their increase in length independent of increase in temperature. We can solve this question using concept, change in length of any rod due to thermal expansion is. To solve the problem, we need to understand the relationship between the change in length of the rods and their. A copper rod of \ ( 88 \mathrm {~cm} \) and an aluminium rod of unknown length have their increase in length, independent of increase. A copper rod of 88 cm and an aluminium rod of unknown length have their increase in length independent of increase in temperature. A copper rod of 88 cm and an aluminium rod of unknown length have their increase in length independent of increase in temperature.
Copper Bonded Earthing Rod, Chromium Copper Rod Wire Supplier JINTIAN
Copper Rod Of 88 Cm We can solve this question using concept, change in length of any rod due to thermal expansion is. A copper rod of length 88 c m and an aluminium rod of unknown length have their increase in length independent of increase in temperature. A copper rod of 88 cm and an aluminium rod of unknown length have their increase in length independent of increase in temperature. A copper rod of 88 cm and an aluminium rod of unknown length have their increase in length independent of increase in temperature. To solve the problem, we need to understand the relationship between the change in length of the rods and their. A copper rod of length 88 cm and an aluminium rod of unknown length have their increase in length independent of increase in temperature. We can solve this question using concept, change in length of any rod due to thermal expansion is. A copper rod of \ ( 88 \mathrm {~cm} \) and an aluminium rod of unknown length have their increase in length, independent of increase.
From beryllium-copper.com
Beryllium Copper Rod C17200 ALLOY 25 In Stock Wonder Copper Copper Rod Of 88 Cm A copper rod of \ ( 88 \mathrm {~cm} \) and an aluminium rod of unknown length have their increase in length, independent of increase. A copper rod of 88 cm and an aluminium rod of unknown length have their increase in length independent of increase in temperature. To solve the problem, we need to understand the relationship between the. Copper Rod Of 88 Cm.
From speedalloys.co.uk
Copper bars & rods Speed Alloys Copper Rod Of 88 Cm A copper rod of length 88 c m and an aluminium rod of unknown length have their increase in length independent of increase in temperature. A copper rod of \ ( 88 \mathrm {~cm} \) and an aluminium rod of unknown length have their increase in length, independent of increase. A copper rod of length 88 cm and an aluminium. Copper Rod Of 88 Cm.
From www.aliexpress.com
1pcscopperrodofvarioussizesredmetaldiametercopperroundbar Copper Rod Of 88 Cm A copper rod of 88 cm and an aluminium rod of unknown length have their increase in length independent of increase in temperature. A copper rod of \ ( 88 \mathrm {~cm} \) and an aluminium rod of unknown length have their increase in length, independent of increase. To solve the problem, we need to understand the relationship between the. Copper Rod Of 88 Cm.
From www.alibaba.com
Astm C1100 Pure Copper Bar / Copper Rod Buy Astm C1100 Copper Bar Copper Rod Of 88 Cm A copper rod of length 88 cm and an aluminium rod of unknown length have their increase in length independent of increase in temperature. A copper rod of 88 cm and an aluminium rod of unknown length have their increase in length independent of increase in temperature. A copper rod of \ ( 88 \mathrm {~cm} \) and an aluminium. Copper Rod Of 88 Cm.
From www.toppr.com
A copper rod of 88 cm and an aluminium rod of unknown length have their Copper Rod Of 88 Cm We can solve this question using concept, change in length of any rod due to thermal expansion is. A copper rod of length 88 c m and an aluminium rod of unknown length have their increase in length independent of increase in temperature. A copper rod of \ ( 88 \mathrm {~cm} \) and an aluminium rod of unknown length. Copper Rod Of 88 Cm.
From www.exportersindia.com
Copper Rods Manufacturer & Exporters from Silvassa, India ID 562719 Copper Rod Of 88 Cm We can solve this question using concept, change in length of any rod due to thermal expansion is. To solve the problem, we need to understand the relationship between the change in length of the rods and their. A copper rod of 88 cm and an aluminium rod of unknown length have their increase in length independent of increase in. Copper Rod Of 88 Cm.
From gcal.co.in
Copper Rods/Hex Gujarat Copper Alloys Ltd. Copper Rod Of 88 Cm A copper rod of 88 cm and an aluminium rod of unknown length have their increase in length independent of increase in temperature. A copper rod of length 88 cm and an aluminium rod of unknown length have their increase in length independent of increase in temperature. To solve the problem, we need to understand the relationship between the change. Copper Rod Of 88 Cm.
From www.indiamart.com
Bhushan Alloys Natural Copper Square Rod, For Industrial, Size 2 Mm Copper Rod Of 88 Cm A copper rod of 88 cm and an aluminium rod of unknown length have their increase in length independent of increase in temperature. A copper rod of \ ( 88 \mathrm {~cm} \) and an aluminium rod of unknown length have their increase in length, independent of increase. To solve the problem, we need to understand the relationship between the. Copper Rod Of 88 Cm.
From www.toppr.com
A copper rod of 88 cm and an aluminium rod of unknown length have their Copper Rod Of 88 Cm To solve the problem, we need to understand the relationship between the change in length of the rods and their. A copper rod of \ ( 88 \mathrm {~cm} \) and an aluminium rod of unknown length have their increase in length, independent of increase. A copper rod of 88 cm and an aluminium rod of unknown length have their. Copper Rod Of 88 Cm.
From www.toppr.com
A copper rod of 88 cm and an aluminium rod of unknown length have their Copper Rod Of 88 Cm A copper rod of \ ( 88 \mathrm {~cm} \) and an aluminium rod of unknown length have their increase in length, independent of increase. A copper rod of 88 cm and an aluminium rod of unknown length have their increase in length independent of increase in temperature. A copper rod of 88 cm and an aluminium rod of unknown. Copper Rod Of 88 Cm.
From www.indiamart.com
Round Copper Rod, For Construction, Size/Diameter 2inch(Diameter) at Copper Rod Of 88 Cm A copper rod of length 88 cm and an aluminium rod of unknown length have their increase in length independent of increase in temperature. A copper rod of 88 cm and an aluminium rod of unknown length have their increase in length independent of increase in temperature. A copper rod of length 88 c m and an aluminium rod of. Copper Rod Of 88 Cm.
From www.amazon.co.uk
Copper Rods Amazon.co.uk Copper Rod Of 88 Cm A copper rod of length 88 cm and an aluminium rod of unknown length have their increase in length independent of increase in temperature. We can solve this question using concept, change in length of any rod due to thermal expansion is. To solve the problem, we need to understand the relationship between the change in length of the rods. Copper Rod Of 88 Cm.
From edurev.in
A copper rod of 88 cm and an aluminium rod of unknown length have their Copper Rod Of 88 Cm A copper rod of length 88 c m and an aluminium rod of unknown length have their increase in length independent of increase in temperature. A copper rod of length 88 cm and an aluminium rod of unknown length have their increase in length independent of increase in temperature. To solve the problem, we need to understand the relationship between. Copper Rod Of 88 Cm.
From www.alibaba.com
Copper Rod Upcast/oxygenfree 16mm Copper Rod Astm B49 Standard Round Copper Rod Of 88 Cm We can solve this question using concept, change in length of any rod due to thermal expansion is. A copper rod of length 88 c m and an aluminium rod of unknown length have their increase in length independent of increase in temperature. To solve the problem, we need to understand the relationship between the change in length of the. Copper Rod Of 88 Cm.
From www.toppr.com
A copper rod and a steel rod maintain a difference in their lengths Copper Rod Of 88 Cm A copper rod of length 88 c m and an aluminium rod of unknown length have their increase in length independent of increase in temperature. To solve the problem, we need to understand the relationship between the change in length of the rods and their. A copper rod of length 88 cm and an aluminium rod of unknown length have. Copper Rod Of 88 Cm.
From www.youtube.com
A copper rod of 88 cm and an aluminium rod of unknown length have their Copper Rod Of 88 Cm We can solve this question using concept, change in length of any rod due to thermal expansion is. A copper rod of \ ( 88 \mathrm {~cm} \) and an aluminium rod of unknown length have their increase in length, independent of increase. A copper rod of 88 cm and an aluminium rod of unknown length have their increase in. Copper Rod Of 88 Cm.
From jtcopper.com
Copper Bonded Earthing Rod, Chromium Copper Rod Wire Supplier JINTIAN Copper Rod Of 88 Cm We can solve this question using concept, change in length of any rod due to thermal expansion is. A copper rod of length 88 cm and an aluminium rod of unknown length have their increase in length independent of increase in temperature. A copper rod of 88 cm and an aluminium rod of unknown length have their increase in length. Copper Rod Of 88 Cm.
From www.mciind.in
Solid Copper Rod Manufacturer,Supplier,Wholesaler Copper Rod Of 88 Cm A copper rod of 88 cm and an aluminium rod of unknown length have their increase in length independent of increase in temperature. A copper rod of \ ( 88 \mathrm {~cm} \) and an aluminium rod of unknown length have their increase in length, independent of increase. A copper rod of 88 cm and an aluminium rod of unknown. Copper Rod Of 88 Cm.
From kunduz.com
[ANSWERED] A copper rod of 88 cm and an aluminium rod of unknown length Copper Rod Of 88 Cm A copper rod of \ ( 88 \mathrm {~cm} \) and an aluminium rod of unknown length have their increase in length, independent of increase. To solve the problem, we need to understand the relationship between the change in length of the rods and their. A copper rod of 88 cm and an aluminium rod of unknown length have their. Copper Rod Of 88 Cm.
From www.tradeindia.com
Copper Rod at 450.00 INR in Mumbai, Maharashtra Siddhivinayak Metal Copper Rod Of 88 Cm A copper rod of \ ( 88 \mathrm {~cm} \) and an aluminium rod of unknown length have their increase in length, independent of increase. A copper rod of 88 cm and an aluminium rod of unknown length have their increase in length independent of increase in temperature. A copper rod of length 88 cm and an aluminium rod of. Copper Rod Of 88 Cm.
From www.indiamart.com
Copper Rod at Rs 520/kilogram Tellurium Copper Rods in Pune ID Copper Rod Of 88 Cm We can solve this question using concept, change in length of any rod due to thermal expansion is. A copper rod of length 88 cm and an aluminium rod of unknown length have their increase in length independent of increase in temperature. A copper rod of \ ( 88 \mathrm {~cm} \) and an aluminium rod of unknown length have. Copper Rod Of 88 Cm.
From ar.inspiredpencil.com
Copper Rod Copper Rod Of 88 Cm To solve the problem, we need to understand the relationship between the change in length of the rods and their. A copper rod of \ ( 88 \mathrm {~cm} \) and an aluminium rod of unknown length have their increase in length, independent of increase. A copper rod of length 88 c m and an aluminium rod of unknown length. Copper Rod Of 88 Cm.
From www.xftsteel.com
C1011 Copper rod Copper Bar/Copper Wire rod Copper Xinfutian Copper Rod Of 88 Cm A copper rod of length 88 c m and an aluminium rod of unknown length have their increase in length independent of increase in temperature. A copper rod of length 88 cm and an aluminium rod of unknown length have their increase in length independent of increase in temperature. We can solve this question using concept, change in length of. Copper Rod Of 88 Cm.
From www.etsy.com
Pure Copper Round Bar Copper Rod Milling Welding Metal working Etsy Copper Rod Of 88 Cm A copper rod of 88 cm and an aluminium rod of unknown length have their increase in length independent of increase in temperature. To solve the problem, we need to understand the relationship between the change in length of the rods and their. A copper rod of length 88 cm and an aluminium rod of unknown length have their increase. Copper Rod Of 88 Cm.
From www.elapppower.in
Copper Rod Earthing Copper Rod Manufacturer from Kolkata Copper Rod Of 88 Cm A copper rod of \ ( 88 \mathrm {~cm} \) and an aluminium rod of unknown length have their increase in length, independent of increase. To solve the problem, we need to understand the relationship between the change in length of the rods and their. A copper rod of length 88 c m and an aluminium rod of unknown length. Copper Rod Of 88 Cm.
From www.toppr.com
A copper rod and a steel rod maintain a difference in their lengths Copper Rod Of 88 Cm A copper rod of 88 cm and an aluminium rod of unknown length have their increase in length independent of increase in temperature. We can solve this question using concept, change in length of any rod due to thermal expansion is. A copper rod of length 88 cm and an aluminium rod of unknown length have their increase in length. Copper Rod Of 88 Cm.
From www.tradeindia.com
Copper Rods Grade Industrial at Best Price in Rajkot Jp Copper Copper Rod Of 88 Cm We can solve this question using concept, change in length of any rod due to thermal expansion is. To solve the problem, we need to understand the relationship between the change in length of the rods and their. A copper rod of \ ( 88 \mathrm {~cm} \) and an aluminium rod of unknown length have their increase in length,. Copper Rod Of 88 Cm.
From byjus.com
A copper rod of 88 cm and an aluminium rod of unknown length have their Copper Rod Of 88 Cm A copper rod of length 88 c m and an aluminium rod of unknown length have their increase in length independent of increase in temperature. A copper rod of \ ( 88 \mathrm {~cm} \) and an aluminium rod of unknown length have their increase in length, independent of increase. A copper rod of 88 cm and an aluminium rod. Copper Rod Of 88 Cm.
From www.bedra.in
Pure Copper Rods Manufacturer,Pure Brass Wire Exporter in Worldwide Copper Rod Of 88 Cm A copper rod of 88 cm and an aluminium rod of unknown length have their increase in length independent of increase in temperature. To solve the problem, we need to understand the relationship between the change in length of the rods and their. A copper rod of length 88 c m and an aluminium rod of unknown length have their. Copper Rod Of 88 Cm.
From blog.thepipingmart.com
Understanding the Mass of Copper Copper Rod Of 88 Cm We can solve this question using concept, change in length of any rod due to thermal expansion is. A copper rod of length 88 c m and an aluminium rod of unknown length have their increase in length independent of increase in temperature. A copper rod of 88 cm and an aluminium rod of unknown length have their increase in. Copper Rod Of 88 Cm.
From gcal.co.in
Copper Rods/Hex Gujarat Copper Alloys Ltd. Copper Rod Of 88 Cm A copper rod of \ ( 88 \mathrm {~cm} \) and an aluminium rod of unknown length have their increase in length, independent of increase. A copper rod of length 88 cm and an aluminium rod of unknown length have their increase in length independent of increase in temperature. A copper rod of 88 cm and an aluminium rod of. Copper Rod Of 88 Cm.
From tr.aliexpress.com
5pcs Copper Rods 4mm*100mm Pure Copper Copper Metal Rod Cylinder Cu Copper Rod Of 88 Cm A copper rod of length 88 c m and an aluminium rod of unknown length have their increase in length independent of increase in temperature. A copper rod of length 88 cm and an aluminium rod of unknown length have their increase in length independent of increase in temperature. A copper rod of \ ( 88 \mathrm {~cm} \) and. Copper Rod Of 88 Cm.
From www.toppr.com
A copper rod and a steel rod maintain a difference in their lengths Copper Rod Of 88 Cm A copper rod of length 88 c m and an aluminium rod of unknown length have their increase in length independent of increase in temperature. A copper rod of \ ( 88 \mathrm {~cm} \) and an aluminium rod of unknown length have their increase in length, independent of increase. A copper rod of length 88 cm and an aluminium. Copper Rod Of 88 Cm.
From www.toppr.com
A copper rod of 88 cm and an aluminium rod of unknown length have their Copper Rod Of 88 Cm To solve the problem, we need to understand the relationship between the change in length of the rods and their. A copper rod of \ ( 88 \mathrm {~cm} \) and an aluminium rod of unknown length have their increase in length, independent of increase. A copper rod of length 88 cm and an aluminium rod of unknown length have. Copper Rod Of 88 Cm.
From www.indiamart.com
Grade A Round Copper Rod, For Construction, Size/Diameter 2mm at Rs Copper Rod Of 88 Cm A copper rod of \ ( 88 \mathrm {~cm} \) and an aluminium rod of unknown length have their increase in length, independent of increase. A copper rod of 88 cm and an aluminium rod of unknown length have their increase in length independent of increase in temperature. We can solve this question using concept, change in length of any. Copper Rod Of 88 Cm.