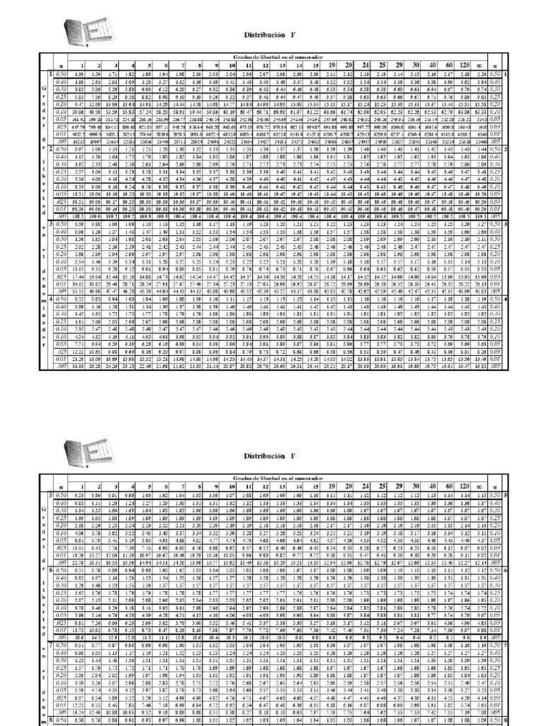
Tabla Distribucion F 0.05 . This table contains the upper critical values of the f distribution. This table shows the f critical value based on the degrees of freedom in the numerator and denominator in the f ratio and the level of. = degrees of freedom in denominator α = 0.005 d.f.n. How to use this table: There are two tables here. 1 2 3 4 5 6 7. For example, to determine the.05 critical value for an f distribution with 10 and 12 degrees of freedom, look in the 10 column. This table is very useful for finding critical values of the f distribution. Table of critical values for the f distribution (for use with anova): F distribution table 1 d.f.n. = degrees of freedom in numerator d.f.d. F distribution table with alpha 0.05 for students.
from www.studocu.com
This table is very useful for finding critical values of the f distribution. = degrees of freedom in denominator α = 0.005 d.f.n. For example, to determine the.05 critical value for an f distribution with 10 and 12 degrees of freedom, look in the 10 column. Table of critical values for the f distribution (for use with anova): = degrees of freedom in numerator d.f.d. This table contains the upper critical values of the f distribution. There are two tables here. This table shows the f critical value based on the degrees of freedom in the numerator and denominator in the f ratio and the level of. F distribution table with alpha 0.05 for students. How to use this table:
Tablas F Valores críticos de la distribución F en un nivel de
Tabla Distribucion F 0.05 How to use this table: 1 2 3 4 5 6 7. = degrees of freedom in denominator α = 0.005 d.f.n. F distribution table with alpha 0.05 for students. There are two tables here. = degrees of freedom in numerator d.f.d. This table shows the f critical value based on the degrees of freedom in the numerator and denominator in the f ratio and the level of. This table is very useful for finding critical values of the f distribution. For example, to determine the.05 critical value for an f distribution with 10 and 12 degrees of freedom, look in the 10 column. Table of critical values for the f distribution (for use with anova): This table contains the upper critical values of the f distribution. How to use this table: F distribution table 1 d.f.n.
From es.scribd.com
TABLAS DE DISTRIBUCIÓN F PDF Tabla Distribucion F 0.05 F distribution table 1 d.f.n. There are two tables here. How to use this table: This table is very useful for finding critical values of the f distribution. Table of critical values for the f distribution (for use with anova): 1 2 3 4 5 6 7. For example, to determine the.05 critical value for an f distribution with 10. Tabla Distribucion F 0.05.
From statologos.com
Cómo leer la tabla de distribución F Statologos® 2024 Tabla Distribucion F 0.05 F distribution table 1 d.f.n. This table contains the upper critical values of the f distribution. There are two tables here. = degrees of freedom in denominator α = 0.005 d.f.n. 1 2 3 4 5 6 7. This table is very useful for finding critical values of the f distribution. Table of critical values for the f distribution (for. Tabla Distribucion F 0.05.
From www.udocz.com
Tabla F Fisher tablasytemas10 uDocz Tabla Distribucion F 0.05 = degrees of freedom in numerator d.f.d. F distribution table 1 d.f.n. This table is very useful for finding critical values of the f distribution. Table of critical values for the f distribution (for use with anova): There are two tables here. This table contains the upper critical values of the f distribution. = degrees of freedom in denominator α. Tabla Distribucion F 0.05.
From estadisticalidia.com
Tema 7, parte 2 Distribuciones continuas de probabilidad Estadística Tabla Distribucion F 0.05 This table is very useful for finding critical values of the f distribution. How to use this table: = degrees of freedom in denominator α = 0.005 d.f.n. 1 2 3 4 5 6 7. For example, to determine the.05 critical value for an f distribution with 10 and 12 degrees of freedom, look in the 10 column. F distribution. Tabla Distribucion F 0.05.
From www.academia.edu
(PDF) Tabel Distribusi F Johan Mana Academia.edu Tabla Distribucion F 0.05 This table shows the f critical value based on the degrees of freedom in the numerator and denominator in the f ratio and the level of. There are two tables here. F distribution table with alpha 0.05 for students. F distribution table 1 d.f.n. 1 2 3 4 5 6 7. = degrees of freedom in denominator α = 0.005. Tabla Distribucion F 0.05.
From es.scribd.com
7 Tablas Distribucion F PDF Teoría estadística Probabilidad Tabla Distribucion F 0.05 = degrees of freedom in denominator α = 0.005 d.f.n. How to use this table: F distribution table 1 d.f.n. For example, to determine the.05 critical value for an f distribution with 10 and 12 degrees of freedom, look in the 10 column. This table contains the upper critical values of the f distribution. Table of critical values for the. Tabla Distribucion F 0.05.
From es.slideshare.net
Tablas Tabla Distribucion F 0.05 = degrees of freedom in denominator α = 0.005 d.f.n. Table of critical values for the f distribution (for use with anova): This table contains the upper critical values of the f distribution. How to use this table: F distribution table 1 d.f.n. = degrees of freedom in numerator d.f.d. There are two tables here. For example, to determine the.05. Tabla Distribucion F 0.05.
From www.studocu.com
Tabla de la distribución F de Snedecor Tabla de la F de Snedecor. 4 Tabla Distribucion F 0.05 This table is very useful for finding critical values of the f distribution. 1 2 3 4 5 6 7. F distribution table 1 d.f.n. F distribution table with alpha 0.05 for students. = degrees of freedom in denominator α = 0.005 d.f.n. There are two tables here. For example, to determine the.05 critical value for an f distribution with. Tabla Distribucion F 0.05.
From www.studocu.com
Tabla F Snedecor ggive information PERCENTIL 90 DE LA DISTRIBUCIÓN Tabla Distribucion F 0.05 How to use this table: There are two tables here. Table of critical values for the f distribution (for use with anova): = degrees of freedom in denominator α = 0.005 d.f.n. This table is very useful for finding critical values of the f distribution. This table shows the f critical value based on the degrees of freedom in the. Tabla Distribucion F 0.05.
From www.scribd.com
Distribución F, Alfa 0.01 PDF Probabilidad Teorías cientificas Tabla Distribucion F 0.05 = degrees of freedom in numerator d.f.d. There are two tables here. This table is very useful for finding critical values of the f distribution. How to use this table: = degrees of freedom in denominator α = 0.005 d.f.n. F distribution table 1 d.f.n. For example, to determine the.05 critical value for an f distribution with 10 and 12. Tabla Distribucion F 0.05.
From www.scribd.com
Tabla Distribución F PDF Tabla Distribucion F 0.05 This table is very useful for finding critical values of the f distribution. Table of critical values for the f distribution (for use with anova): For example, to determine the.05 critical value for an f distribution with 10 and 12 degrees of freedom, look in the 10 column. 1 2 3 4 5 6 7. This table shows the f. Tabla Distribucion F 0.05.
From studylib.es
Tabla D.9 VALORES CRÍTICOS DE LA DISTRIBUCIÓN F (0,05) Tabla Distribucion F 0.05 For example, to determine the.05 critical value for an f distribution with 10 and 12 degrees of freedom, look in the 10 column. F distribution table with alpha 0.05 for students. How to use this table: 1 2 3 4 5 6 7. This table contains the upper critical values of the f distribution. = degrees of freedom in denominator. Tabla Distribucion F 0.05.
From es.scribd.com
Tablas de Distribución F PDF Tabla Distribucion F 0.05 How to use this table: This table shows the f critical value based on the degrees of freedom in the numerator and denominator in the f ratio and the level of. F distribution table 1 d.f.n. Table of critical values for the f distribution (for use with anova): 1 2 3 4 5 6 7. For example, to determine the.05. Tabla Distribucion F 0.05.
From www.scribd.com
Tabla de La Distribución F PDF Tabla Distribucion F 0.05 This table shows the f critical value based on the degrees of freedom in the numerator and denominator in the f ratio and the level of. For example, to determine the.05 critical value for an f distribution with 10 and 12 degrees of freedom, look in the 10 column. F distribution table with alpha 0.05 for students. Table of critical. Tabla Distribucion F 0.05.
From www.es.scribd.com
Tablas Distribucion F de Fisher PDF Teoría estadística Tabla Distribucion F 0.05 This table shows the f critical value based on the degrees of freedom in the numerator and denominator in the f ratio and the level of. = degrees of freedom in numerator d.f.d. This table contains the upper critical values of the f distribution. 1 2 3 4 5 6 7. How to use this table: = degrees of freedom. Tabla Distribucion F 0.05.
From es.scribd.com
Tabla 4 Distribución F de Fisher PDF Tabla Distribucion F 0.05 How to use this table: For example, to determine the.05 critical value for an f distribution with 10 and 12 degrees of freedom, look in the 10 column. 1 2 3 4 5 6 7. = degrees of freedom in numerator d.f.d. This table is very useful for finding critical values of the f distribution. This table shows the f. Tabla Distribucion F 0.05.
From www.studocu.com
Tabla distribucion F En las columnas se encuentran los valores F que Tabla Distribucion F 0.05 Table of critical values for the f distribution (for use with anova): For example, to determine the.05 critical value for an f distribution with 10 and 12 degrees of freedom, look in the 10 column. This table is very useful for finding critical values of the f distribution. This table shows the f critical value based on the degrees of. Tabla Distribucion F 0.05.
From linkdeingenieria.blogspot.com
Link de Ingenieria Como leer la tabla de la distribución F. Tabla Distribucion F 0.05 This table shows the f critical value based on the degrees of freedom in the numerator and denominator in the f ratio and the level of. F distribution table 1 d.f.n. = degrees of freedom in numerator d.f.d. F distribution table with alpha 0.05 for students. This table contains the upper critical values of the f distribution. This table is. Tabla Distribucion F 0.05.
From www.slideshare.net
Distribucion f Tabla Distribucion F 0.05 1 2 3 4 5 6 7. There are two tables here. For example, to determine the.05 critical value for an f distribution with 10 and 12 degrees of freedom, look in the 10 column. = degrees of freedom in numerator d.f.d. F distribution table with alpha 0.05 for students. F distribution table 1 d.f.n. How to use this table:. Tabla Distribucion F 0.05.
From es.scribd.com
Tabla F Con 0.025 de Significancia PDF PDF Teoría estadística Tabla Distribucion F 0.05 This table contains the upper critical values of the f distribution. 1 2 3 4 5 6 7. How to use this table: This table is very useful for finding critical values of the f distribution. This table shows the f critical value based on the degrees of freedom in the numerator and denominator in the f ratio and the. Tabla Distribucion F 0.05.
From studylib.es
Tabla 5. VALORES F DE LA DISTRIBUCIÓN F DE FISHER 1 Tabla Distribucion F 0.05 How to use this table: = degrees of freedom in denominator α = 0.005 d.f.n. Table of critical values for the f distribution (for use with anova): This table is very useful for finding critical values of the f distribution. This table contains the upper critical values of the f distribution. This table shows the f critical value based on. Tabla Distribucion F 0.05.
From www.scribd.com
Tablas de la distribución F PDF Tabla Distribucion F 0.05 This table contains the upper critical values of the f distribution. For example, to determine the.05 critical value for an f distribution with 10 and 12 degrees of freedom, look in the 10 column. F distribution table with alpha 0.05 for students. = degrees of freedom in numerator d.f.d. Table of critical values for the f distribution (for use with. Tabla Distribucion F 0.05.
From mrmramosminferencial.blogspot.com
ESTADÍSTICA INFERENCIAL ANÁLISIS DE VARIANZA Tabla Distribucion F 0.05 Table of critical values for the f distribution (for use with anova): How to use this table: = degrees of freedom in denominator α = 0.005 d.f.n. F distribution table 1 d.f.n. = degrees of freedom in numerator d.f.d. There are two tables here. For example, to determine the.05 critical value for an f distribution with 10 and 12 degrees. Tabla Distribucion F 0.05.
From www.studocu.com
Tabla Distribucion F 0 Apuntes de estadística aplicada Distribuci Tabla Distribucion F 0.05 = degrees of freedom in denominator α = 0.005 d.f.n. F distribution table with alpha 0.05 for students. F distribution table 1 d.f.n. This table is very useful for finding critical values of the f distribution. For example, to determine the.05 critical value for an f distribution with 10 and 12 degrees of freedom, look in the 10 column. =. Tabla Distribucion F 0.05.
From www.studocu.com
Tabla f de fisher 0.1 Estadística II Studocu Tabla Distribucion F 0.05 = degrees of freedom in numerator d.f.d. Table of critical values for the f distribution (for use with anova): F distribution table with alpha 0.05 for students. F distribution table 1 d.f.n. This table is very useful for finding critical values of the f distribution. There are two tables here. This table shows the f critical value based on the. Tabla Distribucion F 0.05.
From www.studocu.com
Tablas F Valores críticos de la distribución F en un nivel de Tabla Distribucion F 0.05 = degrees of freedom in numerator d.f.d. = degrees of freedom in denominator α = 0.005 d.f.n. F distribution table with alpha 0.05 for students. F distribution table 1 d.f.n. This table shows the f critical value based on the degrees of freedom in the numerator and denominator in the f ratio and the level of. Table of critical values. Tabla Distribucion F 0.05.
From www.studocu.com
Tabla de F ( una y dos colas alfa 0,05) ESTADISTICA Tabla de F Tabla Distribucion F 0.05 1 2 3 4 5 6 7. Table of critical values for the f distribution (for use with anova): How to use this table: = degrees of freedom in denominator α = 0.005 d.f.n. F distribution table 1 d.f.n. For example, to determine the.05 critical value for an f distribution with 10 and 12 degrees of freedom, look in the. Tabla Distribucion F 0.05.
From www.studocu.com
Tabla de la distribución F (0 Como leer la tabla de distribución F La Tabla Distribucion F 0.05 = degrees of freedom in numerator d.f.d. This table is very useful for finding critical values of the f distribution. For example, to determine the.05 critical value for an f distribution with 10 and 12 degrees of freedom, look in the 10 column. How to use this table: This table contains the upper critical values of the f distribution. Table. Tabla Distribucion F 0.05.
From www.academia.edu
(PDF) tablas de distribución F .05 .01F nacho david Academia.edu Tabla Distribucion F 0.05 How to use this table: F distribution table with alpha 0.05 for students. This table is very useful for finding critical values of the f distribution. This table contains the upper critical values of the f distribution. = degrees of freedom in denominator α = 0.005 d.f.n. There are two tables here. For example, to determine the.05 critical value for. Tabla Distribucion F 0.05.
From www.studocu.com
TablaF1 tabla para ejercicios Tabla A Valores críticos de la Tabla Distribucion F 0.05 F distribution table 1 d.f.n. = degrees of freedom in denominator α = 0.005 d.f.n. Table of critical values for the f distribution (for use with anova): There are two tables here. This table contains the upper critical values of the f distribution. For example, to determine the.05 critical value for an f distribution with 10 and 12 degrees of. Tabla Distribucion F 0.05.
From www.studocu.com
Tabla de la distribución normal TABLA DE LA DISTRIBUCIÓN NORMAL P Z z Tabla Distribucion F 0.05 This table is very useful for finding critical values of the f distribution. How to use this table: F distribution table 1 d.f.n. Table of critical values for the f distribution (for use with anova): = degrees of freedom in numerator d.f.d. For example, to determine the.05 critical value for an f distribution with 10 and 12 degrees of freedom,. Tabla Distribucion F 0.05.
From www.planillaexcel.com
Planilla de Excel de Distribución F Tabla Distribucion F 0.05 F distribution table 1 d.f.n. This table shows the f critical value based on the degrees of freedom in the numerator and denominator in the f ratio and the level of. = degrees of freedom in numerator d.f.d. This table is very useful for finding critical values of the f distribution. For example, to determine the.05 critical value for an. Tabla Distribucion F 0.05.
From www.youtube.com
Uso de la tabla de distribución F y presentación de algunos ejemplos Tabla Distribucion F 0.05 For example, to determine the.05 critical value for an f distribution with 10 and 12 degrees of freedom, look in the 10 column. This table is very useful for finding critical values of the f distribution. Table of critical values for the f distribution (for use with anova): = degrees of freedom in denominator α = 0.005 d.f.n. This table. Tabla Distribucion F 0.05.
From www.scribd.com
Tabla de distribución F.pdf Tabla Distribucion F 0.05 For example, to determine the.05 critical value for an f distribution with 10 and 12 degrees of freedom, look in the 10 column. This table shows the f critical value based on the degrees of freedom in the numerator and denominator in the f ratio and the level of. There are two tables here. How to use this table: F. Tabla Distribucion F 0.05.
From www.scribd.com
Tabla Distribucion F Tabla Distribucion F 0.05 = degrees of freedom in numerator d.f.d. Table of critical values for the f distribution (for use with anova): For example, to determine the.05 critical value for an f distribution with 10 and 12 degrees of freedom, look in the 10 column. This table is very useful for finding critical values of the f distribution. This table shows the f. Tabla Distribucion F 0.05.