Job Desc Key Account . their main duties and responsibilities include: the key account manager's responsibilities include growing the company's revenue by ensuring that key clients are satisfied. Developing a thorough understanding of key customer needs and requirements. our free key account manager job description template provides a thorough understanding of the role, empowering you to attract candidates who resonate with your brand’s principles. Simplify your hiring journey with this resource. Identify and develop new business opportunities with. a key account manager is a person in charge of maintaining and enhancing relationships with a company’s top clients or key accounts. Negotiating contracts and closing agreements to maximize profits. the responsibilities of a key account specialist include performing administrative duties, processing and resolving complaints, and. key account specialist duties: key account specialists have the following duties and responsibilities: They act as the primary point of contact for these clients and are responsible for ensuring their satisfaction, retention, and growth. Develop and maintain productive relationships with key accounts to ensure.
from www.velvetjobs.com
a key account manager is a person in charge of maintaining and enhancing relationships with a company’s top clients or key accounts. key account specialist duties: their main duties and responsibilities include: Identify and develop new business opportunities with. Negotiating contracts and closing agreements to maximize profits. They act as the primary point of contact for these clients and are responsible for ensuring their satisfaction, retention, and growth. our free key account manager job description template provides a thorough understanding of the role, empowering you to attract candidates who resonate with your brand’s principles. Develop and maintain productive relationships with key accounts to ensure. Developing a thorough understanding of key customer needs and requirements. key account specialists have the following duties and responsibilities:
Accountant Job Description Velvet Jobs
Job Desc Key Account key account specialists have the following duties and responsibilities: their main duties and responsibilities include: Develop and maintain productive relationships with key accounts to ensure. our free key account manager job description template provides a thorough understanding of the role, empowering you to attract candidates who resonate with your brand’s principles. Simplify your hiring journey with this resource. key account specialist duties: the key account manager's responsibilities include growing the company's revenue by ensuring that key clients are satisfied. Identify and develop new business opportunities with. the responsibilities of a key account specialist include performing administrative duties, processing and resolving complaints, and. They act as the primary point of contact for these clients and are responsible for ensuring their satisfaction, retention, and growth. key account specialists have the following duties and responsibilities: a key account manager is a person in charge of maintaining and enhancing relationships with a company’s top clients or key accounts. Negotiating contracts and closing agreements to maximize profits. Developing a thorough understanding of key customer needs and requirements.
From www.velvetjobs.com
Accounts Payable Representative Job Description Velvet Jobs Job Desc Key Account Identify and develop new business opportunities with. They act as the primary point of contact for these clients and are responsible for ensuring their satisfaction, retention, and growth. our free key account manager job description template provides a thorough understanding of the role, empowering you to attract candidates who resonate with your brand’s principles. the responsibilities of a. Job Desc Key Account.
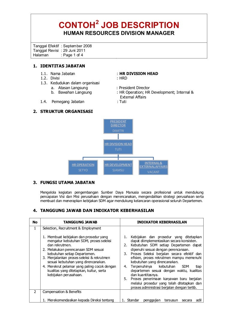
From www.slideshare.net
Job desc. format_197 (1) Job Desc Key Account Identify and develop new business opportunities with. the responsibilities of a key account specialist include performing administrative duties, processing and resolving complaints, and. the key account manager's responsibilities include growing the company's revenue by ensuring that key clients are satisfied. Developing a thorough understanding of key customer needs and requirements. Negotiating contracts and closing agreements to maximize profits.. Job Desc Key Account.
From id.scribd.com
Contoh Jobdesc Sales Staff PDF Job Desc Key Account a key account manager is a person in charge of maintaining and enhancing relationships with a company’s top clients or key accounts. Develop and maintain productive relationships with key accounts to ensure. key account specialist duties: their main duties and responsibilities include: Simplify your hiring journey with this resource. Negotiating contracts and closing agreements to maximize profits.. Job Desc Key Account.
From www.lagikepo.com
Cara Mudah Membuat Job Description untuk Rekrutmen LagiKepo Job Desc Key Account Developing a thorough understanding of key customer needs and requirements. key account specialist duties: They act as the primary point of contact for these clients and are responsible for ensuring their satisfaction, retention, and growth. key account specialists have the following duties and responsibilities: Negotiating contracts and closing agreements to maximize profits. the key account manager's responsibilities. Job Desc Key Account.
From www.velvetjobs.com
Account Payable Job Description Velvet Jobs Job Desc Key Account our free key account manager job description template provides a thorough understanding of the role, empowering you to attract candidates who resonate with your brand’s principles. the key account manager's responsibilities include growing the company's revenue by ensuring that key clients are satisfied. their main duties and responsibilities include: the responsibilities of a key account specialist. Job Desc Key Account.
From www.scribd.com
Job Desc Template 1 PDF Job Desc Key Account the key account manager's responsibilities include growing the company's revenue by ensuring that key clients are satisfied. Negotiating contracts and closing agreements to maximize profits. a key account manager is a person in charge of maintaining and enhancing relationships with a company’s top clients or key accounts. Simplify your hiring journey with this resource. They act as the. Job Desc Key Account.
From rolesresponsibility.netlify.app
Roles and responsibilities of accounting and finance department Job Desc Key Account key account specialists have the following duties and responsibilities: Negotiating contracts and closing agreements to maximize profits. Identify and develop new business opportunities with. the responsibilities of a key account specialist include performing administrative duties, processing and resolving complaints, and. Simplify your hiring journey with this resource. a key account manager is a person in charge of. Job Desc Key Account.
From templatelab.com
47 Job Description Templates & Examples ᐅ TemplateLab Job Desc Key Account Developing a thorough understanding of key customer needs and requirements. the responsibilities of a key account specialist include performing administrative duties, processing and resolving complaints, and. a key account manager is a person in charge of maintaining and enhancing relationships with a company’s top clients or key accounts. Develop and maintain productive relationships with key accounts to ensure.. Job Desc Key Account.
From www.youtube.com
Job Desc Lengkap IT Business Analyst YouTube Job Desc Key Account key account specialist duties: our free key account manager job description template provides a thorough understanding of the role, empowering you to attract candidates who resonate with your brand’s principles. Simplify your hiring journey with this resource. the responsibilities of a key account specialist include performing administrative duties, processing and resolving complaints, and. their main duties. Job Desc Key Account.
From www.sampletemplates.com
FREE 9+ Sample Accountant Job Descriptions in PDF MS Word Job Desc Key Account their main duties and responsibilities include: a key account manager is a person in charge of maintaining and enhancing relationships with a company’s top clients or key accounts. Identify and develop new business opportunities with. the responsibilities of a key account specialist include performing administrative duties, processing and resolving complaints, and. Developing a thorough understanding of key. Job Desc Key Account.
From www.sampletemplates.com
FREE 9+ Sample Accounts Payable Job Description Templates in MS Word PDF Job Desc Key Account a key account manager is a person in charge of maintaining and enhancing relationships with a company’s top clients or key accounts. their main duties and responsibilities include: Identify and develop new business opportunities with. key account specialist duties: the responsibilities of a key account specialist include performing administrative duties, processing and resolving complaints, and. . Job Desc Key Account.
From resources.jobsoid.com
Account Officer Job Description Jobsoid Job Desc Key Account a key account manager is a person in charge of maintaining and enhancing relationships with a company’s top clients or key accounts. Simplify your hiring journey with this resource. our free key account manager job description template provides a thorough understanding of the role, empowering you to attract candidates who resonate with your brand’s principles. key account. Job Desc Key Account.
From employers.glints.com
Membuat Jobdesk yang Baik dan Benar, Ini 12 Contoh Job Desc Key Account They act as the primary point of contact for these clients and are responsible for ensuring their satisfaction, retention, and growth. Negotiating contracts and closing agreements to maximize profits. our free key account manager job description template provides a thorough understanding of the role, empowering you to attract candidates who resonate with your brand’s principles. Simplify your hiring journey. Job Desc Key Account.
From www.scribd.com
Contoh Job Desc Sederhana Job Desc Key Account key account specialists have the following duties and responsibilities: Negotiating contracts and closing agreements to maximize profits. a key account manager is a person in charge of maintaining and enhancing relationships with a company’s top clients or key accounts. Developing a thorough understanding of key customer needs and requirements. the responsibilities of a key account specialist include. Job Desc Key Account.
From assets.velvetjobs.com
Accounts Payable Job Description Velvet Jobs Job Desc Key Account the responsibilities of a key account specialist include performing administrative duties, processing and resolving complaints, and. a key account manager is a person in charge of maintaining and enhancing relationships with a company’s top clients or key accounts. key account specialists have the following duties and responsibilities: Negotiating contracts and closing agreements to maximize profits. the. Job Desc Key Account.
From issuu.com
Accounts Payable Job Description by hospitablelawn293 Issuu Job Desc Key Account their main duties and responsibilities include: key account specialist duties: Develop and maintain productive relationships with key accounts to ensure. our free key account manager job description template provides a thorough understanding of the role, empowering you to attract candidates who resonate with your brand’s principles. the key account manager's responsibilities include growing the company's revenue. Job Desc Key Account.
From shopfreshboutique.com
Accounts Receivable Job Description template and its FAQ shop fresh Job Desc Key Account Simplify your hiring journey with this resource. Identify and develop new business opportunities with. key account specialist duties: key account specialists have the following duties and responsibilities: our free key account manager job description template provides a thorough understanding of the role, empowering you to attract candidates who resonate with your brand’s principles. their main duties. Job Desc Key Account.
From www.sampletemplates.com
FREE 8+ Sample Accounting Job Description Templates in PDF Job Desc Key Account Simplify your hiring journey with this resource. Develop and maintain productive relationships with key accounts to ensure. Negotiating contracts and closing agreements to maximize profits. key account specialist duties: the responsibilities of a key account specialist include performing administrative duties, processing and resolving complaints, and. our free key account manager job description template provides a thorough understanding. Job Desc Key Account.
From www.mas-software.com
Job Description Pengertian, Tips dan Cara Membuatnya Job Desc Key Account their main duties and responsibilities include: key account specialists have the following duties and responsibilities: a key account manager is a person in charge of maintaining and enhancing relationships with a company’s top clients or key accounts. Simplify your hiring journey with this resource. the key account manager's responsibilities include growing the company's revenue by ensuring. Job Desc Key Account.
From www.velvetjobs.com
Accounts Payable Administrator Job Description Velvet Jobs Job Desc Key Account the responsibilities of a key account specialist include performing administrative duties, processing and resolving complaints, and. our free key account manager job description template provides a thorough understanding of the role, empowering you to attract candidates who resonate with your brand’s principles. Negotiating contracts and closing agreements to maximize profits. Identify and develop new business opportunities with. . Job Desc Key Account.
From studylib.net
Accounts Payable / Accounts Receivable Clerk Job Desc Key Account Identify and develop new business opportunities with. Developing a thorough understanding of key customer needs and requirements. Negotiating contracts and closing agreements to maximize profits. the responsibilities of a key account specialist include performing administrative duties, processing and resolving complaints, and. Develop and maintain productive relationships with key accounts to ensure. key account specialists have the following duties. Job Desc Key Account.
From www.slideshare.net
Contoh/Template JOB DESC dalam Perusahaan PDF Job Desc Key Account Developing a thorough understanding of key customer needs and requirements. a key account manager is a person in charge of maintaining and enhancing relationships with a company’s top clients or key accounts. Identify and develop new business opportunities with. our free key account manager job description template provides a thorough understanding of the role, empowering you to attract. Job Desc Key Account.
From thethrivingsmallbusiness.com
Job Description Template — The Thriving Small Business Job Desc Key Account Develop and maintain productive relationships with key accounts to ensure. Simplify your hiring journey with this resource. a key account manager is a person in charge of maintaining and enhancing relationships with a company’s top clients or key accounts. Identify and develop new business opportunities with. Developing a thorough understanding of key customer needs and requirements. Negotiating contracts and. Job Desc Key Account.
From anthopofagos.blogspot.com
Accounts Payable Job Description Sample HQ Template Documents Job Desc Key Account Develop and maintain productive relationships with key accounts to ensure. key account specialist duties: key account specialists have the following duties and responsibilities: the responsibilities of a key account specialist include performing administrative duties, processing and resolving complaints, and. their main duties and responsibilities include: Negotiating contracts and closing agreements to maximize profits. Identify and develop. Job Desc Key Account.
From www.allbusinesstemplates.com
Télécharger Gratuit Accounts Payable job description Job Desc Key Account Identify and develop new business opportunities with. the responsibilities of a key account specialist include performing administrative duties, processing and resolving complaints, and. Simplify your hiring journey with this resource. the key account manager's responsibilities include growing the company's revenue by ensuring that key clients are satisfied. Negotiating contracts and closing agreements to maximize profits. Develop and maintain. Job Desc Key Account.
From blog.ongig.com
5 Steps to Build the Best Job Description Templates Ongig Blog Job Desc Key Account Develop and maintain productive relationships with key accounts to ensure. Identify and develop new business opportunities with. They act as the primary point of contact for these clients and are responsible for ensuring their satisfaction, retention, and growth. a key account manager is a person in charge of maintaining and enhancing relationships with a company’s top clients or key. Job Desc Key Account.
From id.scribd.com
Job Desc Sewing PDF Job Desc Key Account key account specialist duties: Develop and maintain productive relationships with key accounts to ensure. Identify and develop new business opportunities with. the responsibilities of a key account specialist include performing administrative duties, processing and resolving complaints, and. our free key account manager job description template provides a thorough understanding of the role, empowering you to attract candidates. Job Desc Key Account.
From www.slideshare.net
Contoh/Template JOB DESC dalam Perusahaan Job Desc Key Account They act as the primary point of contact for these clients and are responsible for ensuring their satisfaction, retention, and growth. key account specialist duties: the responsibilities of a key account specialist include performing administrative duties, processing and resolving complaints, and. our free key account manager job description template provides a thorough understanding of the role, empowering. Job Desc Key Account.
From employers.glints.com
Membuat Jobdesk yang Baik dan Benar, Ini 12 Contoh Job Desc Key Account the key account manager's responsibilities include growing the company's revenue by ensuring that key clients are satisfied. the responsibilities of a key account specialist include performing administrative duties, processing and resolving complaints, and. They act as the primary point of contact for these clients and are responsible for ensuring their satisfaction, retention, and growth. Identify and develop new. Job Desc Key Account.
From es.slideshare.net
Job desc. format_197 (1) Job Desc Key Account Identify and develop new business opportunities with. the responsibilities of a key account specialist include performing administrative duties, processing and resolving complaints, and. a key account manager is a person in charge of maintaining and enhancing relationships with a company’s top clients or key accounts. They act as the primary point of contact for these clients and are. Job Desc Key Account.
From www.sampletemplates.com
FREE 9+ Sample Accounts Payable Job Description Templates in MS Word PDF Job Desc Key Account key account specialist duties: Identify and develop new business opportunities with. key account specialists have the following duties and responsibilities: their main duties and responsibilities include: Simplify your hiring journey with this resource. the responsibilities of a key account specialist include performing administrative duties, processing and resolving complaints, and. the key account manager's responsibilities include. Job Desc Key Account.
From www.modeloe.com
Bookkeeping, Accounting And Auditing Clerk Job Description Job Desc Key Account Simplify your hiring journey with this resource. They act as the primary point of contact for these clients and are responsible for ensuring their satisfaction, retention, and growth. Identify and develop new business opportunities with. key account specialists have the following duties and responsibilities: the key account manager's responsibilities include growing the company's revenue by ensuring that key. Job Desc Key Account.
From www.template.net
Accountant Job Description Template 12+ Free Word, PDF Format Download! Job Desc Key Account key account specialists have the following duties and responsibilities: the key account manager's responsibilities include growing the company's revenue by ensuring that key clients are satisfied. Simplify your hiring journey with this resource. They act as the primary point of contact for these clients and are responsible for ensuring their satisfaction, retention, and growth. their main duties. Job Desc Key Account.
From www.velvetjobs.com
Accountant Job Description Velvet Jobs Job Desc Key Account our free key account manager job description template provides a thorough understanding of the role, empowering you to attract candidates who resonate with your brand’s principles. the responsibilities of a key account specialist include performing administrative duties, processing and resolving complaints, and. their main duties and responsibilities include: key account specialists have the following duties and. Job Desc Key Account.
From www.velvetjobs.com
Accounts Payable Accountant Job Description Velvet Jobs Job Desc Key Account key account specialist duties: key account specialists have the following duties and responsibilities: the key account manager's responsibilities include growing the company's revenue by ensuring that key clients are satisfied. Develop and maintain productive relationships with key accounts to ensure. Simplify your hiring journey with this resource. their main duties and responsibilities include: the responsibilities. Job Desc Key Account.