Dry Adiabatic Rate Definition Quizlet . The dar is a constant value, that is,. Rate of temperature change when saturated air is lifted. If the air is dry, the rate of temperature change is called the dry adiabatic rate (dar). The rate of expansion cooling for dry air is very close to 10 c/km or 30 f/mi and is called the dry adiabatic lapse rate (dalr). If the air is dry, the rate of temperature change is 1 o c/100 meters and is called the dry adiabatic rate (dar). The wet adiabatic rate = temperature of rising air. The dry adiabatic lapse rate defines how temperature decreases with altitude in unsaturated air. If the air is saturated, the rate of temperature change is.6 o. Study with quizlet and memorize. Define moist adiabatic lapse rate. What is the difference between the wet adiabatic lapse rate and the dry adiabatic lapse rate?
from www.slideserve.com
The wet adiabatic rate = temperature of rising air. If the air is saturated, the rate of temperature change is.6 o. The dry adiabatic lapse rate defines how temperature decreases with altitude in unsaturated air. If the air is dry, the rate of temperature change is called the dry adiabatic rate (dar). Rate of temperature change when saturated air is lifted. The rate of expansion cooling for dry air is very close to 10 c/km or 30 f/mi and is called the dry adiabatic lapse rate (dalr). Define moist adiabatic lapse rate. If the air is dry, the rate of temperature change is 1 o c/100 meters and is called the dry adiabatic rate (dar). What is the difference between the wet adiabatic lapse rate and the dry adiabatic lapse rate? Study with quizlet and memorize.
PPT Thermodynamics Review/Tutorial Ideal Gas Law Heat Capacity PowerPoint Presentation
Dry Adiabatic Rate Definition Quizlet What is the difference between the wet adiabatic lapse rate and the dry adiabatic lapse rate? If the air is dry, the rate of temperature change is 1 o c/100 meters and is called the dry adiabatic rate (dar). The dry adiabatic lapse rate defines how temperature decreases with altitude in unsaturated air. The wet adiabatic rate = temperature of rising air. Rate of temperature change when saturated air is lifted. Study with quizlet and memorize. If the air is dry, the rate of temperature change is called the dry adiabatic rate (dar). If the air is saturated, the rate of temperature change is.6 o. What is the difference between the wet adiabatic lapse rate and the dry adiabatic lapse rate? The rate of expansion cooling for dry air is very close to 10 c/km or 30 f/mi and is called the dry adiabatic lapse rate (dalr). Define moist adiabatic lapse rate. The dar is a constant value, that is,.
From slideplayer.com
Precipitation Presentation ppt download Dry Adiabatic Rate Definition Quizlet Rate of temperature change when saturated air is lifted. The rate of expansion cooling for dry air is very close to 10 c/km or 30 f/mi and is called the dry adiabatic lapse rate (dalr). The dry adiabatic lapse rate defines how temperature decreases with altitude in unsaturated air. If the air is dry, the rate of temperature change is. Dry Adiabatic Rate Definition Quizlet.
From www.slideserve.com
PPT Adiabatic Processes PowerPoint Presentation, free download ID5766036 Dry Adiabatic Rate Definition Quizlet The dry adiabatic lapse rate defines how temperature decreases with altitude in unsaturated air. The wet adiabatic rate = temperature of rising air. If the air is saturated, the rate of temperature change is.6 o. Study with quizlet and memorize. Define moist adiabatic lapse rate. If the air is dry, the rate of temperature change is 1 o c/100 meters. Dry Adiabatic Rate Definition Quizlet.
From www.slideshare.net
AOS 122 Environmental Lapse Rate v. Dry Adiabatic Lape Rate Dry Adiabatic Rate Definition Quizlet The wet adiabatic rate = temperature of rising air. The rate of expansion cooling for dry air is very close to 10 c/km or 30 f/mi and is called the dry adiabatic lapse rate (dalr). The dar is a constant value, that is,. If the air is saturated, the rate of temperature change is.6 o. The dry adiabatic lapse rate. Dry Adiabatic Rate Definition Quizlet.
From www.slideserve.com
PPT Lecture 10 Atmospheric Stability PowerPoint Presentation, free download ID1668652 Dry Adiabatic Rate Definition Quizlet The rate of expansion cooling for dry air is very close to 10 c/km or 30 f/mi and is called the dry adiabatic lapse rate (dalr). Rate of temperature change when saturated air is lifted. The dar is a constant value, that is,. If the air is saturated, the rate of temperature change is.6 o. If the air is dry,. Dry Adiabatic Rate Definition Quizlet.
From slideplayer.com
766678S Introduction to Atmospheric Processes and Climate Change ppt download Dry Adiabatic Rate Definition Quizlet The dry adiabatic lapse rate defines how temperature decreases with altitude in unsaturated air. The wet adiabatic rate = temperature of rising air. Define moist adiabatic lapse rate. Study with quizlet and memorize. What is the difference between the wet adiabatic lapse rate and the dry adiabatic lapse rate? If the air is dry, the rate of temperature change is. Dry Adiabatic Rate Definition Quizlet.
From www.slideserve.com
PPT Thermodynamics, Buoyancy, and Vertical Motion PowerPoint Presentation ID417618 Dry Adiabatic Rate Definition Quizlet Define moist adiabatic lapse rate. The dry adiabatic lapse rate defines how temperature decreases with altitude in unsaturated air. Study with quizlet and memorize. What is the difference between the wet adiabatic lapse rate and the dry adiabatic lapse rate? If the air is dry, the rate of temperature change is called the dry adiabatic rate (dar). The dar is. Dry Adiabatic Rate Definition Quizlet.
From slidetodoc.com
NATS 101 Section 13 Lecture 12 Stability and Dry Adiabatic Rate Definition Quizlet If the air is dry, the rate of temperature change is 1 o c/100 meters and is called the dry adiabatic rate (dar). The rate of expansion cooling for dry air is very close to 10 c/km or 30 f/mi and is called the dry adiabatic lapse rate (dalr). Rate of temperature change when saturated air is lifted. The dry. Dry Adiabatic Rate Definition Quizlet.
From www.chegg.com
Solved (a) (i) Define the term "dry adiabatic lapse rate" Dry Adiabatic Rate Definition Quizlet Rate of temperature change when saturated air is lifted. The rate of expansion cooling for dry air is very close to 10 c/km or 30 f/mi and is called the dry adiabatic lapse rate (dalr). What is the difference between the wet adiabatic lapse rate and the dry adiabatic lapse rate? If the air is dry, the rate of temperature. Dry Adiabatic Rate Definition Quizlet.
From www.slideserve.com
PPT Adiabatic Processes PowerPoint Presentation, free download ID4243194 Dry Adiabatic Rate Definition Quizlet What is the difference between the wet adiabatic lapse rate and the dry adiabatic lapse rate? The dar is a constant value, that is,. Rate of temperature change when saturated air is lifted. If the air is saturated, the rate of temperature change is.6 o. If the air is dry, the rate of temperature change is 1 o c/100 meters. Dry Adiabatic Rate Definition Quizlet.
From www.slideshare.net
Earth science 18.2 Dry Adiabatic Rate Definition Quizlet Study with quizlet and memorize. If the air is dry, the rate of temperature change is 1 o c/100 meters and is called the dry adiabatic rate (dar). Define moist adiabatic lapse rate. The dry adiabatic lapse rate defines how temperature decreases with altitude in unsaturated air. The dar is a constant value, that is,. If the air is saturated,. Dry Adiabatic Rate Definition Quizlet.
From www.slideserve.com
PPT Lecture 10 Atmospheric Stability PowerPoint Presentation ID1668652 Dry Adiabatic Rate Definition Quizlet The rate of expansion cooling for dry air is very close to 10 c/km or 30 f/mi and is called the dry adiabatic lapse rate (dalr). Study with quizlet and memorize. Define moist adiabatic lapse rate. What is the difference between the wet adiabatic lapse rate and the dry adiabatic lapse rate? Rate of temperature change when saturated air is. Dry Adiabatic Rate Definition Quizlet.
From www.slideserve.com
PPT Thermodynamics Review/Tutorial Ideal Gas Law Heat Capacity PowerPoint Presentation Dry Adiabatic Rate Definition Quizlet What is the difference between the wet adiabatic lapse rate and the dry adiabatic lapse rate? The wet adiabatic rate = temperature of rising air. The dar is a constant value, that is,. If the air is saturated, the rate of temperature change is.6 o. The rate of expansion cooling for dry air is very close to 10 c/km or. Dry Adiabatic Rate Definition Quizlet.
From www.slideserve.com
PPT Skew T Log P Diagram PowerPoint Presentation, free download ID1309436 Dry Adiabatic Rate Definition Quizlet Study with quizlet and memorize. The dar is a constant value, that is,. If the air is saturated, the rate of temperature change is.6 o. Rate of temperature change when saturated air is lifted. What is the difference between the wet adiabatic lapse rate and the dry adiabatic lapse rate? Define moist adiabatic lapse rate. If the air is dry,. Dry Adiabatic Rate Definition Quizlet.
From www.slideserve.com
PPT Chapter 4 Moisture and Atmospheric Stability PowerPoint Presentation ID4930343 Dry Adiabatic Rate Definition Quizlet What is the difference between the wet adiabatic lapse rate and the dry adiabatic lapse rate? If the air is dry, the rate of temperature change is called the dry adiabatic rate (dar). Define moist adiabatic lapse rate. The dar is a constant value, that is,. The wet adiabatic rate = temperature of rising air. The rate of expansion cooling. Dry Adiabatic Rate Definition Quizlet.
From toprik.com
What is the Atmosphere everything you need to know in simple terms Dry Adiabatic Rate Definition Quizlet Rate of temperature change when saturated air is lifted. If the air is saturated, the rate of temperature change is.6 o. Study with quizlet and memorize. What is the difference between the wet adiabatic lapse rate and the dry adiabatic lapse rate? The wet adiabatic rate = temperature of rising air. If the air is dry, the rate of temperature. Dry Adiabatic Rate Definition Quizlet.
From www.slideserve.com
PPT Thermodynamics, Buoyancy, and Vertical Motion PowerPoint Presentation ID417618 Dry Adiabatic Rate Definition Quizlet The dry adiabatic lapse rate defines how temperature decreases with altitude in unsaturated air. The wet adiabatic rate = temperature of rising air. Define moist adiabatic lapse rate. If the air is dry, the rate of temperature change is 1 o c/100 meters and is called the dry adiabatic rate (dar). Study with quizlet and memorize. The dar is a. Dry Adiabatic Rate Definition Quizlet.
From studylib.net
dry adiabatic lapse rate Dry Adiabatic Rate Definition Quizlet If the air is saturated, the rate of temperature change is.6 o. The rate of expansion cooling for dry air is very close to 10 c/km or 30 f/mi and is called the dry adiabatic lapse rate (dalr). Study with quizlet and memorize. If the air is dry, the rate of temperature change is 1 o c/100 meters and is. Dry Adiabatic Rate Definition Quizlet.
From www.coursehero.com
[Solved] Explain why the wet adiabatic lapse rate is less than the dry... Course Hero Dry Adiabatic Rate Definition Quizlet The dry adiabatic lapse rate defines how temperature decreases with altitude in unsaturated air. The wet adiabatic rate = temperature of rising air. If the air is saturated, the rate of temperature change is.6 o. Study with quizlet and memorize. If the air is dry, the rate of temperature change is 1 o c/100 meters and is called the dry. Dry Adiabatic Rate Definition Quizlet.
From www.slideserve.com
PPT Atmospheric Thermodynamics III Adiabatic Processes PowerPoint Presentation ID603666 Dry Adiabatic Rate Definition Quizlet If the air is dry, the rate of temperature change is 1 o c/100 meters and is called the dry adiabatic rate (dar). The rate of expansion cooling for dry air is very close to 10 c/km or 30 f/mi and is called the dry adiabatic lapse rate (dalr). Rate of temperature change when saturated air is lifted. The dry. Dry Adiabatic Rate Definition Quizlet.
From www.slideserve.com
PPT Session 2, Unit 3 Atmospheric Thermodynamics PowerPoint Presentation ID3086210 Dry Adiabatic Rate Definition Quizlet Study with quizlet and memorize. The dar is a constant value, that is,. If the air is dry, the rate of temperature change is called the dry adiabatic rate (dar). The rate of expansion cooling for dry air is very close to 10 c/km or 30 f/mi and is called the dry adiabatic lapse rate (dalr). If the air is. Dry Adiabatic Rate Definition Quizlet.
From www.slideserve.com
PPT MET 10 Lecture 6 PowerPoint Presentation, free download ID5562563 Dry Adiabatic Rate Definition Quizlet The rate of expansion cooling for dry air is very close to 10 c/km or 30 f/mi and is called the dry adiabatic lapse rate (dalr). Study with quizlet and memorize. The dar is a constant value, that is,. If the air is saturated, the rate of temperature change is.6 o. What is the difference between the wet adiabatic lapse. Dry Adiabatic Rate Definition Quizlet.
From www.slideserve.com
PPT Lecture 10 Atmospheric Stability PowerPoint Presentation, free download ID1668652 Dry Adiabatic Rate Definition Quizlet Study with quizlet and memorize. The dry adiabatic lapse rate defines how temperature decreases with altitude in unsaturated air. What is the difference between the wet adiabatic lapse rate and the dry adiabatic lapse rate? The rate of expansion cooling for dry air is very close to 10 c/km or 30 f/mi and is called the dry adiabatic lapse rate. Dry Adiabatic Rate Definition Quizlet.
From ar.inspiredpencil.com
Adiabatic Lapse Rate Dry Adiabatic Rate Definition Quizlet The wet adiabatic rate = temperature of rising air. The rate of expansion cooling for dry air is very close to 10 c/km or 30 f/mi and is called the dry adiabatic lapse rate (dalr). If the air is dry, the rate of temperature change is called the dry adiabatic rate (dar). Study with quizlet and memorize. The dry adiabatic. Dry Adiabatic Rate Definition Quizlet.
From www.slideserve.com
PPT Lecture 10 Atmospheric Stability PowerPoint Presentation, free download ID1668652 Dry Adiabatic Rate Definition Quizlet The rate of expansion cooling for dry air is very close to 10 c/km or 30 f/mi and is called the dry adiabatic lapse rate (dalr). The wet adiabatic rate = temperature of rising air. Rate of temperature change when saturated air is lifted. Study with quizlet and memorize. If the air is dry, the rate of temperature change is. Dry Adiabatic Rate Definition Quizlet.
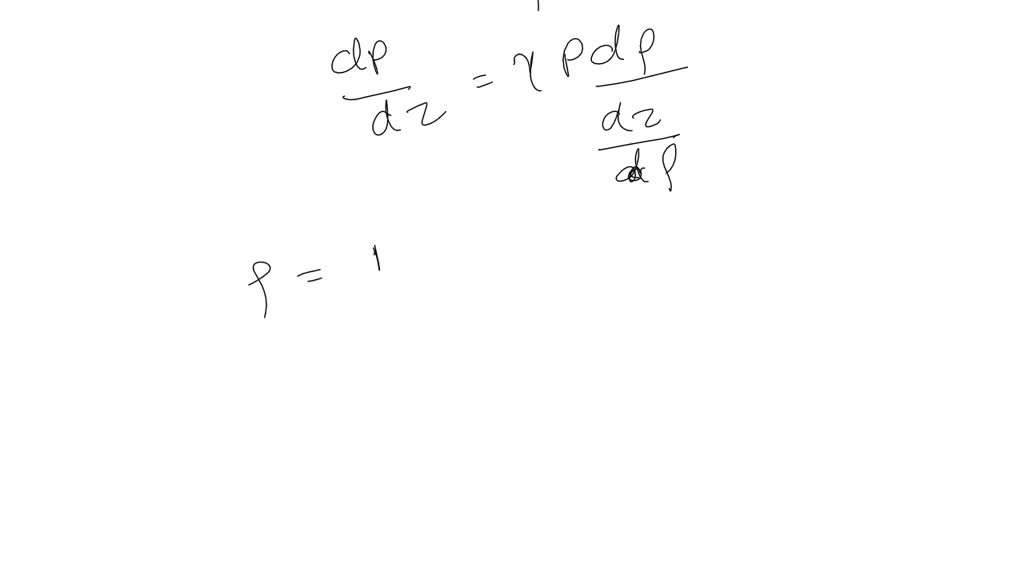
From www.numerade.com
SOLVED Derive the expression for dry adiabatic density lapse rate (dp/dz)adiabatic as the Dry Adiabatic Rate Definition Quizlet The dar is a constant value, that is,. Define moist adiabatic lapse rate. Rate of temperature change when saturated air is lifted. The wet adiabatic rate = temperature of rising air. The dry adiabatic lapse rate defines how temperature decreases with altitude in unsaturated air. Study with quizlet and memorize. If the air is dry, the rate of temperature change. Dry Adiabatic Rate Definition Quizlet.
From www.slideserve.com
PPT Earth Science Chapter 18.1 Water in the Atmosphere PowerPoint Presentation ID2253354 Dry Adiabatic Rate Definition Quizlet The dar is a constant value, that is,. Define moist adiabatic lapse rate. Rate of temperature change when saturated air is lifted. The wet adiabatic rate = temperature of rising air. If the air is dry, the rate of temperature change is called the dry adiabatic rate (dar). If the air is dry, the rate of temperature change is 1. Dry Adiabatic Rate Definition Quizlet.
From www.slideshare.net
6 Dry Adiabatic Rate Definition Quizlet The wet adiabatic rate = temperature of rising air. Define moist adiabatic lapse rate. Rate of temperature change when saturated air is lifted. What is the difference between the wet adiabatic lapse rate and the dry adiabatic lapse rate? If the air is dry, the rate of temperature change is 1 o c/100 meters and is called the dry adiabatic. Dry Adiabatic Rate Definition Quizlet.
From www.chegg.com
Solved average dry adiabatic lapse rate (DAR) 10oC/1000 Dry Adiabatic Rate Definition Quizlet The rate of expansion cooling for dry air is very close to 10 c/km or 30 f/mi and is called the dry adiabatic lapse rate (dalr). Define moist adiabatic lapse rate. If the air is dry, the rate of temperature change is 1 o c/100 meters and is called the dry adiabatic rate (dar). The wet adiabatic rate = temperature. Dry Adiabatic Rate Definition Quizlet.
From geography.name
The Adiabatic Process Dry Adiabatic Rate Definition Quizlet If the air is saturated, the rate of temperature change is.6 o. Define moist adiabatic lapse rate. If the air is dry, the rate of temperature change is 1 o c/100 meters and is called the dry adiabatic rate (dar). The dar is a constant value, that is,. If the air is dry, the rate of temperature change is called. Dry Adiabatic Rate Definition Quizlet.
From www.slideserve.com
PPT Adiabatic Processes PowerPoint Presentation ID5766036 Dry Adiabatic Rate Definition Quizlet The dar is a constant value, that is,. Rate of temperature change when saturated air is lifted. If the air is saturated, the rate of temperature change is.6 o. The wet adiabatic rate = temperature of rising air. If the air is dry, the rate of temperature change is called the dry adiabatic rate (dar). Define moist adiabatic lapse rate.. Dry Adiabatic Rate Definition Quizlet.
From www.researchgate.net
(a) MALR for various temperatures í µí± . The dry adiabatic lapse rate... Download Scientific Dry Adiabatic Rate Definition Quizlet Study with quizlet and memorize. The wet adiabatic rate = temperature of rising air. What is the difference between the wet adiabatic lapse rate and the dry adiabatic lapse rate? If the air is dry, the rate of temperature change is 1 o c/100 meters and is called the dry adiabatic rate (dar). Rate of temperature change when saturated air. Dry Adiabatic Rate Definition Quizlet.
From www.slideserve.com
PPT Changes to Air Parcels PowerPoint Presentation, free download ID2676066 Dry Adiabatic Rate Definition Quizlet The dry adiabatic lapse rate defines how temperature decreases with altitude in unsaturated air. If the air is dry, the rate of temperature change is called the dry adiabatic rate (dar). If the air is saturated, the rate of temperature change is.6 o. What is the difference between the wet adiabatic lapse rate and the dry adiabatic lapse rate? The. Dry Adiabatic Rate Definition Quizlet.
From licchavilyceum.com
Dry & Moist Adiabatic Lapse Rate Differences Licchavi Lyceum Dry Adiabatic Rate Definition Quizlet If the air is saturated, the rate of temperature change is.6 o. What is the difference between the wet adiabatic lapse rate and the dry adiabatic lapse rate? Study with quizlet and memorize. If the air is dry, the rate of temperature change is called the dry adiabatic rate (dar). Rate of temperature change when saturated air is lifted. The. Dry Adiabatic Rate Definition Quizlet.
From www.slideserve.com
PPT Thermodynamics, Buoyancy, and Vertical Motion PowerPoint Presentation ID607163 Dry Adiabatic Rate Definition Quizlet The wet adiabatic rate = temperature of rising air. If the air is dry, the rate of temperature change is 1 o c/100 meters and is called the dry adiabatic rate (dar). The dry adiabatic lapse rate defines how temperature decreases with altitude in unsaturated air. Rate of temperature change when saturated air is lifted. If the air is dry,. Dry Adiabatic Rate Definition Quizlet.
From www.slideserve.com
PPT Meteo 3 Chapter 8 PowerPoint Presentation, free download ID4243175 Dry Adiabatic Rate Definition Quizlet What is the difference between the wet adiabatic lapse rate and the dry adiabatic lapse rate? Rate of temperature change when saturated air is lifted. The dar is a constant value, that is,. If the air is saturated, the rate of temperature change is.6 o. Define moist adiabatic lapse rate. The wet adiabatic rate = temperature of rising air. The. Dry Adiabatic Rate Definition Quizlet.