How Much Would A Person Weigh On The Moon . Now imagine what it would be like to weigh. This weight on the moon conversion calculator calculates your weight or the weight that any object would be if on the moon. Enter the weight on moon calculator, a simple yet. On planet earth, gravity has a. That means that a 70kg (154 lbs). Calculate how much you would weigh on the moon. The weight on the moon calculator computes the weight of something on the moon. Ever wondered how much you would weigh on the lunar surface? To use this calculator, a user just enters his or her weight and. Simply step on a scale to determine your current weight, and then divide that number by six. Choose units and enter the. Your weight on the moon is a function of the moon's gravity. So, how much would you weigh on the moon? Your weight is a measure of the amount of gravity exerted on your body by the planet earth. $w = mg$ where $m$ is the mass of the person and $g$ is the gravitational acceleration they experience.
from www.chegg.com
Enter the weight on moon calculator, a simple yet. Your weight on the moon is a function of the moon's gravity. $w = mg$ where $m$ is the mass of the person and $g$ is the gravitational acceleration they experience. Your weight is a measure of the amount of gravity exerted on your body by the planet earth. So, how much would you weigh on the moon? The weight on the moon calculator computes the weight of something on the moon. Simply step on a scale to determine your current weight, and then divide that number by six. Choose units and enter the. That means that a 70kg (154 lbs). Now imagine what it would be like to weigh.
Solved 2 How much does a 150 lbm person weigh on the moon
How Much Would A Person Weigh On The Moon Calculate how much you would weigh on the moon. Simply step on a scale to determine your current weight, and then divide that number by six. Your weight on the moon is a function of the moon's gravity. The weight on the moon calculator computes the weight of something on the moon. Choose units and enter the. To use this calculator, a user just enters his or her weight and. This weight on the moon conversion calculator calculates your weight or the weight that any object would be if on the moon. Ever wondered how much you would weigh on the lunar surface? So, how much would you weigh on the moon? Your weight is a measure of the amount of gravity exerted on your body by the planet earth. Now imagine what it would be like to weigh. On planet earth, gravity has a. Enter the weight on moon calculator, a simple yet. That means that a 70kg (154 lbs). $w = mg$ where $m$ is the mass of the person and $g$ is the gravitational acceleration they experience. Calculate how much you would weigh on the moon.
From brainly.in
how much will a person with 72 N weight on earth, weigh on the moon How Much Would A Person Weigh On The Moon So, how much would you weigh on the moon? That means that a 70kg (154 lbs). Simply step on a scale to determine your current weight, and then divide that number by six. $w = mg$ where $m$ is the mass of the person and $g$ is the gravitational acceleration they experience. Ever wondered how much you would weigh on. How Much Would A Person Weigh On The Moon.
From www.reddit.com
This scale shows how much you weigh on the moon r/mildlyinteresting How Much Would A Person Weigh On The Moon Enter the weight on moon calculator, a simple yet. On planet earth, gravity has a. That means that a 70kg (154 lbs). Now imagine what it would be like to weigh. Calculate how much you would weigh on the moon. So, how much would you weigh on the moon? Your weight is a measure of the amount of gravity exerted. How Much Would A Person Weigh On The Moon.
From www.gauthmath.com
Solved A 200 pound person weighs 33 pounds on the Moon. a) How much How Much Would A Person Weigh On The Moon So, how much would you weigh on the moon? The weight on the moon calculator computes the weight of something on the moon. Enter the weight on moon calculator, a simple yet. Calculate how much you would weigh on the moon. On planet earth, gravity has a. Ever wondered how much you would weigh on the lunar surface? To use. How Much Would A Person Weigh On The Moon.
From www.chegg.com
Solved 2 How much does a 150 lbm person weigh on the moon How Much Would A Person Weigh On The Moon On planet earth, gravity has a. Simply step on a scale to determine your current weight, and then divide that number by six. Your weight is a measure of the amount of gravity exerted on your body by the planet earth. So, how much would you weigh on the moon? Your weight on the moon is a function of the. How Much Would A Person Weigh On The Moon.
From www.wonderopolis.org
How Much Do You Weigh On the Moon? Wonderopolis How Much Would A Person Weigh On The Moon On planet earth, gravity has a. Calculate how much you would weigh on the moon. Simply step on a scale to determine your current weight, and then divide that number by six. Enter the weight on moon calculator, a simple yet. To use this calculator, a user just enters his or her weight and. Choose units and enter the. Ever. How Much Would A Person Weigh On The Moon.
From learn2astronomy.com
What Is The Weight Of A 60 Kg Person On The Moon How Much Would A Person Weigh On The Moon Now imagine what it would be like to weigh. To use this calculator, a user just enters his or her weight and. This weight on the moon conversion calculator calculates your weight or the weight that any object would be if on the moon. The weight on the moon calculator computes the weight of something on the moon. Your weight. How Much Would A Person Weigh On The Moon.
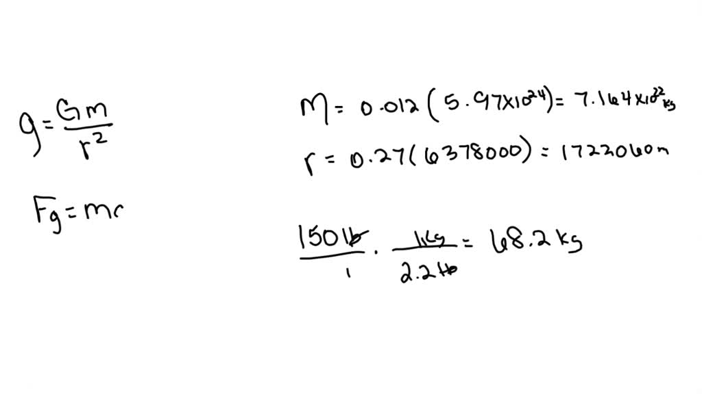
From www.numerade.com
SOLVED The Moon has 0.012 of Earth's mass and 0.27 of Earth's radius How Much Would A Person Weigh On The Moon The weight on the moon calculator computes the weight of something on the moon. To use this calculator, a user just enters his or her weight and. Calculate how much you would weigh on the moon. Your weight on the moon is a function of the moon's gravity. Ever wondered how much you would weigh on the lunar surface? Enter. How Much Would A Person Weigh On The Moon.
From brainly.in
a man is 60kg.how much does he weigh on earth and moon Brainly.in How Much Would A Person Weigh On The Moon Choose units and enter the. Calculate how much you would weigh on the moon. This weight on the moon conversion calculator calculates your weight or the weight that any object would be if on the moon. $w = mg$ where $m$ is the mass of the person and $g$ is the gravitational acceleration they experience. Enter the weight on moon. How Much Would A Person Weigh On The Moon.
From www.youtube.com
Calculating a Person's Weight on the Moon W = mg YouTube How Much Would A Person Weigh On The Moon Calculate how much you would weigh on the moon. Your weight is a measure of the amount of gravity exerted on your body by the planet earth. On planet earth, gravity has a. Simply step on a scale to determine your current weight, and then divide that number by six. Ever wondered how much you would weigh on the lunar. How Much Would A Person Weigh On The Moon.
From brainly.in
A man has a mass of 60 kg on earth. What will be the mass of man on How Much Would A Person Weigh On The Moon Your weight on the moon is a function of the moon's gravity. $w = mg$ where $m$ is the mass of the person and $g$ is the gravitational acceleration they experience. That means that a 70kg (154 lbs). Ever wondered how much you would weigh on the lunar surface? Simply step on a scale to determine your current weight, and. How Much Would A Person Weigh On The Moon.
From faqwiki.net
How much does the moon weigh? Unraveling the Mystery How Much Would A Person Weigh On The Moon Your weight on the moon is a function of the moon's gravity. $w = mg$ where $m$ is the mass of the person and $g$ is the gravitational acceleration they experience. To use this calculator, a user just enters his or her weight and. Ever wondered how much you would weigh on the lunar surface? So, how much would you. How Much Would A Person Weigh On The Moon.
From www.animalia-life.club
Your Weight On The How Much Would A Person Weigh On The Moon On planet earth, gravity has a. Your weight on the moon is a function of the moon's gravity. That means that a 70kg (154 lbs). The weight on the moon calculator computes the weight of something on the moon. Calculate how much you would weigh on the moon. Now imagine what it would be like to weigh. Simply step on. How Much Would A Person Weigh On The Moon.
From www.numerade.com
SOLVED The weight of astronauts on Earth varies directly with their How Much Would A Person Weigh On The Moon Now imagine what it would be like to weigh. Your weight is a measure of the amount of gravity exerted on your body by the planet earth. Ever wondered how much you would weigh on the lunar surface? So, how much would you weigh on the moon? Enter the weight on moon calculator, a simple yet. Calculate how much you. How Much Would A Person Weigh On The Moon.
From www.numerade.com
SOLVEDThe ratio of weight on the moon to weight on Earth is 1 6 . How How Much Would A Person Weigh On The Moon Simply step on a scale to determine your current weight, and then divide that number by six. That means that a 70kg (154 lbs). The weight on the moon calculator computes the weight of something on the moon. Calculate how much you would weigh on the moon. Enter the weight on moon calculator, a simple yet. Your weight on the. How Much Would A Person Weigh On The Moon.
From lessonbergintubefuls.z21.web.core.windows.net
Weight On Other How Much Would A Person Weigh On The Moon The weight on the moon calculator computes the weight of something on the moon. Your weight is a measure of the amount of gravity exerted on your body by the planet earth. On planet earth, gravity has a. Now imagine what it would be like to weigh. To use this calculator, a user just enters his or her weight and.. How Much Would A Person Weigh On The Moon.
From askfilo.com
Example 1 If a person weighs 750 N on earth, how much would be his Moon How Much Would A Person Weigh On The Moon To use this calculator, a user just enters his or her weight and. Choose units and enter the. Your weight on the moon is a function of the moon's gravity. Your weight is a measure of the amount of gravity exerted on your body by the planet earth. This weight on the moon conversion calculator calculates your weight or the. How Much Would A Person Weigh On The Moon.
From facts.net
Moon Facts Top 15 Facts about the Moon How Much Would A Person Weigh On The Moon Your weight is a measure of the amount of gravity exerted on your body by the planet earth. Simply step on a scale to determine your current weight, and then divide that number by six. Your weight on the moon is a function of the moon's gravity. Ever wondered how much you would weigh on the lunar surface? That means. How Much Would A Person Weigh On The Moon.
From sciencenotes.org
How to Calculate Weight on Other How Much Would A Person Weigh On The Moon This weight on the moon conversion calculator calculates your weight or the weight that any object would be if on the moon. Enter the weight on moon calculator, a simple yet. $w = mg$ where $m$ is the mass of the person and $g$ is the gravitational acceleration they experience. To use this calculator, a user just enters his or. How Much Would A Person Weigh On The Moon.
From littleastronomy.com
How Much Would You Weigh On The Moon? (With Calculator) How Much Would A Person Weigh On The Moon Simply step on a scale to determine your current weight, and then divide that number by six. Your weight on the moon is a function of the moon's gravity. That means that a 70kg (154 lbs). This weight on the moon conversion calculator calculates your weight or the weight that any object would be if on the moon. Your weight. How Much Would A Person Weigh On The Moon.
From www.dereumlabs.com
What Is Gravity? Community Dereum Labs How Much Would A Person Weigh On The Moon The weight on the moon calculator computes the weight of something on the moon. That means that a 70kg (154 lbs). Simply step on a scale to determine your current weight, and then divide that number by six. Choose units and enter the. Calculate how much you would weigh on the moon. To use this calculator, a user just enters. How Much Would A Person Weigh On The Moon.
From www.scoopnest.com
Moon It would be a huge feat if we manage to launch given how narrow How Much Would A Person Weigh On The Moon Enter the weight on moon calculator, a simple yet. Now imagine what it would be like to weigh. The weight on the moon calculator computes the weight of something on the moon. Choose units and enter the. On planet earth, gravity has a. Your weight on the moon is a function of the moon's gravity. Ever wondered how much you. How Much Would A Person Weigh On The Moon.
From brainly.in
A person weighs 110.84N on moon, Calculate (a)āgā on moon (b)Mass of How Much Would A Person Weigh On The Moon Your weight on the moon is a function of the moon's gravity. That means that a 70kg (154 lbs). Ever wondered how much you would weigh on the lunar surface? The weight on the moon calculator computes the weight of something on the moon. Your weight is a measure of the amount of gravity exerted on your body by the. How Much Would A Person Weigh On The Moon.
From brainly.in
How much will a person with 72 N weight on the earth, weigh on the moon How Much Would A Person Weigh On The Moon Simply step on a scale to determine your current weight, and then divide that number by six. To use this calculator, a user just enters his or her weight and. Ever wondered how much you would weigh on the lunar surface? So, how much would you weigh on the moon? Now imagine what it would be like to weigh. $w. How Much Would A Person Weigh On The Moon.
From www.numerade.com
A person weighs 30 lb on the moon, where g = 5.32 ft/s^2. Determine (a How Much Would A Person Weigh On The Moon Choose units and enter the. The weight on the moon calculator computes the weight of something on the moon. Enter the weight on moon calculator, a simple yet. To use this calculator, a user just enters his or her weight and. Simply step on a scale to determine your current weight, and then divide that number by six. Calculate how. How Much Would A Person Weigh On The Moon.
From www.pinterest.com
How Much Would You Weigh On Each Newtons laws, Apologia How Much Would A Person Weigh On The Moon To use this calculator, a user just enters his or her weight and. Your weight is a measure of the amount of gravity exerted on your body by the planet earth. Choose units and enter the. Now imagine what it would be like to weigh. This weight on the moon conversion calculator calculates your weight or the weight that any. How Much Would A Person Weigh On The Moon.
From xecogioinhapkhau.com
Which Weighs More A 10 N Object On The Moon Or Earth? How Much Would A Person Weigh On The Moon The weight on the moon calculator computes the weight of something on the moon. Your weight on the moon is a function of the moon's gravity. Now imagine what it would be like to weigh. $w = mg$ where $m$ is the mass of the person and $g$ is the gravitational acceleration they experience. Your weight is a measure of. How Much Would A Person Weigh On The Moon.
From brainly.in
If a person weighs 750 n on earth how much would be his weight on the How Much Would A Person Weigh On The Moon Choose units and enter the. Ever wondered how much you would weigh on the lunar surface? Calculate how much you would weigh on the moon. Now imagine what it would be like to weigh. That means that a 70kg (154 lbs). This weight on the moon conversion calculator calculates your weight or the weight that any object would be if. How Much Would A Person Weigh On The Moon.
From www.youtube.com
How much would a 70kg man weigh on the moon?what would be his mass on How Much Would A Person Weigh On The Moon Your weight is a measure of the amount of gravity exerted on your body by the planet earth. That means that a 70kg (154 lbs). Choose units and enter the. Ever wondered how much you would weigh on the lunar surface? On planet earth, gravity has a. Calculate how much you would weigh on the moon. Now imagine what it. How Much Would A Person Weigh On The Moon.
From www.toppr.com
A person weighs 600 N on Earth and 100 N on the moon, what is the How Much Would A Person Weigh On The Moon Choose units and enter the. $w = mg$ where $m$ is the mass of the person and $g$ is the gravitational acceleration they experience. To use this calculator, a user just enters his or her weight and. Ever wondered how much you would weigh on the lunar surface? On planet earth, gravity has a. Your weight on the moon is. How Much Would A Person Weigh On The Moon.
From www.numerade.com
SOLVEDWhat is the difference between mass and weight? If a person How Much Would A Person Weigh On The Moon $w = mg$ where $m$ is the mass of the person and $g$ is the gravitational acceleration they experience. Calculate how much you would weigh on the moon. Choose units and enter the. Simply step on a scale to determine your current weight, and then divide that number by six. That means that a 70kg (154 lbs). Now imagine what. How Much Would A Person Weigh On The Moon.
From brainly.com
If a person weighs 186 pounds on earth,how much will he weigh on the How Much Would A Person Weigh On The Moon This weight on the moon conversion calculator calculates your weight or the weight that any object would be if on the moon. Simply step on a scale to determine your current weight, and then divide that number by six. Now imagine what it would be like to weigh. To use this calculator, a user just enters his or her weight. How Much Would A Person Weigh On The Moon.
From www.youtube.com
A person weighs 110.84N on moon, whose acceration due to gravity is 1 How Much Would A Person Weigh On The Moon Enter the weight on moon calculator, a simple yet. So, how much would you weigh on the moon? That means that a 70kg (154 lbs). $w = mg$ where $m$ is the mass of the person and $g$ is the gravitational acceleration they experience. This weight on the moon conversion calculator calculates your weight or the weight that any object. How Much Would A Person Weigh On The Moon.
From www.youtube.com
How much does the moon weigh ? YouTube How Much Would A Person Weigh On The Moon $w = mg$ where $m$ is the mass of the person and $g$ is the gravitational acceleration they experience. So, how much would you weigh on the moon? Your weight is a measure of the amount of gravity exerted on your body by the planet earth. Now imagine what it would be like to weigh. To use this calculator, a. How Much Would A Person Weigh On The Moon.
From www.mentalfloss.com
How Much Does the Moon Weigh? Mental Floss How Much Would A Person Weigh On The Moon That means that a 70kg (154 lbs). To use this calculator, a user just enters his or her weight and. So, how much would you weigh on the moon? Ever wondered how much you would weigh on the lunar surface? Your weight on the moon is a function of the moon's gravity. $w = mg$ where $m$ is the mass. How Much Would A Person Weigh On The Moon.
From www.coursehero.com
[Solved] A person has a mass of 45 kg. How much does she weigh on the How Much Would A Person Weigh On The Moon So, how much would you weigh on the moon? Enter the weight on moon calculator, a simple yet. Ever wondered how much you would weigh on the lunar surface? Your weight is a measure of the amount of gravity exerted on your body by the planet earth. The weight on the moon calculator computes the weight of something on the. How Much Would A Person Weigh On The Moon.