Example Of Zoning Certificate . A lawful development certificate isn’t a legal requirement, but they are incredibly worthwhile to obtain. This collection brings together planning application form. A zoning certificate, also known as a zoning compliance certificate or a certificate of zoning compliance, is an official document issued by the local planning department. An application for a lawful development certificate (ldc) should be used to establish whether: You might need a lawful development certificate if you are using a property for a prolonged period of time without planning permission or need to. An existing use of land, or some. A zoning certificate is a document issued by a local municipality or council that provides information about the zoning classification of a property. The certificate essentially proves to both your local authority and. A second example may be where a use of land has been occurring without planning permission, such as the use of a dwelling house for a number of. Planning application and fire statement forms:
from www.slideshare.net
An application for a lawful development certificate (ldc) should be used to establish whether: A second example may be where a use of land has been occurring without planning permission, such as the use of a dwelling house for a number of. A zoning certificate is a document issued by a local municipality or council that provides information about the zoning classification of a property. This collection brings together planning application form. Planning application and fire statement forms: A zoning certificate, also known as a zoning compliance certificate or a certificate of zoning compliance, is an official document issued by the local planning department. The certificate essentially proves to both your local authority and. A lawful development certificate isn’t a legal requirement, but they are incredibly worthwhile to obtain. An existing use of land, or some. You might need a lawful development certificate if you are using a property for a prolonged period of time without planning permission or need to.
Certificate of Zoning Compliance For Your Business
Example Of Zoning Certificate The certificate essentially proves to both your local authority and. An application for a lawful development certificate (ldc) should be used to establish whether: A second example may be where a use of land has been occurring without planning permission, such as the use of a dwelling house for a number of. The certificate essentially proves to both your local authority and. This collection brings together planning application form. A zoning certificate is a document issued by a local municipality or council that provides information about the zoning classification of a property. A zoning certificate, also known as a zoning compliance certificate or a certificate of zoning compliance, is an official document issued by the local planning department. You might need a lawful development certificate if you are using a property for a prolonged period of time without planning permission or need to. An existing use of land, or some. Planning application and fire statement forms: A lawful development certificate isn’t a legal requirement, but they are incredibly worthwhile to obtain.
From www.slideshare.net
Zoning Endorsements & Certificates Example Of Zoning Certificate An application for a lawful development certificate (ldc) should be used to establish whether: You might need a lawful development certificate if you are using a property for a prolonged period of time without planning permission or need to. The certificate essentially proves to both your local authority and. A zoning certificate is a document issued by a local municipality. Example Of Zoning Certificate.
From www.chicagoclosings.com
City of Chicago Certificates of Zoning Compliance SLOWED Chicago Real Example Of Zoning Certificate A second example may be where a use of land has been occurring without planning permission, such as the use of a dwelling house for a number of. Planning application and fire statement forms: You might need a lawful development certificate if you are using a property for a prolonged period of time without planning permission or need to. This. Example Of Zoning Certificate.
From www.scribd.com
Certificate of Viability (Zoning) PDF Zoning Government Example Of Zoning Certificate Planning application and fire statement forms: This collection brings together planning application form. A zoning certificate, also known as a zoning compliance certificate or a certificate of zoning compliance, is an official document issued by the local planning department. The certificate essentially proves to both your local authority and. An existing use of land, or some. A lawful development certificate. Example Of Zoning Certificate.
From www.scribd.com
Mandaluyong 2017 Zoning Ordinance Final With Signature Building Zoning Example Of Zoning Certificate A second example may be where a use of land has been occurring without planning permission, such as the use of a dwelling house for a number of. A zoning certificate is a document issued by a local municipality or council that provides information about the zoning classification of a property. The certificate essentially proves to both your local authority. Example Of Zoning Certificate.
From www.pdffiller.com
Fillable Online (937) 8487060 ZONING CERTIFICATE APPLICATION Fax Email Example Of Zoning Certificate A second example may be where a use of land has been occurring without planning permission, such as the use of a dwelling house for a number of. This collection brings together planning application form. You might need a lawful development certificate if you are using a property for a prolonged period of time without planning permission or need to.. Example Of Zoning Certificate.
From www.scribd.com
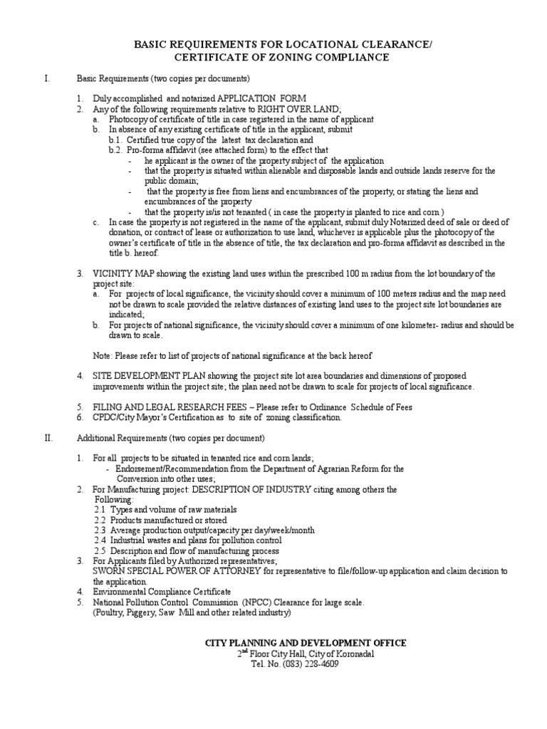
Application for Locational Clearance Certificate of Zoning Compliance Example Of Zoning Certificate A second example may be where a use of land has been occurring without planning permission, such as the use of a dwelling house for a number of. You might need a lawful development certificate if you are using a property for a prolonged period of time without planning permission or need to. An existing use of land, or some.. Example Of Zoning Certificate.
From www.pdffiller.com
Fillable Online Certificate of Zoning Compliance Lake City, Minnesota Example Of Zoning Certificate You might need a lawful development certificate if you are using a property for a prolonged period of time without planning permission or need to. A zoning certificate, also known as a zoning compliance certificate or a certificate of zoning compliance, is an official document issued by the local planning department. A zoning certificate is a document issued by a. Example Of Zoning Certificate.
From www.scribd.com
Zoning Certificate PDF Example Of Zoning Certificate A second example may be where a use of land has been occurring without planning permission, such as the use of a dwelling house for a number of. A zoning certificate, also known as a zoning compliance certificate or a certificate of zoning compliance, is an official document issued by the local planning department. A zoning certificate is a document. Example Of Zoning Certificate.
From www.templateroller.com
City of Peoria, Illinois Zoning Certificate Application for a Fence Example Of Zoning Certificate A lawful development certificate isn’t a legal requirement, but they are incredibly worthwhile to obtain. This collection brings together planning application form. You might need a lawful development certificate if you are using a property for a prolonged period of time without planning permission or need to. A second example may be where a use of land has been occurring. Example Of Zoning Certificate.
From www.pdffiller.com
Fillable Online ZONING CERTIFICATE OF USE APPLICATION For Commercial Example Of Zoning Certificate Planning application and fire statement forms: A zoning certificate, also known as a zoning compliance certificate or a certificate of zoning compliance, is an official document issued by the local planning department. An existing use of land, or some. An application for a lawful development certificate (ldc) should be used to establish whether: This collection brings together planning application form.. Example Of Zoning Certificate.
From www.pdffiller.com
Fillable Online APPLICATION FOR A CERTIFICATE OF ZONING Fax Email Example Of Zoning Certificate A second example may be where a use of land has been occurring without planning permission, such as the use of a dwelling house for a number of. A zoning certificate is a document issued by a local municipality or council that provides information about the zoning classification of a property. Planning application and fire statement forms: This collection brings. Example Of Zoning Certificate.
From www.slideshare.net
Sample Shopping Center Zoning Report Example Of Zoning Certificate The certificate essentially proves to both your local authority and. Planning application and fire statement forms: This collection brings together planning application form. A second example may be where a use of land has been occurring without planning permission, such as the use of a dwelling house for a number of. A zoning certificate is a document issued by a. Example Of Zoning Certificate.
From www.pdffiller.com
Fillable Online CERTIFICATE OF ZONING COMPLIANCE draftHome Occupation Example Of Zoning Certificate A lawful development certificate isn’t a legal requirement, but they are incredibly worthwhile to obtain. Planning application and fire statement forms: You might need a lawful development certificate if you are using a property for a prolonged period of time without planning permission or need to. A zoning certificate, also known as a zoning compliance certificate or a certificate of. Example Of Zoning Certificate.
From www.signnow.com
Print Zoning Permit Complete with ease airSlate SignNow Example Of Zoning Certificate An existing use of land, or some. The certificate essentially proves to both your local authority and. An application for a lawful development certificate (ldc) should be used to establish whether: You might need a lawful development certificate if you are using a property for a prolonged period of time without planning permission or need to. A lawful development certificate. Example Of Zoning Certificate.
From www.slideshare.net
Certificate of Zoning Compliance For Your Business Example Of Zoning Certificate A lawful development certificate isn’t a legal requirement, but they are incredibly worthwhile to obtain. This collection brings together planning application form. A second example may be where a use of land has been occurring without planning permission, such as the use of a dwelling house for a number of. Planning application and fire statement forms: A zoning certificate is. Example Of Zoning Certificate.
From www.templateroller.com
Butler Township, Ohio Certificate of Zoning Compliance Fill Out, Sign Example Of Zoning Certificate An application for a lawful development certificate (ldc) should be used to establish whether: A second example may be where a use of land has been occurring without planning permission, such as the use of a dwelling house for a number of. You might need a lawful development certificate if you are using a property for a prolonged period of. Example Of Zoning Certificate.
From www.pdffiller.com
Certificate Zoning Providence Fill Online, Printable, Fillable, Blank Example Of Zoning Certificate Planning application and fire statement forms: A lawful development certificate isn’t a legal requirement, but they are incredibly worthwhile to obtain. A second example may be where a use of land has been occurring without planning permission, such as the use of a dwelling house for a number of. This collection brings together planning application form. A zoning certificate, also. Example Of Zoning Certificate.
From www.formsbank.com
Zoning Certificate Application Form printable pdf download Example Of Zoning Certificate A zoning certificate, also known as a zoning compliance certificate or a certificate of zoning compliance, is an official document issued by the local planning department. A second example may be where a use of land has been occurring without planning permission, such as the use of a dwelling house for a number of. This collection brings together planning application. Example Of Zoning Certificate.
From www.slideshare.net
Certificate of Zoning Compliance For Your Business Example Of Zoning Certificate This collection brings together planning application form. An existing use of land, or some. Planning application and fire statement forms: An application for a lawful development certificate (ldc) should be used to establish whether: A second example may be where a use of land has been occurring without planning permission, such as the use of a dwelling house for a. Example Of Zoning Certificate.
From fill.io
Fill Free fillable ZONING PERMIT APPLICATIONS PDF form Example Of Zoning Certificate This collection brings together planning application form. A second example may be where a use of land has been occurring without planning permission, such as the use of a dwelling house for a number of. A zoning certificate is a document issued by a local municipality or council that provides information about the zoning classification of a property. Planning application. Example Of Zoning Certificate.
From www.pdffiller.com
Fillable Online Zoning Certificate Form and Guidelines.Final Fax Email Example Of Zoning Certificate A second example may be where a use of land has been occurring without planning permission, such as the use of a dwelling house for a number of. Planning application and fire statement forms: This collection brings together planning application form. The certificate essentially proves to both your local authority and. A zoning certificate is a document issued by a. Example Of Zoning Certificate.
From www.certificatestemplatesfree.com
Certificate Of Occupancy certificates templates free Example Of Zoning Certificate Planning application and fire statement forms: An application for a lawful development certificate (ldc) should be used to establish whether: A zoning certificate is a document issued by a local municipality or council that provides information about the zoning classification of a property. A second example may be where a use of land has been occurring without planning permission, such. Example Of Zoning Certificate.
From www.pdffiller.com
Zoning Certificate of Compliance for Ag Exempt Structures Doc Template Example Of Zoning Certificate A zoning certificate is a document issued by a local municipality or council that provides information about the zoning classification of a property. An existing use of land, or some. The certificate essentially proves to both your local authority and. A zoning certificate, also known as a zoning compliance certificate or a certificate of zoning compliance, is an official document. Example Of Zoning Certificate.
From www.dochub.com
Anne arundel county zoning Fill out & sign online DocHub Example Of Zoning Certificate This collection brings together planning application form. The certificate essentially proves to both your local authority and. An existing use of land, or some. A second example may be where a use of land has been occurring without planning permission, such as the use of a dwelling house for a number of. Planning application and fire statement forms: A zoning. Example Of Zoning Certificate.
From www.pdffiller.com
Fillable Online ZONING CERTIFICATE OF USE CITY OF Fax Email Print Example Of Zoning Certificate An application for a lawful development certificate (ldc) should be used to establish whether: This collection brings together planning application form. An existing use of land, or some. A zoning certificate is a document issued by a local municipality or council that provides information about the zoning classification of a property. A lawful development certificate isn’t a legal requirement, but. Example Of Zoning Certificate.
From www.uslegalforms.com
CA Zoning Certificate Application Berkeley City 20132021 Fill and Example Of Zoning Certificate This collection brings together planning application form. An existing use of land, or some. You might need a lawful development certificate if you are using a property for a prolonged period of time without planning permission or need to. The certificate essentially proves to both your local authority and. A second example may be where a use of land has. Example Of Zoning Certificate.
From www.pdffiller.com
Fillable Online Request for Zoning Verification Letter Fax Email Print Example Of Zoning Certificate A zoning certificate is a document issued by a local municipality or council that provides information about the zoning classification of a property. An existing use of land, or some. An application for a lawful development certificate (ldc) should be used to establish whether: A zoning certificate, also known as a zoning compliance certificate or a certificate of zoning compliance,. Example Of Zoning Certificate.
From www.slideshare.net
Certificate of Zoning Compliance For Your Business Example Of Zoning Certificate An application for a lawful development certificate (ldc) should be used to establish whether: A second example may be where a use of land has been occurring without planning permission, such as the use of a dwelling house for a number of. You might need a lawful development certificate if you are using a property for a prolonged period of. Example Of Zoning Certificate.
From issuu.com
2014 zoning verification letter 4656 rockbridge rd by Pine Lake Miller Example Of Zoning Certificate A zoning certificate is a document issued by a local municipality or council that provides information about the zoning classification of a property. A lawful development certificate isn’t a legal requirement, but they are incredibly worthwhile to obtain. An existing use of land, or some. A second example may be where a use of land has been occurring without planning. Example Of Zoning Certificate.
From chicagoclosings.com
City of Chicago Certificates of Zoning Compliance SLOWED Chicago Real Example Of Zoning Certificate A lawful development certificate isn’t a legal requirement, but they are incredibly worthwhile to obtain. A second example may be where a use of land has been occurring without planning permission, such as the use of a dwelling house for a number of. An existing use of land, or some. This collection brings together planning application form. An application for. Example Of Zoning Certificate.
From www.allpatriotsmemorial.org
Application For Zoning Certificate Example Of Zoning Certificate A lawful development certificate isn’t a legal requirement, but they are incredibly worthwhile to obtain. A second example may be where a use of land has been occurring without planning permission, such as the use of a dwelling house for a number of. The certificate essentially proves to both your local authority and. An application for a lawful development certificate. Example Of Zoning Certificate.
From prntbl.concejomunicipaldechinu.gov.co
Certificate Of Zoning Compliance prntbl.concejomunicipaldechinu.gov.co Example Of Zoning Certificate An existing use of land, or some. A second example may be where a use of land has been occurring without planning permission, such as the use of a dwelling house for a number of. The certificate essentially proves to both your local authority and. A lawful development certificate isn’t a legal requirement, but they are incredibly worthwhile to obtain.. Example Of Zoning Certificate.
From www.chicagoclosings.com
Chicago Zoning Certificates and Coronavirus Chicago Real Estate Example Of Zoning Certificate A lawful development certificate isn’t a legal requirement, but they are incredibly worthwhile to obtain. You might need a lawful development certificate if you are using a property for a prolonged period of time without planning permission or need to. An existing use of land, or some. The certificate essentially proves to both your local authority and. This collection brings. Example Of Zoning Certificate.
From www.councilsolutions.co.za
Zoning Certificates City of Johannesburg Municipality Example Of Zoning Certificate This collection brings together planning application form. A lawful development certificate isn’t a legal requirement, but they are incredibly worthwhile to obtain. A second example may be where a use of land has been occurring without planning permission, such as the use of a dwelling house for a number of. An application for a lawful development certificate (ldc) should be. Example Of Zoning Certificate.
From www.pdffiller.com
Fillable Online Certificate of Zoning Compliance (New Building Example Of Zoning Certificate This collection brings together planning application form. A lawful development certificate isn’t a legal requirement, but they are incredibly worthwhile to obtain. You might need a lawful development certificate if you are using a property for a prolonged period of time without planning permission or need to. An application for a lawful development certificate (ldc) should be used to establish. Example Of Zoning Certificate.