How Many Amps Does A Heat Lamp Take . A typical heat lamp draws 6 to 10 amps. Learn how much energy and electricity a heat lamp consumes, how much heat it produces, and how to compare different types of heat lamps. Further on, you will find: You will need to know that for wiring, breaker sizing and generator sizing. Heater amps calculator (just insert wattage and voltage, and get the amps), amp draw chart for 100w to 20,000w heaters. For comparison, a standard incandescent light bulb uses about 60 watts. The duration of use also plays. Find out how many amps does a heat lamp draw for your specific model. We will explain how to figure out how many amps does any electric heater draw. Generally, a 250 watt heat lamp will draw 1.04 amps at 120 volts, 0.52 amps at 240 volts, and 0.26 amps at 480 volts.
from hxegllupb.blob.core.windows.net
You will need to know that for wiring, breaker sizing and generator sizing. The duration of use also plays. For comparison, a standard incandescent light bulb uses about 60 watts. Learn how much energy and electricity a heat lamp consumes, how much heat it produces, and how to compare different types of heat lamps. A typical heat lamp draws 6 to 10 amps. Heater amps calculator (just insert wattage and voltage, and get the amps), amp draw chart for 100w to 20,000w heaters. Find out how many amps does a heat lamp draw for your specific model. Generally, a 250 watt heat lamp will draw 1.04 amps at 120 volts, 0.52 amps at 240 volts, and 0.26 amps at 480 volts. We will explain how to figure out how many amps does any electric heater draw. Further on, you will find:
How Many Amps Does A Heat Pump Need at Cathy Dodson blog
How Many Amps Does A Heat Lamp Take The duration of use also plays. You will need to know that for wiring, breaker sizing and generator sizing. We will explain how to figure out how many amps does any electric heater draw. For comparison, a standard incandescent light bulb uses about 60 watts. Generally, a 250 watt heat lamp will draw 1.04 amps at 120 volts, 0.52 amps at 240 volts, and 0.26 amps at 480 volts. Further on, you will find: Find out how many amps does a heat lamp draw for your specific model. A typical heat lamp draws 6 to 10 amps. The duration of use also plays. Heater amps calculator (just insert wattage and voltage, and get the amps), amp draw chart for 100w to 20,000w heaters. Learn how much energy and electricity a heat lamp consumes, how much heat it produces, and how to compare different types of heat lamps.
From www.sarthaks.com
Two lamps,one rated at 40W 220V and the other at 60W,220V, are How Many Amps Does A Heat Lamp Take The duration of use also plays. A typical heat lamp draws 6 to 10 amps. We will explain how to figure out how many amps does any electric heater draw. Further on, you will find: For comparison, a standard incandescent light bulb uses about 60 watts. You will need to know that for wiring, breaker sizing and generator sizing. Find. How Many Amps Does A Heat Lamp Take.
From citizenside.com
How To Turn On Heat Lamp CitizenSide How Many Amps Does A Heat Lamp Take Find out how many amps does a heat lamp draw for your specific model. We will explain how to figure out how many amps does any electric heater draw. You will need to know that for wiring, breaker sizing and generator sizing. A typical heat lamp draws 6 to 10 amps. The duration of use also plays. Heater amps calculator. How Many Amps Does A Heat Lamp Take.
From energytheory.com
How Many Amps Does a Space Heater Use? Energy Theory How Many Amps Does A Heat Lamp Take Further on, you will find: Learn how much energy and electricity a heat lamp consumes, how much heat it produces, and how to compare different types of heat lamps. Heater amps calculator (just insert wattage and voltage, and get the amps), amp draw chart for 100w to 20,000w heaters. We will explain how to figure out how many amps does. How Many Amps Does A Heat Lamp Take.
From warisanlighting.com
10 facts you need to know about Food heating lamps Warisan Lighting How Many Amps Does A Heat Lamp Take Learn how much energy and electricity a heat lamp consumes, how much heat it produces, and how to compare different types of heat lamps. You will need to know that for wiring, breaker sizing and generator sizing. Generally, a 250 watt heat lamp will draw 1.04 amps at 120 volts, 0.52 amps at 240 volts, and 0.26 amps at 480. How Many Amps Does A Heat Lamp Take.
From addallelectric.com
How many amps does a modern household need? How Many Amps Does A Heat Lamp Take Generally, a 250 watt heat lamp will draw 1.04 amps at 120 volts, 0.52 amps at 240 volts, and 0.26 amps at 480 volts. Find out how many amps does a heat lamp draw for your specific model. For comparison, a standard incandescent light bulb uses about 60 watts. The duration of use also plays. Heater amps calculator (just insert. How Many Amps Does A Heat Lamp Take.
From www.bunnings.com.au
HPM 375W ES Heat Lamp Bunnings Australia How Many Amps Does A Heat Lamp Take For comparison, a standard incandescent light bulb uses about 60 watts. Learn how much energy and electricity a heat lamp consumes, how much heat it produces, and how to compare different types of heat lamps. Find out how many amps does a heat lamp draw for your specific model. Heater amps calculator (just insert wattage and voltage, and get the. How Many Amps Does A Heat Lamp Take.
From storables.com
How Long Do Heat Lamp Bulbs Last Storables How Many Amps Does A Heat Lamp Take We will explain how to figure out how many amps does any electric heater draw. A typical heat lamp draws 6 to 10 amps. You will need to know that for wiring, breaker sizing and generator sizing. Heater amps calculator (just insert wattage and voltage, and get the amps), amp draw chart for 100w to 20,000w heaters. Find out how. How Many Amps Does A Heat Lamp Take.
From bubbleslidess.com
How Hot Does A Heat Lamp Get How Many Amps Does A Heat Lamp Take A typical heat lamp draws 6 to 10 amps. Find out how many amps does a heat lamp draw for your specific model. For comparison, a standard incandescent light bulb uses about 60 watts. The duration of use also plays. Further on, you will find: You will need to know that for wiring, breaker sizing and generator sizing. Generally, a. How Many Amps Does A Heat Lamp Take.
From www.disposeofthings.com
How Many Amps Does an RV AC Use? How Many Amps Does A Heat Lamp Take Learn how much energy and electricity a heat lamp consumes, how much heat it produces, and how to compare different types of heat lamps. For comparison, a standard incandescent light bulb uses about 60 watts. Heater amps calculator (just insert wattage and voltage, and get the amps), amp draw chart for 100w to 20,000w heaters. You will need to know. How Many Amps Does A Heat Lamp Take.
From heaterview.com
How Many Amps Does A 1500 Watt Heater Draw Heaterview How Many Amps Does A Heat Lamp Take A typical heat lamp draws 6 to 10 amps. Generally, a 250 watt heat lamp will draw 1.04 amps at 120 volts, 0.52 amps at 240 volts, and 0.26 amps at 480 volts. Further on, you will find: Learn how much energy and electricity a heat lamp consumes, how much heat it produces, and how to compare different types of. How Many Amps Does A Heat Lamp Take.
From storables.com
What Is A Heat Lamp Storables How Many Amps Does A Heat Lamp Take A typical heat lamp draws 6 to 10 amps. The duration of use also plays. Find out how many amps does a heat lamp draw for your specific model. Further on, you will find: Heater amps calculator (just insert wattage and voltage, and get the amps), amp draw chart for 100w to 20,000w heaters. Learn how much energy and electricity. How Many Amps Does A Heat Lamp Take.
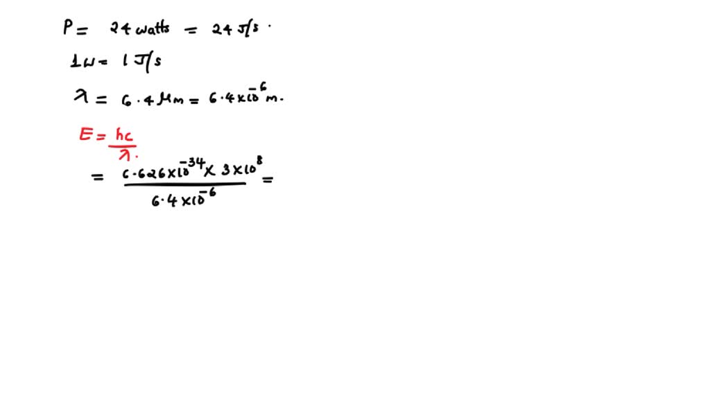
From www.numerade.com
SOLVED A heat lamp produces 24.0 watts of power at a wavelength of 6.4 How Many Amps Does A Heat Lamp Take We will explain how to figure out how many amps does any electric heater draw. Generally, a 250 watt heat lamp will draw 1.04 amps at 120 volts, 0.52 amps at 240 volts, and 0.26 amps at 480 volts. For comparison, a standard incandescent light bulb uses about 60 watts. A typical heat lamp draws 6 to 10 amps. You. How Many Amps Does A Heat Lamp Take.
From giohphzly.blob.core.windows.net
How Many Amps Is A Heat Lamp at Cherie Kaminski blog How Many Amps Does A Heat Lamp Take For comparison, a standard incandescent light bulb uses about 60 watts. Learn how much energy and electricity a heat lamp consumes, how much heat it produces, and how to compare different types of heat lamps. You will need to know that for wiring, breaker sizing and generator sizing. Heater amps calculator (just insert wattage and voltage, and get the amps),. How Many Amps Does A Heat Lamp Take.
From giohphzly.blob.core.windows.net
How Many Amps Is A Heat Lamp at Cherie Kaminski blog How Many Amps Does A Heat Lamp Take Further on, you will find: Generally, a 250 watt heat lamp will draw 1.04 amps at 120 volts, 0.52 amps at 240 volts, and 0.26 amps at 480 volts. The duration of use also plays. Learn how much energy and electricity a heat lamp consumes, how much heat it produces, and how to compare different types of heat lamps. Find. How Many Amps Does A Heat Lamp Take.
From fyoyghegj.blob.core.windows.net
How Many Amps Does A Home Ac Pull at Dennis McDonald blog How Many Amps Does A Heat Lamp Take Heater amps calculator (just insert wattage and voltage, and get the amps), amp draw chart for 100w to 20,000w heaters. We will explain how to figure out how many amps does any electric heater draw. Find out how many amps does a heat lamp draw for your specific model. The duration of use also plays. For comparison, a standard incandescent. How Many Amps Does A Heat Lamp Take.
From survivalfreedom.com
The Cost To Run a Heat Lamp Detailed Analysis Survival Freedom How Many Amps Does A Heat Lamp Take A typical heat lamp draws 6 to 10 amps. The duration of use also plays. Heater amps calculator (just insert wattage and voltage, and get the amps), amp draw chart for 100w to 20,000w heaters. Generally, a 250 watt heat lamp will draw 1.04 amps at 120 volts, 0.52 amps at 240 volts, and 0.26 amps at 480 volts. Learn. How Many Amps Does A Heat Lamp Take.
From giohphzly.blob.core.windows.net
How Many Amps Is A Heat Lamp at Cherie Kaminski blog How Many Amps Does A Heat Lamp Take You will need to know that for wiring, breaker sizing and generator sizing. Find out how many amps does a heat lamp draw for your specific model. Learn how much energy and electricity a heat lamp consumes, how much heat it produces, and how to compare different types of heat lamps. Generally, a 250 watt heat lamp will draw 1.04. How Many Amps Does A Heat Lamp Take.
From www.do-it-yourself-help.com
How to Measure Amps in a Household Electrical Circuit Doityourself How Many Amps Does A Heat Lamp Take Further on, you will find: Generally, a 250 watt heat lamp will draw 1.04 amps at 120 volts, 0.52 amps at 240 volts, and 0.26 amps at 480 volts. For comparison, a standard incandescent light bulb uses about 60 watts. Learn how much energy and electricity a heat lamp consumes, how much heat it produces, and how to compare different. How Many Amps Does A Heat Lamp Take.
From www.disposeofthings.com
How Many Amps Does a LED Light Bulb Draw? How Many Amps Does A Heat Lamp Take Heater amps calculator (just insert wattage and voltage, and get the amps), amp draw chart for 100w to 20,000w heaters. Learn how much energy and electricity a heat lamp consumes, how much heat it produces, and how to compare different types of heat lamps. Further on, you will find: Generally, a 250 watt heat lamp will draw 1.04 amps at. How Many Amps Does A Heat Lamp Take.
From morningstarhedgehogs.com
Heat Lamps How to... Safely How Many Amps Does A Heat Lamp Take We will explain how to figure out how many amps does any electric heater draw. Further on, you will find: Generally, a 250 watt heat lamp will draw 1.04 amps at 120 volts, 0.52 amps at 240 volts, and 0.26 amps at 480 volts. A typical heat lamp draws 6 to 10 amps. For comparison, a standard incandescent light bulb. How Many Amps Does A Heat Lamp Take.
From hxegllupb.blob.core.windows.net
How Many Amps Does A Heat Pump Need at Cathy Dodson blog How Many Amps Does A Heat Lamp Take The duration of use also plays. For comparison, a standard incandescent light bulb uses about 60 watts. Generally, a 250 watt heat lamp will draw 1.04 amps at 120 volts, 0.52 amps at 240 volts, and 0.26 amps at 480 volts. A typical heat lamp draws 6 to 10 amps. Learn how much energy and electricity a heat lamp consumes,. How Many Amps Does A Heat Lamp Take.
From www.pinterest.com
Home appliances and their power consumption engineeringstudents How Many Amps Does A Heat Lamp Take Generally, a 250 watt heat lamp will draw 1.04 amps at 120 volts, 0.52 amps at 240 volts, and 0.26 amps at 480 volts. Heater amps calculator (just insert wattage and voltage, and get the amps), amp draw chart for 100w to 20,000w heaters. We will explain how to figure out how many amps does any electric heater draw. A. How Many Amps Does A Heat Lamp Take.
From maisiewood.z13.web.core.windows.net
Copper Wire Ampacity Chart How Many Amps Does A Heat Lamp Take Further on, you will find: Generally, a 250 watt heat lamp will draw 1.04 amps at 120 volts, 0.52 amps at 240 volts, and 0.26 amps at 480 volts. The duration of use also plays. A typical heat lamp draws 6 to 10 amps. For comparison, a standard incandescent light bulb uses about 60 watts. Learn how much energy and. How Many Amps Does A Heat Lamp Take.
From citizenside.com
How Hot Does A Heat Lamp Get CitizenSide How Many Amps Does A Heat Lamp Take Learn how much energy and electricity a heat lamp consumes, how much heat it produces, and how to compare different types of heat lamps. The duration of use also plays. You will need to know that for wiring, breaker sizing and generator sizing. Generally, a 250 watt heat lamp will draw 1.04 amps at 120 volts, 0.52 amps at 240. How Many Amps Does A Heat Lamp Take.
From www.thecalculatorsite.com
Watts to Amps Conversion Calculator How Many Amps Does A Heat Lamp Take Learn how much energy and electricity a heat lamp consumes, how much heat it produces, and how to compare different types of heat lamps. Generally, a 250 watt heat lamp will draw 1.04 amps at 120 volts, 0.52 amps at 240 volts, and 0.26 amps at 480 volts. Find out how many amps does a heat lamp draw for your. How Many Amps Does A Heat Lamp Take.
From www.pinterest.com
Calculate the Light Needed for Any Space How Many Amps Does A Heat Lamp Take Find out how many amps does a heat lamp draw for your specific model. Heater amps calculator (just insert wattage and voltage, and get the amps), amp draw chart for 100w to 20,000w heaters. For comparison, a standard incandescent light bulb uses about 60 watts. The duration of use also plays. Learn how much energy and electricity a heat lamp. How Many Amps Does A Heat Lamp Take.
From manualpartboskier123.z22.web.core.windows.net
Maximum Watts On 20 Amp Circuit How Many Amps Does A Heat Lamp Take Further on, you will find: You will need to know that for wiring, breaker sizing and generator sizing. For comparison, a standard incandescent light bulb uses about 60 watts. The duration of use also plays. Find out how many amps does a heat lamp draw for your specific model. A typical heat lamp draws 6 to 10 amps. Generally, a. How Many Amps Does A Heat Lamp Take.
From weloveheatpumps.com
How many amps does a heat pump use? Know your requirements How Many Amps Does A Heat Lamp Take You will need to know that for wiring, breaker sizing and generator sizing. We will explain how to figure out how many amps does any electric heater draw. Find out how many amps does a heat lamp draw for your specific model. A typical heat lamp draws 6 to 10 amps. Further on, you will find: For comparison, a standard. How Many Amps Does A Heat Lamp Take.
From circuitwiringdoffs101.z13.web.core.windows.net
How Many Amps In Appliances How Many Amps Does A Heat Lamp Take A typical heat lamp draws 6 to 10 amps. We will explain how to figure out how many amps does any electric heater draw. Heater amps calculator (just insert wattage and voltage, and get the amps), amp draw chart for 100w to 20,000w heaters. You will need to know that for wiring, breaker sizing and generator sizing. Further on, you. How Many Amps Does A Heat Lamp Take.
From www.youtube.com
how to measure how many amps a lightbulb consumes using a Digital How Many Amps Does A Heat Lamp Take Find out how many amps does a heat lamp draw for your specific model. Generally, a 250 watt heat lamp will draw 1.04 amps at 120 volts, 0.52 amps at 240 volts, and 0.26 amps at 480 volts. You will need to know that for wiring, breaker sizing and generator sizing. A typical heat lamp draws 6 to 10 amps.. How Many Amps Does A Heat Lamp Take.
From myelectricwork.blogspot.co.uk
Electric Work How to figure Volts=AmpsWatts for residential water heater How Many Amps Does A Heat Lamp Take Heater amps calculator (just insert wattage and voltage, and get the amps), amp draw chart for 100w to 20,000w heaters. We will explain how to figure out how many amps does any electric heater draw. Further on, you will find: Learn how much energy and electricity a heat lamp consumes, how much heat it produces, and how to compare different. How Many Amps Does A Heat Lamp Take.
From skutojovaschematic.z4.web.core.windows.net
Amperage Chart For 15 Hp Electric Motor How Many Amps Does A Heat Lamp Take A typical heat lamp draws 6 to 10 amps. You will need to know that for wiring, breaker sizing and generator sizing. Generally, a 250 watt heat lamp will draw 1.04 amps at 120 volts, 0.52 amps at 240 volts, and 0.26 amps at 480 volts. For comparison, a standard incandescent light bulb uses about 60 watts. Heater amps calculator. How Many Amps Does A Heat Lamp Take.
From www.youtube.com
Heat Lamp Assembly YouTube How Many Amps Does A Heat Lamp Take Generally, a 250 watt heat lamp will draw 1.04 amps at 120 volts, 0.52 amps at 240 volts, and 0.26 amps at 480 volts. For comparison, a standard incandescent light bulb uses about 60 watts. A typical heat lamp draws 6 to 10 amps. You will need to know that for wiring, breaker sizing and generator sizing. Heater amps calculator. How Many Amps Does A Heat Lamp Take.
From giohphzly.blob.core.windows.net
How Many Amps Is A Heat Lamp at Cherie Kaminski blog How Many Amps Does A Heat Lamp Take Find out how many amps does a heat lamp draw for your specific model. A typical heat lamp draws 6 to 10 amps. Generally, a 250 watt heat lamp will draw 1.04 amps at 120 volts, 0.52 amps at 240 volts, and 0.26 amps at 480 volts. The duration of use also plays. Further on, you will find: Learn how. How Many Amps Does A Heat Lamp Take.
From toolsweek.com
Do Heat Lamps Use a Lot of Electricity? How Many Amps Does A Heat Lamp Take A typical heat lamp draws 6 to 10 amps. You will need to know that for wiring, breaker sizing and generator sizing. Find out how many amps does a heat lamp draw for your specific model. Learn how much energy and electricity a heat lamp consumes, how much heat it produces, and how to compare different types of heat lamps.. How Many Amps Does A Heat Lamp Take.