What Does Z X Mean . A mathematical symbol is a figure or a combination of figures that is used to represent a mathematical object, an action on. √x is a nonnegative number whose square is x. Explore the diverse meanings of zx abbreviation, including its most popular usage as zeaxanthin in biochemistry contexts. It consists of all the elements in z/nz z / n z that have an inverse. ∑ k = 1 n x k. (z/nz)× (z / n z) × often means the group of units. These elements form a group with.
from fyobbylht.blob.core.windows.net
∑ k = 1 n x k. Explore the diverse meanings of zx abbreviation, including its most popular usage as zeaxanthin in biochemistry contexts. A mathematical symbol is a figure or a combination of figures that is used to represent a mathematical object, an action on. √x is a nonnegative number whose square is x. (z/nz)× (z / n z) × often means the group of units. These elements form a group with. It consists of all the elements in z/nz z / n z that have an inverse.
What Does Z Mean In Text Messages at Connie Loomis blog
What Does Z X Mean ∑ k = 1 n x k. (z/nz)× (z / n z) × often means the group of units. ∑ k = 1 n x k. It consists of all the elements in z/nz z / n z that have an inverse. √x is a nonnegative number whose square is x. Explore the diverse meanings of zx abbreviation, including its most popular usage as zeaxanthin in biochemistry contexts. A mathematical symbol is a figure or a combination of figures that is used to represent a mathematical object, an action on. These elements form a group with.
From fyobbylht.blob.core.windows.net
What Does Z Mean In Text Messages at Connie Loomis blog What Does Z X Mean (z/nz)× (z / n z) × often means the group of units. A mathematical symbol is a figure or a combination of figures that is used to represent a mathematical object, an action on. √x is a nonnegative number whose square is x. These elements form a group with. It consists of all the elements in z/nz z / n. What Does Z X Mean.
From www.inertialearning.com
ZScore Standardization of Normal Variables InertiaLearning What Does Z X Mean √x is a nonnegative number whose square is x. (z/nz)× (z / n z) × often means the group of units. These elements form a group with. A mathematical symbol is a figure or a combination of figures that is used to represent a mathematical object, an action on. ∑ k = 1 n x k. Explore the diverse meanings. What Does Z X Mean.
From www.youtube.com
Finding Data Value X Given Sample Mean, Sample Standard Deviation and Z What Does Z X Mean It consists of all the elements in z/nz z / n z that have an inverse. These elements form a group with. √x is a nonnegative number whose square is x. (z/nz)× (z / n z) × often means the group of units. Explore the diverse meanings of zx abbreviation, including its most popular usage as zeaxanthin in biochemistry contexts.. What Does Z X Mean.
From mathsux.org
How to Calculate ZScore? Statistics Math Lessons What Does Z X Mean A mathematical symbol is a figure or a combination of figures that is used to represent a mathematical object, an action on. √x is a nonnegative number whose square is x. Explore the diverse meanings of zx abbreviation, including its most popular usage as zeaxanthin in biochemistry contexts. These elements form a group with. It consists of all the elements. What Does Z X Mean.
From www.numerade.com
SOLVED Determine the zscore for the given value of x. x=35, mean = 28 What Does Z X Mean (z/nz)× (z / n z) × often means the group of units. It consists of all the elements in z/nz z / n z that have an inverse. A mathematical symbol is a figure or a combination of figures that is used to represent a mathematical object, an action on. √x is a nonnegative number whose square is x. Explore. What Does Z X Mean.
From puessick4yugaragerepair.z14.web.core.windows.net
What Does It Mean When The Abs Light Comes On What Does Z X Mean Explore the diverse meanings of zx abbreviation, including its most popular usage as zeaxanthin in biochemistry contexts. (z/nz)× (z / n z) × often means the group of units. A mathematical symbol is a figure or a combination of figures that is used to represent a mathematical object, an action on. These elements form a group with. ∑ k =. What Does Z X Mean.
From socratic.org
How do you calculate the area if the z score is .99, mean is 0 and What Does Z X Mean These elements form a group with. √x is a nonnegative number whose square is x. ∑ k = 1 n x k. A mathematical symbol is a figure or a combination of figures that is used to represent a mathematical object, an action on. Explore the diverse meanings of zx abbreviation, including its most popular usage as zeaxanthin in biochemistry. What Does Z X Mean.
From waggumpqjgaragerepair.z13.web.core.windows.net
What Does The Wrench Light Mean On A Car What Does Z X Mean ∑ k = 1 n x k. (z/nz)× (z / n z) × often means the group of units. A mathematical symbol is a figure or a combination of figures that is used to represent a mathematical object, an action on. √x is a nonnegative number whose square is x. These elements form a group with. It consists of all. What Does Z X Mean.
From imagetou.com
Comment Calculer Le Z Score Image to u What Does Z X Mean (z/nz)× (z / n z) × often means the group of units. Explore the diverse meanings of zx abbreviation, including its most popular usage as zeaxanthin in biochemistry contexts. ∑ k = 1 n x k. These elements form a group with. A mathematical symbol is a figure or a combination of figures that is used to represent a mathematical. What Does Z X Mean.
From gionrtxkk.blob.core.windows.net
What Does Gdem Mean In Slang at Lai Morin blog What Does Z X Mean ∑ k = 1 n x k. These elements form a group with. It consists of all the elements in z/nz z / n z that have an inverse. Explore the diverse meanings of zx abbreviation, including its most popular usage as zeaxanthin in biochemistry contexts. (z/nz)× (z / n z) × often means the group of units. A mathematical. What Does Z X Mean.
From www.vrogue.co
Z Score Definition How To Calculate Z Score vrogue.co What Does Z X Mean √x is a nonnegative number whose square is x. ∑ k = 1 n x k. (z/nz)× (z / n z) × often means the group of units. These elements form a group with. Explore the diverse meanings of zx abbreviation, including its most popular usage as zeaxanthin in biochemistry contexts. It consists of all the elements in z/nz z. What Does Z X Mean.
From www.youtube.com
Find x given the zscore, sample mean, and sample standard deviation What Does Z X Mean √x is a nonnegative number whose square is x. (z/nz)× (z / n z) × often means the group of units. Explore the diverse meanings of zx abbreviation, including its most popular usage as zeaxanthin in biochemistry contexts. A mathematical symbol is a figure or a combination of figures that is used to represent a mathematical object, an action on.. What Does Z X Mean.
From giowynuvi.blob.core.windows.net
What Does A Broken Heart Mean In Medical Terms at Timothy Kolb blog What Does Z X Mean It consists of all the elements in z/nz z / n z that have an inverse. √x is a nonnegative number whose square is x. (z/nz)× (z / n z) × often means the group of units. These elements form a group with. A mathematical symbol is a figure or a combination of figures that is used to represent a. What Does Z X Mean.
From giozdslkz.blob.core.windows.net
What Does Z Mean In Complex Numbers at Alice Montgomery blog What Does Z X Mean It consists of all the elements in z/nz z / n z that have an inverse. (z/nz)× (z / n z) × often means the group of units. √x is a nonnegative number whose square is x. Explore the diverse meanings of zx abbreviation, including its most popular usage as zeaxanthin in biochemistry contexts. A mathematical symbol is a figure. What Does Z X Mean.
From exoujfitw.blob.core.windows.net
What Does A Z Test Tell You at Idell Robinson blog What Does Z X Mean (z/nz)× (z / n z) × often means the group of units. ∑ k = 1 n x k. Explore the diverse meanings of zx abbreviation, including its most popular usage as zeaxanthin in biochemistry contexts. A mathematical symbol is a figure or a combination of figures that is used to represent a mathematical object, an action on. These elements. What Does Z X Mean.
From www.inchcalculator.com
ZScore Calculator (with Formulas & Steps) Inch Calculator What Does Z X Mean (z/nz)× (z / n z) × often means the group of units. √x is a nonnegative number whose square is x. A mathematical symbol is a figure or a combination of figures that is used to represent a mathematical object, an action on. Explore the diverse meanings of zx abbreviation, including its most popular usage as zeaxanthin in biochemistry contexts.. What Does Z X Mean.
From walig4b4garagerepair.z13.web.core.windows.net
What Does 2x4 Mean On A Truck What Does Z X Mean These elements form a group with. A mathematical symbol is a figure or a combination of figures that is used to represent a mathematical object, an action on. (z/nz)× (z / n z) × often means the group of units. ∑ k = 1 n x k. √x is a nonnegative number whose square is x. Explore the diverse meanings. What Does Z X Mean.
From www.slideserve.com
PPT Calculating Zscores PowerPoint Presentation, free download ID What Does Z X Mean (z/nz)× (z / n z) × often means the group of units. √x is a nonnegative number whose square is x. It consists of all the elements in z/nz z / n z that have an inverse. ∑ k = 1 n x k. Explore the diverse meanings of zx abbreviation, including its most popular usage as zeaxanthin in biochemistry. What Does Z X Mean.
From tutorialstops.blogspot.com
How To Get Z Score From Mean And Standard Deviation What Does Z X Mean These elements form a group with. ∑ k = 1 n x k. (z/nz)× (z / n z) × often means the group of units. Explore the diverse meanings of zx abbreviation, including its most popular usage as zeaxanthin in biochemistry contexts. √x is a nonnegative number whose square is x. It consists of all the elements in z/nz z. What Does Z X Mean.
From puessick4yugaragerepair.z14.web.core.windows.net
What Does 4x4 Mean On A Suv What Does Z X Mean A mathematical symbol is a figure or a combination of figures that is used to represent a mathematical object, an action on. Explore the diverse meanings of zx abbreviation, including its most popular usage as zeaxanthin in biochemistry contexts. √x is a nonnegative number whose square is x. (z/nz)× (z / n z) × often means the group of units.. What Does Z X Mean.
From socratic.org
How do I find the corresponding xscores for a zscore of .40, if it What Does Z X Mean ∑ k = 1 n x k. √x is a nonnegative number whose square is x. A mathematical symbol is a figure or a combination of figures that is used to represent a mathematical object, an action on. It consists of all the elements in z/nz z / n z that have an inverse. (z/nz)× (z / n z) ×. What Does Z X Mean.
From printableendettementjr.z21.web.core.windows.net
List Of Math Symbols And Their Meanings What Does Z X Mean A mathematical symbol is a figure or a combination of figures that is used to represent a mathematical object, an action on. Explore the diverse meanings of zx abbreviation, including its most popular usage as zeaxanthin in biochemistry contexts. These elements form a group with. √x is a nonnegative number whose square is x. It consists of all the elements. What Does Z X Mean.
From www.numerade.com
SOLVED A variable x is normally distributed with mean 17 and standard What Does Z X Mean √x is a nonnegative number whose square is x. A mathematical symbol is a figure or a combination of figures that is used to represent a mathematical object, an action on. It consists of all the elements in z/nz z / n z that have an inverse. (z/nz)× (z / n z) × often means the group of units. Explore. What Does Z X Mean.
From www.youtube.com
What does Z, N, Q and R stand for in set notation YouTube What Does Z X Mean √x is a nonnegative number whose square is x. A mathematical symbol is a figure or a combination of figures that is used to represent a mathematical object, an action on. Explore the diverse meanings of zx abbreviation, including its most popular usage as zeaxanthin in biochemistry contexts. These elements form a group with. It consists of all the elements. What Does Z X Mean.
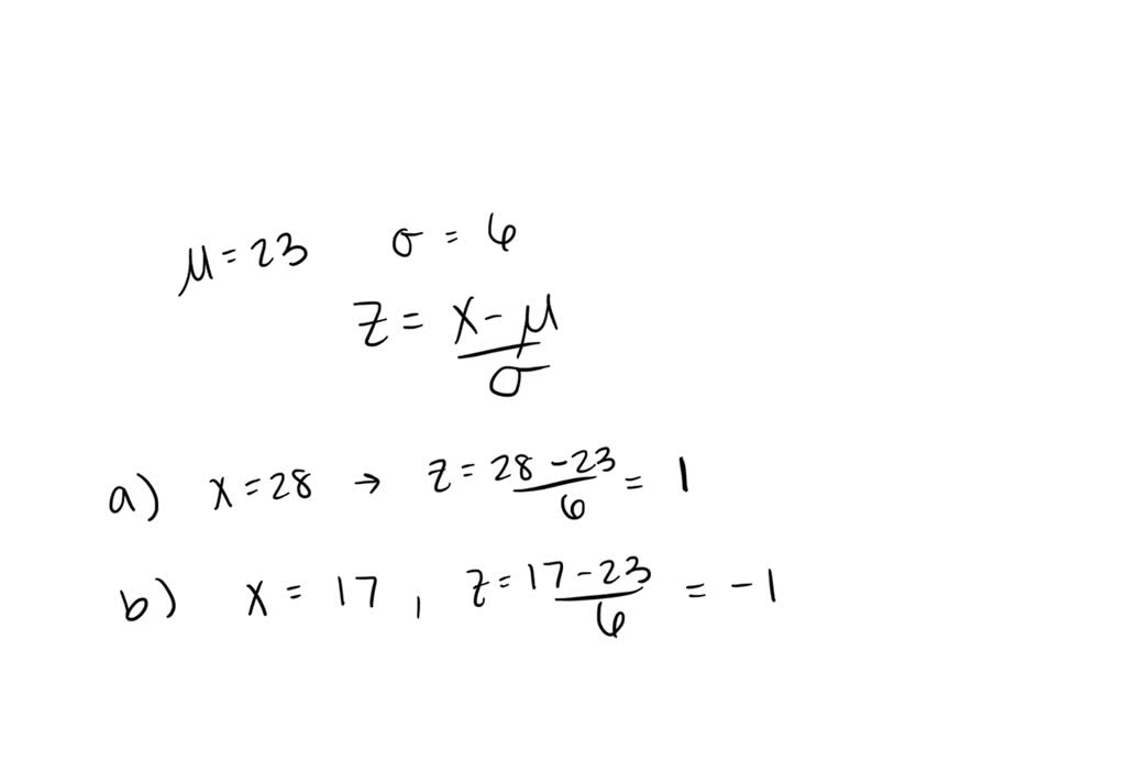
From www.numerade.com
SOLVED A variable x is normally distributed with mean 23 and standard What Does Z X Mean These elements form a group with. √x is a nonnegative number whose square is x. A mathematical symbol is a figure or a combination of figures that is used to represent a mathematical object, an action on. It consists of all the elements in z/nz z / n z that have an inverse. (z/nz)× (z / n z) × often. What Does Z X Mean.
From www.youtube.com
Probability of z given mean and standard deviation YouTube What Does Z X Mean ∑ k = 1 n x k. A mathematical symbol is a figure or a combination of figures that is used to represent a mathematical object, an action on. It consists of all the elements in z/nz z / n z that have an inverse. Explore the diverse meanings of zx abbreviation, including its most popular usage as zeaxanthin in. What Does Z X Mean.
From romanshoubuks2studyquizz.z13.web.core.windows.net
What Does 4x2 Mean On A Vehicle What Does Z X Mean These elements form a group with. √x is a nonnegative number whose square is x. ∑ k = 1 n x k. (z/nz)× (z / n z) × often means the group of units. Explore the diverse meanings of zx abbreviation, including its most popular usage as zeaxanthin in biochemistry contexts. It consists of all the elements in z/nz z. What Does Z X Mean.
From toffolinni1garagerepair.z14.web.core.windows.net
What Does Oe Mean In Car Parts What Does Z X Mean Explore the diverse meanings of zx abbreviation, including its most popular usage as zeaxanthin in biochemistry contexts. These elements form a group with. It consists of all the elements in z/nz z / n z that have an inverse. ∑ k = 1 n x k. √x is a nonnegative number whose square is x. A mathematical symbol is a. What Does Z X Mean.
From www.numerade.com
Assume that X is normally distributed with a mean of 10 and a standard What Does Z X Mean ∑ k = 1 n x k. Explore the diverse meanings of zx abbreviation, including its most popular usage as zeaxanthin in biochemistry contexts. These elements form a group with. √x is a nonnegative number whose square is x. It consists of all the elements in z/nz z / n z that have an inverse. (z/nz)× (z / n z). What Does Z X Mean.
From taumelno8pworkshopfix.z13.web.core.windows.net
What Does It Mean When Tire Pressure Light Is Blinking What Does Z X Mean √x is a nonnegative number whose square is x. It consists of all the elements in z/nz z / n z that have an inverse. ∑ k = 1 n x k. A mathematical symbol is a figure or a combination of figures that is used to represent a mathematical object, an action on. These elements form a group with.. What Does Z X Mean.
From socratic.org
The standard deviation of a normal random variable X is 20. Given that P(X What Does Z X Mean These elements form a group with. Explore the diverse meanings of zx abbreviation, including its most popular usage as zeaxanthin in biochemistry contexts. (z/nz)× (z / n z) × often means the group of units. A mathematical symbol is a figure or a combination of figures that is used to represent a mathematical object, an action on. It consists of. What Does Z X Mean.
From www.animalia-life.club
Z Score Formula For Sample Mean What Does Z X Mean These elements form a group with. √x is a nonnegative number whose square is x. ∑ k = 1 n x k. A mathematical symbol is a figure or a combination of figures that is used to represent a mathematical object, an action on. It consists of all the elements in z/nz z / n z that have an inverse.. What Does Z X Mean.
From www.youtube.com
Let X be a random variable following normal distribution with mean +1 What Does Z X Mean Explore the diverse meanings of zx abbreviation, including its most popular usage as zeaxanthin in biochemistry contexts. (z/nz)× (z / n z) × often means the group of units. It consists of all the elements in z/nz z / n z that have an inverse. √x is a nonnegative number whose square is x. A mathematical symbol is a figure. What Does Z X Mean.
From www.youtube.com
Calculating Standard Deviation Given Population Mean, Data Point and Z What Does Z X Mean Explore the diverse meanings of zx abbreviation, including its most popular usage as zeaxanthin in biochemistry contexts. It consists of all the elements in z/nz z / n z that have an inverse. √x is a nonnegative number whose square is x. ∑ k = 1 n x k. A mathematical symbol is a figure or a combination of figures. What Does Z X Mean.
From giogyzlmq.blob.core.windows.net
What Does Iz Mean In Texting at Eugene Tobey blog What Does Z X Mean A mathematical symbol is a figure or a combination of figures that is used to represent a mathematical object, an action on. These elements form a group with. (z/nz)× (z / n z) × often means the group of units. ∑ k = 1 n x k. It consists of all the elements in z/nz z / n z that. What Does Z X Mean.