Golf Ball Altitude Calculator . Altitude does affect golf ball performance. The golf ball flies further at higher altitudes, mainly due to the change in air density, which decreases as elevation increases. Enter your home location and where you’ll be traveling, and we’ll check the difference in altitude to find out how to adjust your distances. Enter either swing speed (mph) or desired carry distance (yards), and select a city for its elevation: The table below displays how far a ball travels at home vs how far you can expect it to go at your destination. The calculator helps golfers adjust their shot distances based on the altitude of the course they are playing on. When the best players in the world have trouble calculating yardages at altitude, you. How to calculate golf yardages at altitude. A golf distance altitude calculator is a tool that helps golfers adjust their shots based on the elevation of the course they’re playing.
from www.pnwgolftournaments.com
How to calculate golf yardages at altitude. The calculator helps golfers adjust their shot distances based on the altitude of the course they are playing on. A golf distance altitude calculator is a tool that helps golfers adjust their shots based on the elevation of the course they’re playing. Enter either swing speed (mph) or desired carry distance (yards), and select a city for its elevation: When the best players in the world have trouble calculating yardages at altitude, you. Enter your home location and where you’ll be traveling, and we’ll check the difference in altitude to find out how to adjust your distances. The golf ball flies further at higher altitudes, mainly due to the change in air density, which decreases as elevation increases. Altitude does affect golf ball performance. The table below displays how far a ball travels at home vs how far you can expect it to go at your destination.
Golf Ball Distance at Elevation Calculator — Pacific Northwest Golf
Golf Ball Altitude Calculator Enter your home location and where you’ll be traveling, and we’ll check the difference in altitude to find out how to adjust your distances. Altitude does affect golf ball performance. A golf distance altitude calculator is a tool that helps golfers adjust their shots based on the elevation of the course they’re playing. Enter either swing speed (mph) or desired carry distance (yards), and select a city for its elevation: The calculator helps golfers adjust their shot distances based on the altitude of the course they are playing on. The table below displays how far a ball travels at home vs how far you can expect it to go at your destination. How to calculate golf yardages at altitude. When the best players in the world have trouble calculating yardages at altitude, you. Enter your home location and where you’ll be traveling, and we’ll check the difference in altitude to find out how to adjust your distances. The golf ball flies further at higher altitudes, mainly due to the change in air density, which decreases as elevation increases.
From www.pgatoursuperstore.com
Callaway Chrome Soft 360 Triple Track Golf Balls PGA TOUR Superstore Golf Ball Altitude Calculator The calculator helps golfers adjust their shot distances based on the altitude of the course they are playing on. When the best players in the world have trouble calculating yardages at altitude, you. Altitude does affect golf ball performance. The table below displays how far a ball travels at home vs how far you can expect it to go at. Golf Ball Altitude Calculator.
From www.solutionspile.com
[Solved] Calculate how high NA of golf balls would reach if Golf Ball Altitude Calculator Enter your home location and where you’ll be traveling, and we’ll check the difference in altitude to find out how to adjust your distances. The table below displays how far a ball travels at home vs how far you can expect it to go at your destination. Enter either swing speed (mph) or desired carry distance (yards), and select a. Golf Ball Altitude Calculator.
From www.solutionspile.com
[Solved] A golf ball is hit in the direction of a 12 metr Golf Ball Altitude Calculator How to calculate golf yardages at altitude. Enter your home location and where you’ll be traveling, and we’ll check the difference in altitude to find out how to adjust your distances. The table below displays how far a ball travels at home vs how far you can expect it to go at your destination. The golf ball flies further at. Golf Ball Altitude Calculator.
From www.skrjapan.com
How to Calculate the Quadratic Equation for the Golf Ball’s Flight Path Golf Ball Altitude Calculator Altitude does affect golf ball performance. A golf distance altitude calculator is a tool that helps golfers adjust their shots based on the elevation of the course they’re playing. Enter either swing speed (mph) or desired carry distance (yards), and select a city for its elevation: The golf ball flies further at higher altitudes, mainly due to the change in. Golf Ball Altitude Calculator.
From www.pinterest.com
Here's how much heat and altitude affects your golf shots, according to Golf Ball Altitude Calculator A golf distance altitude calculator is a tool that helps golfers adjust their shots based on the elevation of the course they’re playing. Altitude does affect golf ball performance. The golf ball flies further at higher altitudes, mainly due to the change in air density, which decreases as elevation increases. The table below displays how far a ball travels at. Golf Ball Altitude Calculator.
From www.golfballs.com
Cleveland Golf 588 Altitude Driver Golf Ball Altitude Calculator The calculator helps golfers adjust their shot distances based on the altitude of the course they are playing on. Altitude does affect golf ball performance. How to calculate golf yardages at altitude. A golf distance altitude calculator is a tool that helps golfers adjust their shots based on the elevation of the course they’re playing. Enter your home location and. Golf Ball Altitude Calculator.
From www.titleist.ca
The Effect of Altitude on Golf Ball Performance South East Asia Golf Ball Altitude Calculator The table below displays how far a ball travels at home vs how far you can expect it to go at your destination. The golf ball flies further at higher altitudes, mainly due to the change in air density, which decreases as elevation increases. Enter either swing speed (mph) or desired carry distance (yards), and select a city for its. Golf Ball Altitude Calculator.
From www.dreamstime.com
Golf Character Stock Illustrations 4,555 Golf Character Stock Golf Ball Altitude Calculator A golf distance altitude calculator is a tool that helps golfers adjust their shots based on the elevation of the course they’re playing. The golf ball flies further at higher altitudes, mainly due to the change in air density, which decreases as elevation increases. The table below displays how far a ball travels at home vs how far you can. Golf Ball Altitude Calculator.
From sidelineswap.com
Callaway 50 Pack Chrome Soft Soccer Golf Balls SidelineSwap Golf Ball Altitude Calculator Enter either swing speed (mph) or desired carry distance (yards), and select a city for its elevation: The table below displays how far a ball travels at home vs how far you can expect it to go at your destination. Enter your home location and where you’ll be traveling, and we’ll check the difference in altitude to find out how. Golf Ball Altitude Calculator.
From golferspassion.com
Golf Ball Flight Laws What You Need To Know Golfers Passion Golf Ball Altitude Calculator The calculator helps golfers adjust their shot distances based on the altitude of the course they are playing on. The table below displays how far a ball travels at home vs how far you can expect it to go at your destination. Altitude does affect golf ball performance. The golf ball flies further at higher altitudes, mainly due to the. Golf Ball Altitude Calculator.
From www.titleist.ca
The Effect of Altitude on Golf Ball Aerodynamics Titleist Team Titleist Golf Ball Altitude Calculator Altitude does affect golf ball performance. How to calculate golf yardages at altitude. The golf ball flies further at higher altitudes, mainly due to the change in air density, which decreases as elevation increases. Enter your home location and where you’ll be traveling, and we’ll check the difference in altitude to find out how to adjust your distances. Enter either. Golf Ball Altitude Calculator.
From golferpros.com
Volume Of A Golf Ball (How To Calculate) Golf Ball Altitude Calculator How to calculate golf yardages at altitude. Enter your home location and where you’ll be traveling, and we’ll check the difference in altitude to find out how to adjust your distances. The table below displays how far a ball travels at home vs how far you can expect it to go at your destination. Altitude does affect golf ball performance.. Golf Ball Altitude Calculator.
From golferpros.com
Volume Of A Golf Ball (How To Calculate) Golf Ball Altitude Calculator A golf distance altitude calculator is a tool that helps golfers adjust their shots based on the elevation of the course they’re playing. The table below displays how far a ball travels at home vs how far you can expect it to go at your destination. The golf ball flies further at higher altitudes, mainly due to the change in. Golf Ball Altitude Calculator.
From www.chegg.com
Solved A golfer strikes a golf ball and the ball leaves his Golf Ball Altitude Calculator The golf ball flies further at higher altitudes, mainly due to the change in air density, which decreases as elevation increases. A golf distance altitude calculator is a tool that helps golfers adjust their shots based on the elevation of the course they’re playing. The calculator helps golfers adjust their shot distances based on the altitude of the course they. Golf Ball Altitude Calculator.
From yasminbibi.z19.web.core.windows.net
Golf Ball Distance Temperature Chart Golf Ball Altitude Calculator The table below displays how far a ball travels at home vs how far you can expect it to go at your destination. A golf distance altitude calculator is a tool that helps golfers adjust their shots based on the elevation of the course they’re playing. Enter your home location and where you’ll be traveling, and we’ll check the difference. Golf Ball Altitude Calculator.
From fyoiraomr.blob.core.windows.net
Distance A Golf Ball Travels After Being Hit With A Driver at Krista Golf Ball Altitude Calculator A golf distance altitude calculator is a tool that helps golfers adjust their shots based on the elevation of the course they’re playing. Enter your home location and where you’ll be traveling, and we’ll check the difference in altitude to find out how to adjust your distances. The table below displays how far a ball travels at home vs how. Golf Ball Altitude Calculator.
From www.clubupgolf.com
Golf Distance Altitude Calculator Golf Ball Altitude Calculator A golf distance altitude calculator is a tool that helps golfers adjust their shots based on the elevation of the course they’re playing. Enter your home location and where you’ll be traveling, and we’ll check the difference in altitude to find out how to adjust your distances. When the best players in the world have trouble calculating yardages at altitude,. Golf Ball Altitude Calculator.
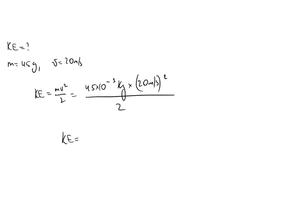
From www.numerade.com
SOLVED Calculate the energy of a 45 gram golf ball traveling Golf Ball Altitude Calculator How to calculate golf yardages at altitude. The calculator helps golfers adjust their shot distances based on the altitude of the course they are playing on. Enter either swing speed (mph) or desired carry distance (yards), and select a city for its elevation: Enter your home location and where you’ll be traveling, and we’ll check the difference in altitude to. Golf Ball Altitude Calculator.
From greenvalleyccofri.com
Golf Ball Distance Calculator? Green Valley Ccofri Golf Ball Altitude Calculator Altitude does affect golf ball performance. The golf ball flies further at higher altitudes, mainly due to the change in air density, which decreases as elevation increases. The calculator helps golfers adjust their shot distances based on the altitude of the course they are playing on. How to calculate golf yardages at altitude. Enter either swing speed (mph) or desired. Golf Ball Altitude Calculator.
From golferpros.com
Volume Of A Golf Ball (How To Calculate) Golf Ball Altitude Calculator When the best players in the world have trouble calculating yardages at altitude, you. The golf ball flies further at higher altitudes, mainly due to the change in air density, which decreases as elevation increases. The table below displays how far a ball travels at home vs how far you can expect it to go at your destination. Enter your. Golf Ball Altitude Calculator.
From www.pnwgolftournaments.com
Golf Ball Distance at Elevation Calculator — Pacific Northwest Golf Golf Ball Altitude Calculator Altitude does affect golf ball performance. How to calculate golf yardages at altitude. The golf ball flies further at higher altitudes, mainly due to the change in air density, which decreases as elevation increases. When the best players in the world have trouble calculating yardages at altitude, you. A golf distance altitude calculator is a tool that helps golfers adjust. Golf Ball Altitude Calculator.
From www.golfexpertconsulting.com
Golf Course Consulting Altitude, Temperature, Elevation Changes Golf Ball Altitude Calculator Altitude does affect golf ball performance. How to calculate golf yardages at altitude. The calculator helps golfers adjust their shot distances based on the altitude of the course they are playing on. Enter your home location and where you’ll be traveling, and we’ll check the difference in altitude to find out how to adjust your distances. The golf ball flies. Golf Ball Altitude Calculator.
From morganwells.z19.web.core.windows.net
Iron Launch Angle Chart Golf Ball Altitude Calculator How to calculate golf yardages at altitude. Enter your home location and where you’ll be traveling, and we’ll check the difference in altitude to find out how to adjust your distances. Altitude does affect golf ball performance. The calculator helps golfers adjust their shot distances based on the altitude of the course they are playing on. The golf ball flies. Golf Ball Altitude Calculator.
From greenvalleyccofri.com
Golf Ball Speed Distance Calculator? Green Valley Ccofri Golf Ball Altitude Calculator When the best players in the world have trouble calculating yardages at altitude, you. The calculator helps golfers adjust their shot distances based on the altitude of the course they are playing on. How to calculate golf yardages at altitude. Altitude does affect golf ball performance. Enter your home location and where you’ll be traveling, and we’ll check the difference. Golf Ball Altitude Calculator.
From www.dreamstime.com
Golf Ball Character Using Calculator Stock Illustration Illustration Golf Ball Altitude Calculator The table below displays how far a ball travels at home vs how far you can expect it to go at your destination. How to calculate golf yardages at altitude. The golf ball flies further at higher altitudes, mainly due to the change in air density, which decreases as elevation increases. When the best players in the world have trouble. Golf Ball Altitude Calculator.
From www.toppr.com
Problem 2.16 A golf ball has a mass of 40g, and a speed of 45 m/s. If Golf Ball Altitude Calculator How to calculate golf yardages at altitude. The table below displays how far a ball travels at home vs how far you can expect it to go at your destination. Altitude does affect golf ball performance. Enter your home location and where you’ll be traveling, and we’ll check the difference in altitude to find out how to adjust your distances.. Golf Ball Altitude Calculator.
From weekendgolf.co
Ball Speed to Swing Speed Conversion 2023 Calculator & Chart Golf Ball Altitude Calculator Enter your home location and where you’ll be traveling, and we’ll check the difference in altitude to find out how to adjust your distances. The table below displays how far a ball travels at home vs how far you can expect it to go at your destination. Enter either swing speed (mph) or desired carry distance (yards), and select a. Golf Ball Altitude Calculator.
From www.pinterest.com
Kilimanjaro Altitude Golf Balls giraffe africa safari kilimanjaro Golf Ball Altitude Calculator How to calculate golf yardages at altitude. The table below displays how far a ball travels at home vs how far you can expect it to go at your destination. A golf distance altitude calculator is a tool that helps golfers adjust their shots based on the elevation of the course they’re playing. Enter either swing speed (mph) or desired. Golf Ball Altitude Calculator.
From golfballsworld.com
How High Altitude Affects Golf Balls Golf Better Golf Ball Altitude Calculator A golf distance altitude calculator is a tool that helps golfers adjust their shots based on the elevation of the course they’re playing. The calculator helps golfers adjust their shot distances based on the altitude of the course they are playing on. Enter your home location and where you’ll be traveling, and we’ll check the difference in altitude to find. Golf Ball Altitude Calculator.
From hittingthegolfball.com
Golf Swing Speed Distance Calculator Distance For Each Club Golf Ball Altitude Calculator The calculator helps golfers adjust their shot distances based on the altitude of the course they are playing on. Altitude does affect golf ball performance. When the best players in the world have trouble calculating yardages at altitude, you. The table below displays how far a ball travels at home vs how far you can expect it to go at. Golf Ball Altitude Calculator.
From golfingfocus.com
What Affects Golf Ball Distance? Beware ALL the Uncontrollables! Golf Ball Altitude Calculator The golf ball flies further at higher altitudes, mainly due to the change in air density, which decreases as elevation increases. Altitude does affect golf ball performance. A golf distance altitude calculator is a tool that helps golfers adjust their shots based on the elevation of the course they’re playing. When the best players in the world have trouble calculating. Golf Ball Altitude Calculator.
From theleftrough.com
The Impact of Elevation and Altitude on Distance in Golf The Left Rough Golf Ball Altitude Calculator How to calculate golf yardages at altitude. Altitude does affect golf ball performance. A golf distance altitude calculator is a tool that helps golfers adjust their shots based on the elevation of the course they’re playing. The calculator helps golfers adjust their shot distances based on the altitude of the course they are playing on. When the best players in. Golf Ball Altitude Calculator.
From www.toppr.com
01. A golfer strikes a golf ball of mass 0.05 kg, and the time of Golf Ball Altitude Calculator When the best players in the world have trouble calculating yardages at altitude, you. Enter either swing speed (mph) or desired carry distance (yards), and select a city for its elevation: How to calculate golf yardages at altitude. Enter your home location and where you’ll be traveling, and we’ll check the difference in altitude to find out how to adjust. Golf Ball Altitude Calculator.
From hittingthegolfball.com
Golf Shaft Flex Calculator What Club Flex Should You Buy? Golf Ball Altitude Calculator When the best players in the world have trouble calculating yardages at altitude, you. The calculator helps golfers adjust their shot distances based on the altitude of the course they are playing on. Altitude does affect golf ball performance. A golf distance altitude calculator is a tool that helps golfers adjust their shots based on the elevation of the course. Golf Ball Altitude Calculator.
From www.calameo.com
Calaméo Golf Altitude 2021 Golf Ball Altitude Calculator A golf distance altitude calculator is a tool that helps golfers adjust their shots based on the elevation of the course they’re playing. How to calculate golf yardages at altitude. The table below displays how far a ball travels at home vs how far you can expect it to go at your destination. Enter either swing speed (mph) or desired. Golf Ball Altitude Calculator.