Bubble Bath Vulvovaginitis . Most vaginal itching or discomfort is due to. Vulvovaginitis is caused by irritation of the skin by urine, moisture or other irritants (soap, bubble baths, detergents). Add half a cup of white vinegar to a shallow bath and soak. Some people find vinegar baths helpful: Vulvovaginitis is caused by irritation of the skin by urine, moisture or other irritants (soap, bubble baths, detergents); Before puberty, the lining of the vulva is very thin and sensitive to any product containing soap. And is often made worse by. Avoid using soap in the sensitive vulvar area; Avoid bubble baths and antibacterial products. Irritation of the genital area due to detergents, harsh soaps, chemicals such as chlorine, bubble baths, poor hygiene. Do not use bubble bath or add anything else to bath water unless prescribed by your doctor.
from www.slideserve.com
Before puberty, the lining of the vulva is very thin and sensitive to any product containing soap. Irritation of the genital area due to detergents, harsh soaps, chemicals such as chlorine, bubble baths, poor hygiene. Most vaginal itching or discomfort is due to. Some people find vinegar baths helpful: Vulvovaginitis is caused by irritation of the skin by urine, moisture or other irritants (soap, bubble baths, detergents). Avoid bubble baths and antibacterial products. Avoid using soap in the sensitive vulvar area; And is often made worse by. Add half a cup of white vinegar to a shallow bath and soak. Do not use bubble bath or add anything else to bath water unless prescribed by your doctor.
PPT Vulvovaginitis PowerPoint Presentation, free download ID248440
Bubble Bath Vulvovaginitis Vulvovaginitis is caused by irritation of the skin by urine, moisture or other irritants (soap, bubble baths, detergents); Vulvovaginitis is caused by irritation of the skin by urine, moisture or other irritants (soap, bubble baths, detergents). Most vaginal itching or discomfort is due to. Vulvovaginitis is caused by irritation of the skin by urine, moisture or other irritants (soap, bubble baths, detergents); Some people find vinegar baths helpful: Do not use bubble bath or add anything else to bath water unless prescribed by your doctor. Before puberty, the lining of the vulva is very thin and sensitive to any product containing soap. And is often made worse by. Avoid bubble baths and antibacterial products. Irritation of the genital area due to detergents, harsh soaps, chemicals such as chlorine, bubble baths, poor hygiene. Add half a cup of white vinegar to a shallow bath and soak. Avoid using soap in the sensitive vulvar area;
From www.slideshare.net
vulvo vaginal infection Bubble Bath Vulvovaginitis Avoid using soap in the sensitive vulvar area; Before puberty, the lining of the vulva is very thin and sensitive to any product containing soap. Vulvovaginitis is caused by irritation of the skin by urine, moisture or other irritants (soap, bubble baths, detergents); Do not use bubble bath or add anything else to bath water unless prescribed by your doctor.. Bubble Bath Vulvovaginitis.
From www.slideserve.com
PPT Genital Tract Obstruction PowerPoint Presentation, free download Bubble Bath Vulvovaginitis Do not use bubble bath or add anything else to bath water unless prescribed by your doctor. Most vaginal itching or discomfort is due to. Vulvovaginitis is caused by irritation of the skin by urine, moisture or other irritants (soap, bubble baths, detergents); Avoid bubble baths and antibacterial products. And is often made worse by. Irritation of the genital area. Bubble Bath Vulvovaginitis.
From bodyandearth.shop
What Are Bubble Bath Benefits? Body & Earth Inc Bubble Bath Vulvovaginitis Do not use bubble bath or add anything else to bath water unless prescribed by your doctor. Most vaginal itching or discomfort is due to. Vulvovaginitis is caused by irritation of the skin by urine, moisture or other irritants (soap, bubble baths, detergents). Vulvovaginitis is caused by irritation of the skin by urine, moisture or other irritants (soap, bubble baths,. Bubble Bath Vulvovaginitis.
From www.popsugar.com
Can Bubble Baths Cause Yeast Infections? POPSUGAR Fitness Bubble Bath Vulvovaginitis And is often made worse by. Most vaginal itching or discomfort is due to. Vulvovaginitis is caused by irritation of the skin by urine, moisture or other irritants (soap, bubble baths, detergents). Avoid using soap in the sensitive vulvar area; Do not use bubble bath or add anything else to bath water unless prescribed by your doctor. Add half a. Bubble Bath Vulvovaginitis.
From healthify.nz
Vulvovaginitis in girls Healthify Bubble Bath Vulvovaginitis Do not use bubble bath or add anything else to bath water unless prescribed by your doctor. Avoid bubble baths and antibacterial products. Add half a cup of white vinegar to a shallow bath and soak. And is often made worse by. Before puberty, the lining of the vulva is very thin and sensitive to any product containing soap. Avoid. Bubble Bath Vulvovaginitis.
From www.studocu.com
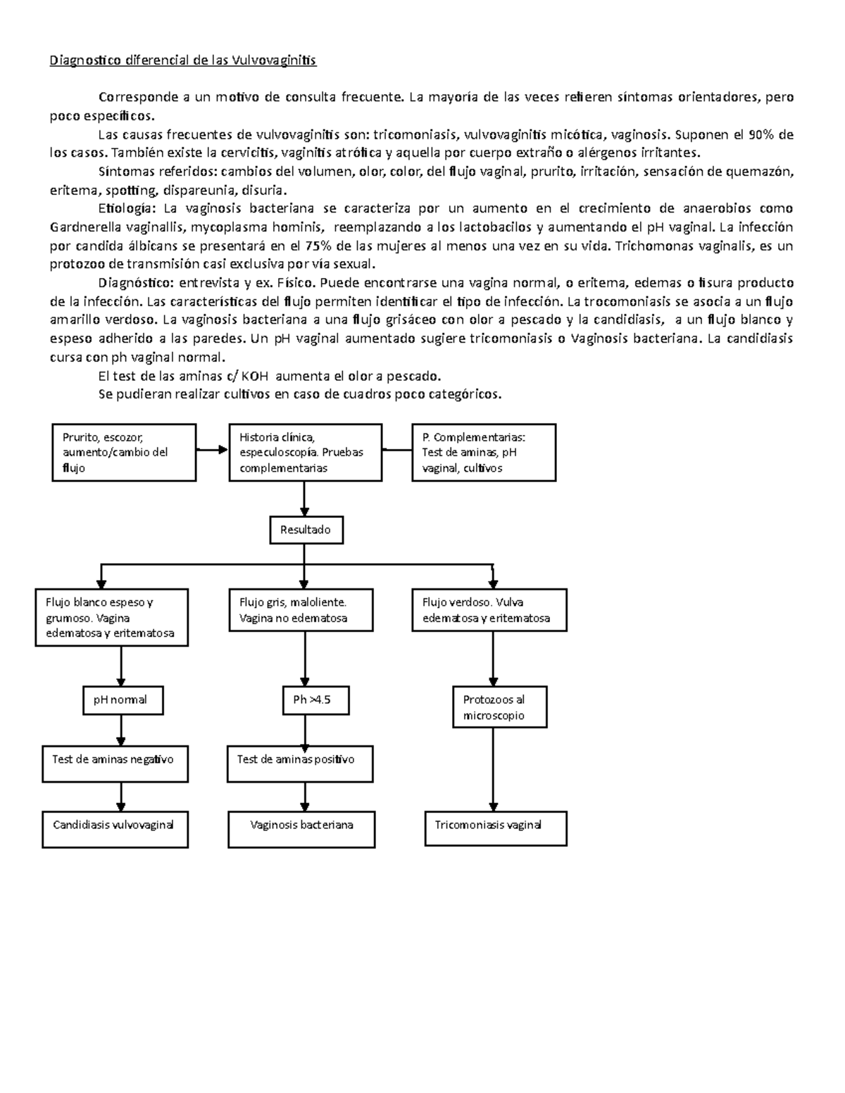
Diagnostico diferencial de las Vulvovaginitis Diagnostico diferencial Bubble Bath Vulvovaginitis Before puberty, the lining of the vulva is very thin and sensitive to any product containing soap. Add half a cup of white vinegar to a shallow bath and soak. Some people find vinegar baths helpful: Avoid bubble baths and antibacterial products. Avoid using soap in the sensitive vulvar area; Most vaginal itching or discomfort is due to. Vulvovaginitis is. Bubble Bath Vulvovaginitis.
From www.slideshare.net
vulvo vaginal infection Bubble Bath Vulvovaginitis Irritation of the genital area due to detergents, harsh soaps, chemicals such as chlorine, bubble baths, poor hygiene. Avoid using soap in the sensitive vulvar area; Vulvovaginitis is caused by irritation of the skin by urine, moisture or other irritants (soap, bubble baths, detergents); And is often made worse by. Add half a cup of white vinegar to a shallow. Bubble Bath Vulvovaginitis.
From www.udocz.com
Vulvovaginitis causas Alejandro Puntillo uDocz Bubble Bath Vulvovaginitis Most vaginal itching or discomfort is due to. Vulvovaginitis is caused by irritation of the skin by urine, moisture or other irritants (soap, bubble baths, detergents); Do not use bubble bath or add anything else to bath water unless prescribed by your doctor. Avoid bubble baths and antibacterial products. Avoid using soap in the sensitive vulvar area; Irritation of the. Bubble Bath Vulvovaginitis.
From www.udocz.com
Vulvovaginitis Vane Sánchez uDocz Bubble Bath Vulvovaginitis Most vaginal itching or discomfort is due to. Do not use bubble bath or add anything else to bath water unless prescribed by your doctor. Irritation of the genital area due to detergents, harsh soaps, chemicals such as chlorine, bubble baths, poor hygiene. And is often made worse by. Some people find vinegar baths helpful: Vulvovaginitis is caused by irritation. Bubble Bath Vulvovaginitis.
From wisdomapothecary.com
VULVOVAGINITIS TRATAMIENTOS NATURALES PARA EL ALIVIO DE SÍNTOMAS Bubble Bath Vulvovaginitis Avoid using soap in the sensitive vulvar area; Irritation of the genital area due to detergents, harsh soaps, chemicals such as chlorine, bubble baths, poor hygiene. Add half a cup of white vinegar to a shallow bath and soak. Vulvovaginitis is caused by irritation of the skin by urine, moisture or other irritants (soap, bubble baths, detergents); Most vaginal itching. Bubble Bath Vulvovaginitis.
From www.osmosis.org
Vulvovaginal candidiasis Clinical sciences Osmosis Video Library Bubble Bath Vulvovaginitis Do not use bubble bath or add anything else to bath water unless prescribed by your doctor. Most vaginal itching or discomfort is due to. And is often made worse by. Add half a cup of white vinegar to a shallow bath and soak. Avoid using soap in the sensitive vulvar area; Vulvovaginitis is caused by irritation of the skin. Bubble Bath Vulvovaginitis.
From www.toplinemd.com
Vulvovaginitis Causes, Symptoms, and Treatment Trogolo Obstetrics Bubble Bath Vulvovaginitis Vulvovaginitis is caused by irritation of the skin by urine, moisture or other irritants (soap, bubble baths, detergents). Vulvovaginitis is caused by irritation of the skin by urine, moisture or other irritants (soap, bubble baths, detergents); Some people find vinegar baths helpful: Avoid bubble baths and antibacterial products. Irritation of the genital area due to detergents, harsh soaps, chemicals such. Bubble Bath Vulvovaginitis.
From ar.inspiredpencil.com
Vulvovaginitis Symptoms Bubble Bath Vulvovaginitis And is often made worse by. Some people find vinegar baths helpful: Do not use bubble bath or add anything else to bath water unless prescribed by your doctor. Avoid bubble baths and antibacterial products. Add half a cup of white vinegar to a shallow bath and soak. Vulvovaginitis is caused by irritation of the skin by urine, moisture or. Bubble Bath Vulvovaginitis.
From actifemme.com
Vulvovaginitis o Vaginosis Bacteriana (VB) ¿Qué és? Actifemme® Bubble Bath Vulvovaginitis Vulvovaginitis is caused by irritation of the skin by urine, moisture or other irritants (soap, bubble baths, detergents); Avoid bubble baths and antibacterial products. Do not use bubble bath or add anything else to bath water unless prescribed by your doctor. Irritation of the genital area due to detergents, harsh soaps, chemicals such as chlorine, bubble baths, poor hygiene. Before. Bubble Bath Vulvovaginitis.
From ar.pinterest.com
Sketch Med Paola Rios on Instagram “En caso de Vulvovaginitis tener Bubble Bath Vulvovaginitis Most vaginal itching or discomfort is due to. Avoid using soap in the sensitive vulvar area; Irritation of the genital area due to detergents, harsh soaps, chemicals such as chlorine, bubble baths, poor hygiene. Before puberty, the lining of the vulva is very thin and sensitive to any product containing soap. Some people find vinegar baths helpful: Avoid bubble baths. Bubble Bath Vulvovaginitis.
From my.clevelandclinic.org
Vulvovaginitis Toddler Symptoms, Causes & Treatment Bubble Bath Vulvovaginitis Add half a cup of white vinegar to a shallow bath and soak. Most vaginal itching or discomfort is due to. Before puberty, the lining of the vulva is very thin and sensitive to any product containing soap. Vulvovaginitis is caused by irritation of the skin by urine, moisture or other irritants (soap, bubble baths, detergents); Do not use bubble. Bubble Bath Vulvovaginitis.
From www.slideshare.net
vulvo vaginal infection Bubble Bath Vulvovaginitis Do not use bubble bath or add anything else to bath water unless prescribed by your doctor. Irritation of the genital area due to detergents, harsh soaps, chemicals such as chlorine, bubble baths, poor hygiene. Avoid using soap in the sensitive vulvar area; Vulvovaginitis is caused by irritation of the skin by urine, moisture or other irritants (soap, bubble baths,. Bubble Bath Vulvovaginitis.
From rachelarthur.com.au
Update in Under 30 New Insights into Vulvovaginitis Getting Species Bubble Bath Vulvovaginitis Avoid bubble baths and antibacterial products. Most vaginal itching or discomfort is due to. Avoid using soap in the sensitive vulvar area; Add half a cup of white vinegar to a shallow bath and soak. Vulvovaginitis is caused by irritation of the skin by urine, moisture or other irritants (soap, bubble baths, detergents). Vulvovaginitis is caused by irritation of the. Bubble Bath Vulvovaginitis.
From jpabs.org
Antibiotics for vulvovaginitis Bubble Bath Vulvovaginitis And is often made worse by. Avoid using soap in the sensitive vulvar area; Add half a cup of white vinegar to a shallow bath and soak. Before puberty, the lining of the vulva is very thin and sensitive to any product containing soap. Most vaginal itching or discomfort is due to. Avoid bubble baths and antibacterial products. Do not. Bubble Bath Vulvovaginitis.
From slideplayer.com
Rukset Attar, MD, PhD Department of Obstetrics and Gynecology ppt Bubble Bath Vulvovaginitis Some people find vinegar baths helpful: Most vaginal itching or discomfort is due to. Vulvovaginitis is caused by irritation of the skin by urine, moisture or other irritants (soap, bubble baths, detergents); Avoid bubble baths and antibacterial products. And is often made worse by. Do not use bubble bath or add anything else to bath water unless prescribed by your. Bubble Bath Vulvovaginitis.
From laptrinhx.com
249 Tales from the Curbside Vulvovaginitis, Cellulitis, Bites, MGUS Bubble Bath Vulvovaginitis Irritation of the genital area due to detergents, harsh soaps, chemicals such as chlorine, bubble baths, poor hygiene. Vulvovaginitis is caused by irritation of the skin by urine, moisture or other irritants (soap, bubble baths, detergents); Avoid bubble baths and antibacterial products. Do not use bubble bath or add anything else to bath water unless prescribed by your doctor. Add. Bubble Bath Vulvovaginitis.
From es.scribd.com
Tema 45 Vulvovaginitis PDF Candidiasis Vagina Bubble Bath Vulvovaginitis Before puberty, the lining of the vulva is very thin and sensitive to any product containing soap. And is often made worse by. Vulvovaginitis is caused by irritation of the skin by urine, moisture or other irritants (soap, bubble baths, detergents); Vulvovaginitis is caused by irritation of the skin by urine, moisture or other irritants (soap, bubble baths, detergents). Avoid. Bubble Bath Vulvovaginitis.
From www.slideserve.com
PPT Vulvovaginitis PowerPoint Presentation, free download ID248440 Bubble Bath Vulvovaginitis Irritation of the genital area due to detergents, harsh soaps, chemicals such as chlorine, bubble baths, poor hygiene. Avoid bubble baths and antibacterial products. Add half a cup of white vinegar to a shallow bath and soak. Do not use bubble bath or add anything else to bath water unless prescribed by your doctor. Before puberty, the lining of the. Bubble Bath Vulvovaginitis.
From apeadev.aitsandbox.com
Acute and Chronic Vulvovaginitis What Really Works? Bubble Bath Vulvovaginitis Some people find vinegar baths helpful: Add half a cup of white vinegar to a shallow bath and soak. Do not use bubble bath or add anything else to bath water unless prescribed by your doctor. Vulvovaginitis is caused by irritation of the skin by urine, moisture or other irritants (soap, bubble baths, detergents); Avoid bubble baths and antibacterial products.. Bubble Bath Vulvovaginitis.
From diseaeseshows.com
candida vulvovaginitis pictures, photos Bubble Bath Vulvovaginitis Vulvovaginitis is caused by irritation of the skin by urine, moisture or other irritants (soap, bubble baths, detergents); Avoid bubble baths and antibacterial products. Most vaginal itching or discomfort is due to. Some people find vinegar baths helpful: Before puberty, the lining of the vulva is very thin and sensitive to any product containing soap. Add half a cup of. Bubble Bath Vulvovaginitis.
From slideplayer.com
My Health Copyright © 2010 Thompson Educational Publishing, Inc. Unit 2 Bubble Bath Vulvovaginitis Some people find vinegar baths helpful: Irritation of the genital area due to detergents, harsh soaps, chemicals such as chlorine, bubble baths, poor hygiene. Add half a cup of white vinegar to a shallow bath and soak. Vulvovaginitis is caused by irritation of the skin by urine, moisture or other irritants (soap, bubble baths, detergents). Before puberty, the lining of. Bubble Bath Vulvovaginitis.
From blog.sentosaklinik.com
Gejala dan Cara Mencegah Vulvovaginitis Klinik Utama Sentosa Bubble Bath Vulvovaginitis Most vaginal itching or discomfort is due to. And is often made worse by. Before puberty, the lining of the vulva is very thin and sensitive to any product containing soap. Avoid using soap in the sensitive vulvar area; Avoid bubble baths and antibacterial products. Do not use bubble bath or add anything else to bath water unless prescribed by. Bubble Bath Vulvovaginitis.
From blog.sentosaklinik.com
Vulvovaginitis Pengertian dan Penyebab Klinik Utama Sentosa Bubble Bath Vulvovaginitis And is often made worse by. Do not use bubble bath or add anything else to bath water unless prescribed by your doctor. Avoid bubble baths and antibacterial products. Some people find vinegar baths helpful: Vulvovaginitis is caused by irritation of the skin by urine, moisture or other irritants (soap, bubble baths, detergents); Vulvovaginitis is caused by irritation of the. Bubble Bath Vulvovaginitis.
From stock.adobe.com
Vecteur Stock vaginal yeast infections treatment applicator symptoms Bubble Bath Vulvovaginitis And is often made worse by. Do not use bubble bath or add anything else to bath water unless prescribed by your doctor. Vulvovaginitis is caused by irritation of the skin by urine, moisture or other irritants (soap, bubble baths, detergents). Avoid using soap in the sensitive vulvar area; Add half a cup of white vinegar to a shallow bath. Bubble Bath Vulvovaginitis.
From slidetodoc.com
Laboratory Diagnosis of Vaginitis Termonology and Pathogenesis Bubble Bath Vulvovaginitis Vulvovaginitis is caused by irritation of the skin by urine, moisture or other irritants (soap, bubble baths, detergents). Avoid bubble baths and antibacterial products. Most vaginal itching or discomfort is due to. And is often made worse by. Before puberty, the lining of the vulva is very thin and sensitive to any product containing soap. Irritation of the genital area. Bubble Bath Vulvovaginitis.
From focusedcollection.com
Digital illustration showing vaginitis caused by Candida auris fungus Bubble Bath Vulvovaginitis And is often made worse by. Some people find vinegar baths helpful: Vulvovaginitis is caused by irritation of the skin by urine, moisture or other irritants (soap, bubble baths, detergents). Add half a cup of white vinegar to a shallow bath and soak. Irritation of the genital area due to detergents, harsh soaps, chemicals such as chlorine, bubble baths, poor. Bubble Bath Vulvovaginitis.
From www.slideshare.net
vulvo vaginal infection Bubble Bath Vulvovaginitis Some people find vinegar baths helpful: Vulvovaginitis is caused by irritation of the skin by urine, moisture or other irritants (soap, bubble baths, detergents). And is often made worse by. Irritation of the genital area due to detergents, harsh soaps, chemicals such as chlorine, bubble baths, poor hygiene. Do not use bubble bath or add anything else to bath water. Bubble Bath Vulvovaginitis.
From www.slideshare.net
vulvo vaginal infection Bubble Bath Vulvovaginitis And is often made worse by. Some people find vinegar baths helpful: Add half a cup of white vinegar to a shallow bath and soak. Avoid bubble baths and antibacterial products. Most vaginal itching or discomfort is due to. Vulvovaginitis is caused by irritation of the skin by urine, moisture or other irritants (soap, bubble baths, detergents). Vulvovaginitis is caused. Bubble Bath Vulvovaginitis.
From www.slideserve.com
PPT Vulvovaginitis PowerPoint Presentation, free download ID248440 Bubble Bath Vulvovaginitis Avoid bubble baths and antibacterial products. Irritation of the genital area due to detergents, harsh soaps, chemicals such as chlorine, bubble baths, poor hygiene. Avoid using soap in the sensitive vulvar area; Do not use bubble bath or add anything else to bath water unless prescribed by your doctor. Vulvovaginitis is caused by irritation of the skin by urine, moisture. Bubble Bath Vulvovaginitis.
From www.studypool.com
SOLUTION Pelvic conditions vulvovaginitis infections Studypool Bubble Bath Vulvovaginitis Avoid bubble baths and antibacterial products. Irritation of the genital area due to detergents, harsh soaps, chemicals such as chlorine, bubble baths, poor hygiene. And is often made worse by. Vulvovaginitis is caused by irritation of the skin by urine, moisture or other irritants (soap, bubble baths, detergents); Most vaginal itching or discomfort is due to. Do not use bubble. Bubble Bath Vulvovaginitis.