Shift Jis Code . Perlでのシフトjisの文字化けについて perlで \(0x5c) は「次につづく文字が何であるかを表す」特殊な意味合いを持ちます 下の全角文字のエリアの下位バイト5c. ‥ ‘ ’ “ ” ( ) 〔 〕 [ ] 81 6f | {. Shift jis is the microsoft encoding of jis, standard on. Ansi code pages can be different on different computers, or can be. The following table defines the available code page identifiers. Shift jis (sjis) is an encoding system for japanese characters.
from www.hulft.com
Shift jis (sjis) is an encoding system for japanese characters. Shift jis is the microsoft encoding of jis, standard on. Perlでのシフトjisの文字化けについて perlで \(0x5c) は「次につづく文字が何であるかを表す」特殊な意味合いを持ちます 下の全角文字のエリアの下位バイト5c. Ansi code pages can be different on different computers, or can be. ‥ ‘ ’ “ ” ( ) 〔 〕 [ ] 81 6f | {. The following table defines the available code page identifiers.
Official Conversion from ShiftJIS
Shift Jis Code Ansi code pages can be different on different computers, or can be. Ansi code pages can be different on different computers, or can be. Shift jis is the microsoft encoding of jis, standard on. Perlでのシフトjisの文字化けについて perlで \(0x5c) は「次につづく文字が何であるかを表す」特殊な意味合いを持ちます 下の全角文字のエリアの下位バイト5c. The following table defines the available code page identifiers. ‥ ‘ ’ “ ” ( ) 〔 〕 [ ] 81 6f | {. Shift jis (sjis) is an encoding system for japanese characters.
From www.hulft.com
Official Conversion from TypeEBCDIC Code Set to TypeASCII Code Set Shift Jis Code The following table defines the available code page identifiers. Perlでのシフトjisの文字化けについて perlで \(0x5c) は「次につづく文字が何であるかを表す」特殊な意味合いを持ちます 下の全角文字のエリアの下位バイト5c. Ansi code pages can be different on different computers, or can be. Shift jis (sjis) is an encoding system for japanese characters. ‥ ‘ ’ “ ” ( ) 〔 〕 [ ] 81 6f | {. Shift jis is the microsoft encoding of jis, standard. Shift Jis Code.
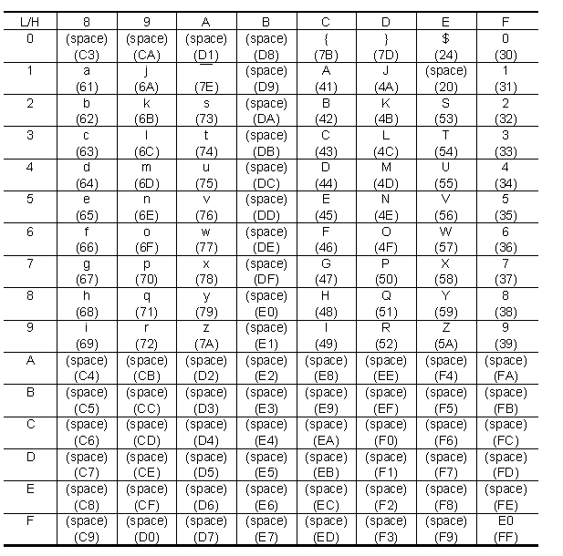
From www.tairaengineer-note.com
【Visual Studio Code】文字コードがShiftJISのファイルを開く方法を解説します たいらのエンジニアノート Shift Jis Code Shift jis (sjis) is an encoding system for japanese characters. Perlでのシフトjisの文字化けについて perlで \(0x5c) は「次につづく文字が何であるかを表す」特殊な意味合いを持ちます 下の全角文字のエリアの下位バイト5c. The following table defines the available code page identifiers. ‥ ‘ ’ “ ” ( ) 〔 〕 [ ] 81 6f | {. Shift jis is the microsoft encoding of jis, standard on. Ansi code pages can be different on different computers, or can. Shift Jis Code.
From github.com
Dilato Core Some characters display as question mark for ShiftJIS Shift Jis Code Ansi code pages can be different on different computers, or can be. ‥ ‘ ’ “ ” ( ) 〔 〕 [ ] 81 6f | {. The following table defines the available code page identifiers. Perlでのシフトjisの文字化けについて perlで \(0x5c) は「次につづく文字が何であるかを表す」特殊な意味合いを持ちます 下の全角文字のエリアの下位バイト5c. Shift jis (sjis) is an encoding system for japanese characters. Shift jis is the microsoft encoding of jis, standard. Shift Jis Code.
From www.reddit.com
PS2's ShiftJIS Character Set ps2 Shift Jis Code ‥ ‘ ’ “ ” ( ) 〔 〕 [ ] 81 6f | {. Shift jis (sjis) is an encoding system for japanese characters. Perlでのシフトjisの文字化けについて perlで \(0x5c) は「次につづく文字が何であるかを表す」特殊な意味合いを持ちます 下の全角文字のエリアの下位バイト5c. Shift jis is the microsoft encoding of jis, standard on. Ansi code pages can be different on different computers, or can be. The following table defines the available code page. Shift Jis Code.
From www.hulft.com
Official Loss of data due to the addition of shift codes Shift Jis Code Ansi code pages can be different on different computers, or can be. ‥ ‘ ’ “ ” ( ) 〔 〕 [ ] 81 6f | {. Shift jis is the microsoft encoding of jis, standard on. Perlでのシフトjisの文字化けについて perlで \(0x5c) は「次につづく文字が何であるかを表す」特殊な意味合いを持ちます 下の全角文字のエリアの下位バイト5c. The following table defines the available code page identifiers. Shift jis (sjis) is an encoding system for japanese. Shift Jis Code.
From www.charset.org
Character sets SHIFT_JIS (Japanese, Win/Mac) Shift Jis Code Perlでのシフトjisの文字化けについて perlで \(0x5c) は「次につづく文字が何であるかを表す」特殊な意味合いを持ちます 下の全角文字のエリアの下位バイト5c. Shift jis (sjis) is an encoding system for japanese characters. Shift jis is the microsoft encoding of jis, standard on. Ansi code pages can be different on different computers, or can be. ‥ ‘ ’ “ ” ( ) 〔 〕 [ ] 81 6f | {. The following table defines the available code page. Shift Jis Code.
From soukacuo.blogspot.com
文字コード検索 Visual Studio Code】文字コードがShiftJISのファイルを開 く方法を Shift Jis Code Perlでのシフトjisの文字化けについて perlで \(0x5c) は「次につづく文字が何であるかを表す」特殊な意味合いを持ちます 下の全角文字のエリアの下位バイト5c. ‥ ‘ ’ “ ” ( ) 〔 〕 [ ] 81 6f | {. Ansi code pages can be different on different computers, or can be. Shift jis is the microsoft encoding of jis, standard on. The following table defines the available code page identifiers. Shift jis (sjis) is an encoding system for japanese. Shift Jis Code.
From itpfdoc.hitachi.co.jp
Conversion of shiftJIS codes and KEIS codes Shift Jis Code Shift jis (sjis) is an encoding system for japanese characters. The following table defines the available code page identifiers. Shift jis is the microsoft encoding of jis, standard on. ‥ ‘ ’ “ ” ( ) 〔 〕 [ ] 81 6f | {. Perlでのシフトjisの文字化けについて perlで \(0x5c) は「次につづく文字が何であるかを表す」特殊な意味合いを持ちます 下の全角文字のエリアの下位バイト5c. Ansi code pages can be different on different computers, or can. Shift Jis Code.
From www.konicaminolta.jp
JISコード表一覧 サポート ビジネスソリューション コニカミノルタ Shift Jis Code ‥ ‘ ’ “ ” ( ) 〔 〕 [ ] 81 6f | {. Shift jis (sjis) is an encoding system for japanese characters. Perlでのシフトjisの文字化けについて perlで \(0x5c) は「次につづく文字が何であるかを表す」特殊な意味合いを持ちます 下の全角文字のエリアの下位バイト5c. Ansi code pages can be different on different computers, or can be. The following table defines the available code page identifiers. Shift jis is the microsoft encoding of jis, standard. Shift Jis Code.
From www.hulft.com
Official Conversion from ShiftJIS Shift Jis Code Shift jis (sjis) is an encoding system for japanese characters. ‥ ‘ ’ “ ” ( ) 〔 〕 [ ] 81 6f | {. The following table defines the available code page identifiers. Shift jis is the microsoft encoding of jis, standard on. Ansi code pages can be different on different computers, or can be. Perlでのシフトjisの文字化けについて perlで \(0x5c) は「次につづく文字が何であるかを表す」特殊な意味合いを持ちます. Shift Jis Code.
From download4.epson.biz
TM Printer Character Code Tables Tech.Reference POS Epson Shift Jis Code Shift jis is the microsoft encoding of jis, standard on. The following table defines the available code page identifiers. ‥ ‘ ’ “ ” ( ) 〔 〕 [ ] 81 6f | {. Perlでのシフトjisの文字化けについて perlで \(0x5c) は「次につづく文字が何であるかを表す」特殊な意味合いを持ちます 下の全角文字のエリアの下位バイト5c. Ansi code pages can be different on different computers, or can be. Shift jis (sjis) is an encoding system for japanese. Shift Jis Code.
From www.backyrd.net
Shift_JIS→UNICODE→Shift_JISでおかしくなる文字 (1) misc.log Shift Jis Code ‥ ‘ ’ “ ” ( ) 〔 〕 [ ] 81 6f | {. Ansi code pages can be different on different computers, or can be. Shift jis is the microsoft encoding of jis, standard on. Perlでのシフトjisの文字化けについて perlで \(0x5c) は「次につづく文字が何であるかを表す」特殊な意味合いを持ちます 下の全角文字のエリアの下位バイト5c. Shift jis (sjis) is an encoding system for japanese characters. The following table defines the available code page. Shift Jis Code.
From bayashimo.jp
【Mac】「UTF8」から「ShiftJIS」に文字コード変換する方法 bayashimoの日記 Shift Jis Code The following table defines the available code page identifiers. ‥ ‘ ’ “ ” ( ) 〔 〕 [ ] 81 6f | {. Shift jis (sjis) is an encoding system for japanese characters. Perlでのシフトjisの文字化けについて perlで \(0x5c) は「次につづく文字が何であるかを表す」特殊な意味合いを持ちます 下の全角文字のエリアの下位バイト5c. Shift jis is the microsoft encoding of jis, standard on. Ansi code pages can be different on different computers, or can. Shift Jis Code.
From www.hulft.com
Official Decrease in data due to cutting of shift codes Shift Jis Code Ansi code pages can be different on different computers, or can be. The following table defines the available code page identifiers. ‥ ‘ ’ “ ” ( ) 〔 〕 [ ] 81 6f | {. Perlでのシフトjisの文字化けについて perlで \(0x5c) は「次につづく文字が何であるかを表す」特殊な意味合いを持ちます 下の全角文字のエリアの下位バイト5c. Shift jis is the microsoft encoding of jis, standard on. Shift jis (sjis) is an encoding system for japanese. Shift Jis Code.
From code.st40.xyz
Visual Studio Codeで文字コード(UTF8、ShiftJIS)を指定してファイルを開く VSCode|OAR CODE Shift Jis Code Shift jis is the microsoft encoding of jis, standard on. The following table defines the available code page identifiers. Shift jis (sjis) is an encoding system for japanese characters. Perlでのシフトjisの文字化けについて perlで \(0x5c) は「次につづく文字が何であるかを表す」特殊な意味合いを持ちます 下の全角文字のエリアの下位バイト5c. Ansi code pages can be different on different computers, or can be. ‥ ‘ ’ “ ” ( ) 〔 〕 [ ] 81 6f |. Shift Jis Code.
From www.ipentec.com
Visual Studio Code でShiftJIS のテキストファイルを開くと文字化けする エンコードを指定してファイルを開く Shift Jis Code Perlでのシフトjisの文字化けについて perlで \(0x5c) は「次につづく文字が何であるかを表す」特殊な意味合いを持ちます 下の全角文字のエリアの下位バイト5c. Ansi code pages can be different on different computers, or can be. Shift jis (sjis) is an encoding system for japanese characters. The following table defines the available code page identifiers. ‥ ‘ ’ “ ” ( ) 〔 〕 [ ] 81 6f | {. Shift jis is the microsoft encoding of jis, standard. Shift Jis Code.
From www.hulft.com
Official Loss of data due to the addition of shift codes Shift Jis Code The following table defines the available code page identifiers. ‥ ‘ ’ “ ” ( ) 〔 〕 [ ] 81 6f | {. Perlでのシフトjisの文字化けについて perlで \(0x5c) は「次につづく文字が何であるかを表す」特殊な意味合いを持ちます 下の全角文字のエリアの下位バイト5c. Shift jis (sjis) is an encoding system for japanese characters. Shift jis is the microsoft encoding of jis, standard on. Ansi code pages can be different on different computers, or can. Shift Jis Code.
From www.hulft.com
Official When there is a singlebyte space code at the end of a field Shift Jis Code Ansi code pages can be different on different computers, or can be. Shift jis is the microsoft encoding of jis, standard on. The following table defines the available code page identifiers. ‥ ‘ ’ “ ” ( ) 〔 〕 [ ] 81 6f | {. Perlでのシフトjisの文字化けについて perlで \(0x5c) は「次につづく文字が何であるかを表す」特殊な意味合いを持ちます 下の全角文字のエリアの下位バイト5c. Shift jis (sjis) is an encoding system for japanese. Shift Jis Code.
From www.konicaminolta.jp
JISコード表一覧 サポート ビジネスソリューション コニカミノルタ Shift Jis Code Perlでのシフトjisの文字化けについて perlで \(0x5c) は「次につづく文字が何であるかを表す」特殊な意味合いを持ちます 下の全角文字のエリアの下位バイト5c. Shift jis is the microsoft encoding of jis, standard on. The following table defines the available code page identifiers. Shift jis (sjis) is an encoding system for japanese characters. Ansi code pages can be different on different computers, or can be. ‥ ‘ ’ “ ” ( ) 〔 〕 [ ] 81 6f |. Shift Jis Code.
From www.hulft.com
Official Loss of data due to changes in length of double byte codes Shift Jis Code The following table defines the available code page identifiers. ‥ ‘ ’ “ ” ( ) 〔 〕 [ ] 81 6f | {. Shift jis (sjis) is an encoding system for japanese characters. Shift jis is the microsoft encoding of jis, standard on. Perlでのシフトjisの文字化けについて perlで \(0x5c) は「次につづく文字が何であるかを表す」特殊な意味合いを持ちます 下の全角文字のエリアの下位バイト5c. Ansi code pages can be different on different computers, or can. Shift Jis Code.
From www.tairaengineer-note.com
【Visual Studio Code】文字コードがShiftJISのファイルを開く方法を解説します たいらのエンジニアノート Shift Jis Code Perlでのシフトjisの文字化けについて perlで \(0x5c) は「次につづく文字が何であるかを表す」特殊な意味合いを持ちます 下の全角文字のエリアの下位バイト5c. Shift jis (sjis) is an encoding system for japanese characters. Ansi code pages can be different on different computers, or can be. Shift jis is the microsoft encoding of jis, standard on. ‥ ‘ ’ “ ” ( ) 〔 〕 [ ] 81 6f | {. The following table defines the available code page. Shift Jis Code.
From itpfdoc.hitachi.co.jp
Conversion of shiftJIS codes and KEIS codes Shift Jis Code Shift jis (sjis) is an encoding system for japanese characters. ‥ ‘ ’ “ ” ( ) 〔 〕 [ ] 81 6f | {. The following table defines the available code page identifiers. Perlでのシフトjisの文字化けについて perlで \(0x5c) は「次につづく文字が何であるかを表す」特殊な意味合いを持ちます 下の全角文字のエリアの下位バイト5c. Shift jis is the microsoft encoding of jis, standard on. Ansi code pages can be different on different computers, or can. Shift Jis Code.
From www.konicaminolta.jp
JISコード表一覧 サポート ビジネスソリューション コニカミノルタ Shift Jis Code Shift jis is the microsoft encoding of jis, standard on. The following table defines the available code page identifiers. Shift jis (sjis) is an encoding system for japanese characters. ‥ ‘ ’ “ ” ( ) 〔 〕 [ ] 81 6f | {. Ansi code pages can be different on different computers, or can be. Perlでのシフトjisの文字化けについて perlで \(0x5c) は「次につづく文字が何であるかを表す」特殊な意味合いを持ちます. Shift Jis Code.
From pnghut.com
Wave Dash Tilde Unicode Shift JIS Code Page Curved Line Transparent PNG Shift Jis Code Shift jis (sjis) is an encoding system for japanese characters. ‥ ‘ ’ “ ” ( ) 〔 〕 [ ] 81 6f | {. Ansi code pages can be different on different computers, or can be. Shift jis is the microsoft encoding of jis, standard on. The following table defines the available code page identifiers. Perlでのシフトjisの文字化けについて perlで \(0x5c) は「次につづく文字が何であるかを表す」特殊な意味合いを持ちます. Shift Jis Code.
From www.konicaminolta.jp
JISコード表一覧 サポート ビジネスソリューション コニカミノルタ Shift Jis Code Shift jis (sjis) is an encoding system for japanese characters. ‥ ‘ ’ “ ” ( ) 〔 〕 [ ] 81 6f | {. Perlでのシフトjisの文字化けについて perlで \(0x5c) は「次につづく文字が何であるかを表す」特殊な意味合いを持ちます 下の全角文字のエリアの下位バイト5c. Ansi code pages can be different on different computers, or can be. The following table defines the available code page identifiers. Shift jis is the microsoft encoding of jis, standard. Shift Jis Code.
From www.hulft.com
Official Conversion from TypeASCII Code Set to TypeEBCDIC Code Set Shift Jis Code ‥ ‘ ’ “ ” ( ) 〔 〕 [ ] 81 6f | {. Ansi code pages can be different on different computers, or can be. Shift jis is the microsoft encoding of jis, standard on. The following table defines the available code page identifiers. Shift jis (sjis) is an encoding system for japanese characters. Perlでのシフトjisの文字化けについて perlで \(0x5c) は「次につづく文字が何であるかを表す」特殊な意味合いを持ちます. Shift Jis Code.
From www.ipentec.com
Visual Studio Code でShiftJIS のテキストファイルを開くと文字化けする エンコードを指定してファイルを開く Shift Jis Code Shift jis (sjis) is an encoding system for japanese characters. Perlでのシフトjisの文字化けについて perlで \(0x5c) は「次につづく文字が何であるかを表す」特殊な意味合いを持ちます 下の全角文字のエリアの下位バイト5c. The following table defines the available code page identifiers. Shift jis is the microsoft encoding of jis, standard on. Ansi code pages can be different on different computers, or can be. ‥ ‘ ’ “ ” ( ) 〔 〕 [ ] 81 6f |. Shift Jis Code.
From sites.ualberta.ca
Code Set Overview Shift Jis Code Shift jis is the microsoft encoding of jis, standard on. Perlでのシフトjisの文字化けについて perlで \(0x5c) は「次につづく文字が何であるかを表す」特殊な意味合いを持ちます 下の全角文字のエリアの下位バイト5c. The following table defines the available code page identifiers. Shift jis (sjis) is an encoding system for japanese characters. ‥ ‘ ’ “ ” ( ) 〔 〕 [ ] 81 6f | {. Ansi code pages can be different on different computers, or can. Shift Jis Code.
From medium-company.com
Shift_JISとは ITを分かりやすく解説 Shift Jis Code Shift jis (sjis) is an encoding system for japanese characters. Ansi code pages can be different on different computers, or can be. Perlでのシフトjisの文字化けについて perlで \(0x5c) は「次につづく文字が何であるかを表す」特殊な意味合いを持ちます 下の全角文字のエリアの下位バイト5c. The following table defines the available code page identifiers. Shift jis is the microsoft encoding of jis, standard on. ‥ ‘ ’ “ ” ( ) 〔 〕 [ ] 81 6f |. Shift Jis Code.
From excel-ubara.com
マクロでShift_JIS文字コードか判定する|VBA技術解説 Shift Jis Code Shift jis (sjis) is an encoding system for japanese characters. ‥ ‘ ’ “ ” ( ) 〔 〕 [ ] 81 6f | {. The following table defines the available code page identifiers. Ansi code pages can be different on different computers, or can be. Perlでのシフトjisの文字化けについて perlで \(0x5c) は「次につづく文字が何であるかを表す」特殊な意味合いを持ちます 下の全角文字のエリアの下位バイト5c. Shift jis is the microsoft encoding of jis, standard. Shift Jis Code.
From www.hulft.com
Official Conversion from TypeASCII Code Set to TypeEBCDIC Code Set Shift Jis Code ‥ ‘ ’ “ ” ( ) 〔 〕 [ ] 81 6f | {. Shift jis (sjis) is an encoding system for japanese characters. Ansi code pages can be different on different computers, or can be. Perlでのシフトjisの文字化けについて perlで \(0x5c) は「次につづく文字が何であるかを表す」特殊な意味合いを持ちます 下の全角文字のエリアの下位バイト5c. Shift jis is the microsoft encoding of jis, standard on. The following table defines the available code page. Shift Jis Code.
From www.hulft.com
Official Conversion from TypeASCII Code Set to TypeEBCDIC Code Set Shift Jis Code Perlでのシフトjisの文字化けについて perlで \(0x5c) は「次につづく文字が何であるかを表す」特殊な意味合いを持ちます 下の全角文字のエリアの下位バイト5c. Ansi code pages can be different on different computers, or can be. The following table defines the available code page identifiers. Shift jis (sjis) is an encoding system for japanese characters. Shift jis is the microsoft encoding of jis, standard on. ‥ ‘ ’ “ ” ( ) 〔 〕 [ ] 81 6f |. Shift Jis Code.
From itpfdoc.hitachi.co.jp
Conversion of shiftJIS codes and KEIS codes Shift Jis Code Ansi code pages can be different on different computers, or can be. Shift jis is the microsoft encoding of jis, standard on. The following table defines the available code page identifiers. ‥ ‘ ’ “ ” ( ) 〔 〕 [ ] 81 6f | {. Perlでのシフトjisの文字化けについて perlで \(0x5c) は「次につづく文字が何であるかを表す」特殊な意味合いを持ちます 下の全角文字のエリアの下位バイト5c. Shift jis (sjis) is an encoding system for japanese. Shift Jis Code.
From milestone-of-se.nesuke.com
【初心者向け】文字コードの種類と仕組み入門 ascii/ShiftJISの互換,UnicodeとUTF8の違い,Base64/QPについ Shift Jis Code The following table defines the available code page identifiers. Ansi code pages can be different on different computers, or can be. ‥ ‘ ’ “ ” ( ) 〔 〕 [ ] 81 6f | {. Shift jis (sjis) is an encoding system for japanese characters. Shift jis is the microsoft encoding of jis, standard on. Perlでのシフトjisの文字化けについて perlで \(0x5c) は「次につづく文字が何であるかを表す」特殊な意味合いを持ちます. Shift Jis Code.
From itpfdoc.hitachi.co.jp
Converting shift JIS kanji codes to EBCDIK Shift Jis Code Shift jis is the microsoft encoding of jis, standard on. Perlでのシフトjisの文字化けについて perlで \(0x5c) は「次につづく文字が何であるかを表す」特殊な意味合いを持ちます 下の全角文字のエリアの下位バイト5c. Shift jis (sjis) is an encoding system for japanese characters. Ansi code pages can be different on different computers, or can be. ‥ ‘ ’ “ ” ( ) 〔 〕 [ ] 81 6f | {. The following table defines the available code page. Shift Jis Code.