Expansion (X+Y+Z)^N . The multinomial theorem is used to expand the sum of two or more terms raised. more than just an online series expansion calculator. the binomial theorem states the principle for expanding the algebraic expression (x + y) n and expresses it as a sum of the terms involving individual exponents of variables x. $$(x+y+z)^n= \!\!\sum_{\substack{(i,j,k)\in\mathbf n^3\\i+j+k=n}}\!\frac{n!}{i!\,j!\,k!} x^i y^j. Wolfram|alpha is a great tool for computing series expansions of functions. definition of multinomial theorem. the expansion of \((x+y)^n\) starts with \(x^n\), then we decrease the exponent in \(x\) by one, meanwhile increase the exponent of \(y\) by one, and repeat this until.
from www.teachoo.com
the expansion of \((x+y)^n\) starts with \(x^n\), then we decrease the exponent in \(x\) by one, meanwhile increase the exponent of \(y\) by one, and repeat this until. the binomial theorem states the principle for expanding the algebraic expression (x + y) n and expresses it as a sum of the terms involving individual exponents of variables x. The multinomial theorem is used to expand the sum of two or more terms raised. more than just an online series expansion calculator. definition of multinomial theorem. Wolfram|alpha is a great tool for computing series expansions of functions. $$(x+y+z)^n= \!\!\sum_{\substack{(i,j,k)\in\mathbf n^3\\i+j+k=n}}\!\frac{n!}{i!\,j!\,k!} x^i y^j.
Example 7 Find coefficient of x6y3 in expansion (x + 2y)^9
Expansion (X+Y+Z)^N $$(x+y+z)^n= \!\!\sum_{\substack{(i,j,k)\in\mathbf n^3\\i+j+k=n}}\!\frac{n!}{i!\,j!\,k!} x^i y^j. definition of multinomial theorem. more than just an online series expansion calculator. $$(x+y+z)^n= \!\!\sum_{\substack{(i,j,k)\in\mathbf n^3\\i+j+k=n}}\!\frac{n!}{i!\,j!\,k!} x^i y^j. Wolfram|alpha is a great tool for computing series expansions of functions. The multinomial theorem is used to expand the sum of two or more terms raised. the binomial theorem states the principle for expanding the algebraic expression (x + y) n and expresses it as a sum of the terms involving individual exponents of variables x. the expansion of \((x+y)^n\) starts with \(x^n\), then we decrease the exponent in \(x\) by one, meanwhile increase the exponent of \(y\) by one, and repeat this until.
From www.youtube.com
Find the number of terms in the expansion of (x+y+z)^n I Class 11 Expansion (X+Y+Z)^N more than just an online series expansion calculator. $$(x+y+z)^n= \!\!\sum_{\substack{(i,j,k)\in\mathbf n^3\\i+j+k=n}}\!\frac{n!}{i!\,j!\,k!} x^i y^j. the binomial theorem states the principle for expanding the algebraic expression (x + y) n and expresses it as a sum of the terms involving individual exponents of variables x. the expansion of \((x+y)^n\) starts with \(x^n\), then we decrease the exponent in. Expansion (X+Y+Z)^N.
From www.slideserve.com
PPT Binomial Expansion And More PowerPoint Presentation, free Expansion (X+Y+Z)^N more than just an online series expansion calculator. the expansion of \((x+y)^n\) starts with \(x^n\), then we decrease the exponent in \(x\) by one, meanwhile increase the exponent of \(y\) by one, and repeat this until. $$(x+y+z)^n= \!\!\sum_{\substack{(i,j,k)\in\mathbf n^3\\i+j+k=n}}\!\frac{n!}{i!\,j!\,k!} x^i y^j. the binomial theorem states the principle for expanding the algebraic expression (x + y) n. Expansion (X+Y+Z)^N.
From mathsathome.com
How to do the Binomial Expansion Expansion (X+Y+Z)^N more than just an online series expansion calculator. the expansion of \((x+y)^n\) starts with \(x^n\), then we decrease the exponent in \(x\) by one, meanwhile increase the exponent of \(y\) by one, and repeat this until. definition of multinomial theorem. Wolfram|alpha is a great tool for computing series expansions of functions. the binomial theorem states the. Expansion (X+Y+Z)^N.
From lilafersdudley.blogspot.com
Binomial Expansion Equation Expansion (X+Y+Z)^N Wolfram|alpha is a great tool for computing series expansions of functions. more than just an online series expansion calculator. the expansion of \((x+y)^n\) starts with \(x^n\), then we decrease the exponent in \(x\) by one, meanwhile increase the exponent of \(y\) by one, and repeat this until. The multinomial theorem is used to expand the sum of two. Expansion (X+Y+Z)^N.
From blogjpmbahe0xtn.blogspot.com
Expand (x y z)^2 formula 234438 Blogjpmbahe0xtn Expansion (X+Y+Z)^N $$(x+y+z)^n= \!\!\sum_{\substack{(i,j,k)\in\mathbf n^3\\i+j+k=n}}\!\frac{n!}{i!\,j!\,k!} x^i y^j. the binomial theorem states the principle for expanding the algebraic expression (x + y) n and expresses it as a sum of the terms involving individual exponents of variables x. The multinomial theorem is used to expand the sum of two or more terms raised. the expansion of \((x+y)^n\) starts with \(x^n\),. Expansion (X+Y+Z)^N.
From blogjpmbahe0xtn.blogspot.com
Expand (x y z)^2 formula 234438 Blogjpmbahe0xtn Expansion (X+Y+Z)^N the binomial theorem states the principle for expanding the algebraic expression (x + y) n and expresses it as a sum of the terms involving individual exponents of variables x. the expansion of \((x+y)^n\) starts with \(x^n\), then we decrease the exponent in \(x\) by one, meanwhile increase the exponent of \(y\) by one, and repeat this until.. Expansion (X+Y+Z)^N.
From bestpixtajprkag.blogspot.com
(x y z)^3 expansion 187581What is the formula of (x+y+z)^3 Expansion (X+Y+Z)^N $$(x+y+z)^n= \!\!\sum_{\substack{(i,j,k)\in\mathbf n^3\\i+j+k=n}}\!\frac{n!}{i!\,j!\,k!} x^i y^j. the expansion of \((x+y)^n\) starts with \(x^n\), then we decrease the exponent in \(x\) by one, meanwhile increase the exponent of \(y\) by one, and repeat this until. the binomial theorem states the principle for expanding the algebraic expression (x + y) n and expresses it as a sum of the terms. Expansion (X+Y+Z)^N.
From www.teachoo.com
Example 7 Find coefficient of x6y3 in expansion (x + 2y)^9 Expansion (X+Y+Z)^N $$(x+y+z)^n= \!\!\sum_{\substack{(i,j,k)\in\mathbf n^3\\i+j+k=n}}\!\frac{n!}{i!\,j!\,k!} x^i y^j. the expansion of \((x+y)^n\) starts with \(x^n\), then we decrease the exponent in \(x\) by one, meanwhile increase the exponent of \(y\) by one, and repeat this until. the binomial theorem states the principle for expanding the algebraic expression (x + y) n and expresses it as a sum of the terms. Expansion (X+Y+Z)^N.
From www.youtube.com
Binomial Expansions how to find a specific power of x, without Expansion (X+Y+Z)^N definition of multinomial theorem. Wolfram|alpha is a great tool for computing series expansions of functions. the binomial theorem states the principle for expanding the algebraic expression (x + y) n and expresses it as a sum of the terms involving individual exponents of variables x. the expansion of \((x+y)^n\) starts with \(x^n\), then we decrease the exponent. Expansion (X+Y+Z)^N.
From askfilo.com
3. The number of terms in the expansion of (x+y+z)n isAns\[\begin{ar.. Expansion (X+Y+Z)^N Wolfram|alpha is a great tool for computing series expansions of functions. $$(x+y+z)^n= \!\!\sum_{\substack{(i,j,k)\in\mathbf n^3\\i+j+k=n}}\!\frac{n!}{i!\,j!\,k!} x^i y^j. the expansion of \((x+y)^n\) starts with \(x^n\), then we decrease the exponent in \(x\) by one, meanwhile increase the exponent of \(y\) by one, and repeat this until. definition of multinomial theorem. the binomial theorem states the principle for expanding. Expansion (X+Y+Z)^N.
From worksheetfullprosaism.z22.web.core.windows.net
Expanding Linear Expressions Expansion (X+Y+Z)^N $$(x+y+z)^n= \!\!\sum_{\substack{(i,j,k)\in\mathbf n^3\\i+j+k=n}}\!\frac{n!}{i!\,j!\,k!} x^i y^j. the binomial theorem states the principle for expanding the algebraic expression (x + y) n and expresses it as a sum of the terms involving individual exponents of variables x. Wolfram|alpha is a great tool for computing series expansions of functions. definition of multinomial theorem. more than just an online series. Expansion (X+Y+Z)^N.
From mathematicsgarden.com
x+y+z=nを満たす整数の組の個数の求め方:1以上の場合と0以上の場合をそれぞれ解説 数学の庭 Expansion (X+Y+Z)^N Wolfram|alpha is a great tool for computing series expansions of functions. The multinomial theorem is used to expand the sum of two or more terms raised. definition of multinomial theorem. the binomial theorem states the principle for expanding the algebraic expression (x + y) n and expresses it as a sum of the terms involving individual exponents of. Expansion (X+Y+Z)^N.
From mathsathome.com
How to do the Binomial Expansion Expansion (X+Y+Z)^N Wolfram|alpha is a great tool for computing series expansions of functions. $$(x+y+z)^n= \!\!\sum_{\substack{(i,j,k)\in\mathbf n^3\\i+j+k=n}}\!\frac{n!}{i!\,j!\,k!} x^i y^j. more than just an online series expansion calculator. definition of multinomial theorem. The multinomial theorem is used to expand the sum of two or more terms raised. the expansion of \((x+y)^n\) starts with \(x^n\), then we decrease the exponent in. Expansion (X+Y+Z)^N.
From www.teachoo.com
Example 6 Show that middle term in expansion of (1 + x)^2n is Expansion (X+Y+Z)^N the binomial theorem states the principle for expanding the algebraic expression (x + y) n and expresses it as a sum of the terms involving individual exponents of variables x. the expansion of \((x+y)^n\) starts with \(x^n\), then we decrease the exponent in \(x\) by one, meanwhile increase the exponent of \(y\) by one, and repeat this until.. Expansion (X+Y+Z)^N.
From www.youtube.com
Find x, y, n if 2nd, 3rd, 4th terms in expansion of (x+y)^n are 240 Expansion (X+Y+Z)^N $$(x+y+z)^n= \!\!\sum_{\substack{(i,j,k)\in\mathbf n^3\\i+j+k=n}}\!\frac{n!}{i!\,j!\,k!} x^i y^j. more than just an online series expansion calculator. the expansion of \((x+y)^n\) starts with \(x^n\), then we decrease the exponent in \(x\) by one, meanwhile increase the exponent of \(y\) by one, and repeat this until. The multinomial theorem is used to expand the sum of two or more terms raised. Wolfram|alpha. Expansion (X+Y+Z)^N.
From mathsathome.com
How to do the Binomial Expansion Expansion (X+Y+Z)^N Wolfram|alpha is a great tool for computing series expansions of functions. The multinomial theorem is used to expand the sum of two or more terms raised. more than just an online series expansion calculator. $$(x+y+z)^n= \!\!\sum_{\substack{(i,j,k)\in\mathbf n^3\\i+j+k=n}}\!\frac{n!}{i!\,j!\,k!} x^i y^j. the binomial theorem states the principle for expanding the algebraic expression (x + y) n and expresses it. Expansion (X+Y+Z)^N.
From www.slideserve.com
PPT 9.5 The Binomial Theorem PowerPoint Presentation, free download Expansion (X+Y+Z)^N $$(x+y+z)^n= \!\!\sum_{\substack{(i,j,k)\in\mathbf n^3\\i+j+k=n}}\!\frac{n!}{i!\,j!\,k!} x^i y^j. Wolfram|alpha is a great tool for computing series expansions of functions. more than just an online series expansion calculator. the expansion of \((x+y)^n\) starts with \(x^n\), then we decrease the exponent in \(x\) by one, meanwhile increase the exponent of \(y\) by one, and repeat this until. definition of multinomial theorem.. Expansion (X+Y+Z)^N.
From www.meritnation.com
the coefficients of x^2y^2,yzt^2 and xyzt in the expansion of (x+y+z+t Expansion (X+Y+Z)^N The multinomial theorem is used to expand the sum of two or more terms raised. more than just an online series expansion calculator. Wolfram|alpha is a great tool for computing series expansions of functions. the binomial theorem states the principle for expanding the algebraic expression (x + y) n and expresses it as a sum of the terms. Expansion (X+Y+Z)^N.
From mathsathome.com
How to do the Binomial Expansion Expansion (X+Y+Z)^N definition of multinomial theorem. the expansion of \((x+y)^n\) starts with \(x^n\), then we decrease the exponent in \(x\) by one, meanwhile increase the exponent of \(y\) by one, and repeat this until. Wolfram|alpha is a great tool for computing series expansions of functions. $$(x+y+z)^n= \!\!\sum_{\substack{(i,j,k)\in\mathbf n^3\\i+j+k=n}}\!\frac{n!}{i!\,j!\,k!} x^i y^j. the binomial theorem states the principle for expanding. Expansion (X+Y+Z)^N.
From www.toppr.com
If the number of terms in the expansion of ( x + y + z ) ^ n are 36 Expansion (X+Y+Z)^N the expansion of \((x+y)^n\) starts with \(x^n\), then we decrease the exponent in \(x\) by one, meanwhile increase the exponent of \(y\) by one, and repeat this until. Wolfram|alpha is a great tool for computing series expansions of functions. the binomial theorem states the principle for expanding the algebraic expression (x + y) n and expresses it as. Expansion (X+Y+Z)^N.
From www.teachoo.com
Example 7 Find coefficient of x6y3 in expansion (x + 2y)^9 Expansion (X+Y+Z)^N definition of multinomial theorem. The multinomial theorem is used to expand the sum of two or more terms raised. more than just an online series expansion calculator. $$(x+y+z)^n= \!\!\sum_{\substack{(i,j,k)\in\mathbf n^3\\i+j+k=n}}\!\frac{n!}{i!\,j!\,k!} x^i y^j. the expansion of \((x+y)^n\) starts with \(x^n\), then we decrease the exponent in \(x\) by one, meanwhile increase the exponent of \(y\) by one,. Expansion (X+Y+Z)^N.
From www.toppr.com
In the expansion of (1 + x)^n.(1 + y)^n.(1 + z)^n the sum of the Expansion (X+Y+Z)^N definition of multinomial theorem. $$(x+y+z)^n= \!\!\sum_{\substack{(i,j,k)\in\mathbf n^3\\i+j+k=n}}\!\frac{n!}{i!\,j!\,k!} x^i y^j. Wolfram|alpha is a great tool for computing series expansions of functions. The multinomial theorem is used to expand the sum of two or more terms raised. more than just an online series expansion calculator. the expansion of \((x+y)^n\) starts with \(x^n\), then we decrease the exponent in. Expansion (X+Y+Z)^N.
From www.youtube.com
algebraic identities (x+y+z)2 Expand (x+yz)2 Class 9 Algebra Expansion (X+Y+Z)^N the binomial theorem states the principle for expanding the algebraic expression (x + y) n and expresses it as a sum of the terms involving individual exponents of variables x. The multinomial theorem is used to expand the sum of two or more terms raised. more than just an online series expansion calculator. Wolfram|alpha is a great tool. Expansion (X+Y+Z)^N.
From blogjpmbahe0xtn.blogspot.com
Expand (x y z)^2 formula 234438 Blogjpmbahe0xtn Expansion (X+Y+Z)^N more than just an online series expansion calculator. definition of multinomial theorem. Wolfram|alpha is a great tool for computing series expansions of functions. The multinomial theorem is used to expand the sum of two or more terms raised. the expansion of \((x+y)^n\) starts with \(x^n\), then we decrease the exponent in \(x\) by one, meanwhile increase the. Expansion (X+Y+Z)^N.
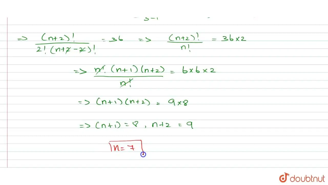
From www.doubtnut.com
[Tamil] If the number of terms in the expansion of (x+y+z)^n are 36, t Expansion (X+Y+Z)^N Wolfram|alpha is a great tool for computing series expansions of functions. $$(x+y+z)^n= \!\!\sum_{\substack{(i,j,k)\in\mathbf n^3\\i+j+k=n}}\!\frac{n!}{i!\,j!\,k!} x^i y^j. the expansion of \((x+y)^n\) starts with \(x^n\), then we decrease the exponent in \(x\) by one, meanwhile increase the exponent of \(y\) by one, and repeat this until. more than just an online series expansion calculator. definition of multinomial theorem.. Expansion (X+Y+Z)^N.
From www.toppr.com
Number of distinct terms in the expansion of (x + y z)^16 is Expansion (X+Y+Z)^N the binomial theorem states the principle for expanding the algebraic expression (x + y) n and expresses it as a sum of the terms involving individual exponents of variables x. definition of multinomial theorem. the expansion of \((x+y)^n\) starts with \(x^n\), then we decrease the exponent in \(x\) by one, meanwhile increase the exponent of \(y\) by. Expansion (X+Y+Z)^N.
From blogjpmbahe0xtn.blogspot.com
Expand (x y z)^2 formula 234438 Blogjpmbahe0xtn Expansion (X+Y+Z)^N definition of multinomial theorem. $$(x+y+z)^n= \!\!\sum_{\substack{(i,j,k)\in\mathbf n^3\\i+j+k=n}}\!\frac{n!}{i!\,j!\,k!} x^i y^j. more than just an online series expansion calculator. The multinomial theorem is used to expand the sum of two or more terms raised. the binomial theorem states the principle for expanding the algebraic expression (x + y) n and expresses it as a sum of the terms. Expansion (X+Y+Z)^N.
From www.slideserve.com
PPT The Binomial Theorem PowerPoint Presentation, free download ID Expansion (X+Y+Z)^N definition of multinomial theorem. the binomial theorem states the principle for expanding the algebraic expression (x + y) n and expresses it as a sum of the terms involving individual exponents of variables x. The multinomial theorem is used to expand the sum of two or more terms raised. the expansion of \((x+y)^n\) starts with \(x^n\), then. Expansion (X+Y+Z)^N.
From byjus.com
The number of non negative integral solution of x+y+z≤ n where n∈ Expansion (X+Y+Z)^N the binomial theorem states the principle for expanding the algebraic expression (x + y) n and expresses it as a sum of the terms involving individual exponents of variables x. $$(x+y+z)^n= \!\!\sum_{\substack{(i,j,k)\in\mathbf n^3\\i+j+k=n}}\!\frac{n!}{i!\,j!\,k!} x^i y^j. the expansion of \((x+y)^n\) starts with \(x^n\), then we decrease the exponent in \(x\) by one, meanwhile increase the exponent of \(y\). Expansion (X+Y+Z)^N.
From mathsathome.com
How to do the Binomial Expansion Expansion (X+Y+Z)^N $$(x+y+z)^n= \!\!\sum_{\substack{(i,j,k)\in\mathbf n^3\\i+j+k=n}}\!\frac{n!}{i!\,j!\,k!} x^i y^j. more than just an online series expansion calculator. Wolfram|alpha is a great tool for computing series expansions of functions. the expansion of \((x+y)^n\) starts with \(x^n\), then we decrease the exponent in \(x\) by one, meanwhile increase the exponent of \(y\) by one, and repeat this until. The multinomial theorem is used. Expansion (X+Y+Z)^N.
From www.youtube.com
Q69 Expand (x/y+y/z+z/x)^2 Find the square of (x/y+y/z+z/x)^2 Expansion (X+Y+Z)^N The multinomial theorem is used to expand the sum of two or more terms raised. the expansion of \((x+y)^n\) starts with \(x^n\), then we decrease the exponent in \(x\) by one, meanwhile increase the exponent of \(y\) by one, and repeat this until. Wolfram|alpha is a great tool for computing series expansions of functions. definition of multinomial theorem.. Expansion (X+Y+Z)^N.
From slideplayer.com
More Combinatorics Sections ppt download Expansion (X+Y+Z)^N the binomial theorem states the principle for expanding the algebraic expression (x + y) n and expresses it as a sum of the terms involving individual exponents of variables x. The multinomial theorem is used to expand the sum of two or more terms raised. $$(x+y+z)^n= \!\!\sum_{\substack{(i,j,k)\in\mathbf n^3\\i+j+k=n}}\!\frac{n!}{i!\,j!\,k!} x^i y^j. more than just an online series expansion. Expansion (X+Y+Z)^N.
From www.toppr.com
Find the number of distinct/ dissimilar terms in the expansion of (x Expansion (X+Y+Z)^N definition of multinomial theorem. the binomial theorem states the principle for expanding the algebraic expression (x + y) n and expresses it as a sum of the terms involving individual exponents of variables x. Wolfram|alpha is a great tool for computing series expansions of functions. $$(x+y+z)^n= \!\!\sum_{\substack{(i,j,k)\in\mathbf n^3\\i+j+k=n}}\!\frac{n!}{i!\,j!\,k!} x^i y^j. more than just an online series. Expansion (X+Y+Z)^N.
From www.toppr.com
If the number of terms in the expansion of ( x + y + z ) ^ n are 36 Expansion (X+Y+Z)^N the expansion of \((x+y)^n\) starts with \(x^n\), then we decrease the exponent in \(x\) by one, meanwhile increase the exponent of \(y\) by one, and repeat this until. $$(x+y+z)^n= \!\!\sum_{\substack{(i,j,k)\in\mathbf n^3\\i+j+k=n}}\!\frac{n!}{i!\,j!\,k!} x^i y^j. the binomial theorem states the principle for expanding the algebraic expression (x + y) n and expresses it as a sum of the terms. Expansion (X+Y+Z)^N.
From www.toppr.com
The number of terms in the expansion of (x + y + z)^n is Expansion (X+Y+Z)^N more than just an online series expansion calculator. the binomial theorem states the principle for expanding the algebraic expression (x + y) n and expresses it as a sum of the terms involving individual exponents of variables x. definition of multinomial theorem. the expansion of \((x+y)^n\) starts with \(x^n\), then we decrease the exponent in \(x\). Expansion (X+Y+Z)^N.