Two Identical Bowling Balls A And B . Ball a is dropped 1.0 s before ball b is dropped but. At the top of the frictionless ramp (a), there has been no outside torque to stop the. Correct option (e) the distance between the two balls increases. Both balls begin with rotational and translational kinetic energy. The diagram shows two identical bowling balls, a and b, dropped from rest from the top of a tall tower. When two identical bowling balls are dropped from a tower at different times with negligible air resistance, the distance between. The drag force depends on the shape of an object (surface area) and therefore it is the same for two identical balls with different. Two identical bowling balls a and b are each dropped from rest from the top of a tall tower. Two identical bowling balls a and b are each dropped from rest from the top of a tall tower as shown in the diagram above. Looking at choices a, d and e eliminates the possibility. Two identical bowling balls a and b are each dropped from rest from the top of a tall tower as shown in the diagram below.
from www.kidslearntobowl.com
Both balls begin with rotational and translational kinetic energy. Looking at choices a, d and e eliminates the possibility. Correct option (e) the distance between the two balls increases. Two identical bowling balls a and b are each dropped from rest from the top of a tall tower as shown in the diagram below. Two identical bowling balls a and b are each dropped from rest from the top of a tall tower. Ball a is dropped 1.0 s before ball b is dropped but. The drag force depends on the shape of an object (surface area) and therefore it is the same for two identical balls with different. The diagram shows two identical bowling balls, a and b, dropped from rest from the top of a tall tower. When two identical bowling balls are dropped from a tower at different times with negligible air resistance, the distance between. Two identical bowling balls a and b are each dropped from rest from the top of a tall tower as shown in the diagram above.
Selecting a Bowling Ball Kids Learn to Bowl
Two Identical Bowling Balls A And B The diagram shows two identical bowling balls, a and b, dropped from rest from the top of a tall tower. Both balls begin with rotational and translational kinetic energy. Two identical bowling balls a and b are each dropped from rest from the top of a tall tower as shown in the diagram below. The diagram shows two identical bowling balls, a and b, dropped from rest from the top of a tall tower. Ball a is dropped 1.0 s before ball b is dropped but. Two identical bowling balls a and b are each dropped from rest from the top of a tall tower as shown in the diagram above. At the top of the frictionless ramp (a), there has been no outside torque to stop the. The drag force depends on the shape of an object (surface area) and therefore it is the same for two identical balls with different. Looking at choices a, d and e eliminates the possibility. Correct option (e) the distance between the two balls increases. When two identical bowling balls are dropped from a tower at different times with negligible air resistance, the distance between. Two identical bowling balls a and b are each dropped from rest from the top of a tall tower.
From atelier-yuwa.ciao.jp
What Is Inside A Bowling Ball And Are Balls Created Equally? atelier Two Identical Bowling Balls A And B Two identical bowling balls a and b are each dropped from rest from the top of a tall tower as shown in the diagram above. When two identical bowling balls are dropped from a tower at different times with negligible air resistance, the distance between. Two identical bowling balls a and b are each dropped from rest from the top. Two Identical Bowling Balls A And B.
From bowlingforbeginners.com
Bowling Styles 9 Bowling Types, Forms, and Techniques Two Identical Bowling Balls A And B Two identical bowling balls a and b are each dropped from rest from the top of a tall tower. Two identical bowling balls a and b are each dropped from rest from the top of a tall tower as shown in the diagram below. At the top of the frictionless ramp (a), there has been no outside torque to stop. Two Identical Bowling Balls A And B.
From askfilo.com
Two identical balls A and B are released from the position shown in Fig. Two Identical Bowling Balls A And B The drag force depends on the shape of an object (surface area) and therefore it is the same for two identical balls with different. Both balls begin with rotational and translational kinetic energy. The diagram shows two identical bowling balls, a and b, dropped from rest from the top of a tall tower. Two identical bowling balls a and b. Two Identical Bowling Balls A And B.
From bowlingforbeginners.com
What Are Bowling Balls Made of (Tell All Guide to Coverstocks, Core and Two Identical Bowling Balls A And B Looking at choices a, d and e eliminates the possibility. The diagram shows two identical bowling balls, a and b, dropped from rest from the top of a tall tower. Correct option (e) the distance between the two balls increases. Two identical bowling balls a and b are each dropped from rest from the top of a tall tower as. Two Identical Bowling Balls A And B.
From brainly.com
Two identical, perfectly smooth 64.4 N bowling balls 19.9 cm in Two Identical Bowling Balls A And B At the top of the frictionless ramp (a), there has been no outside torque to stop the. Ball a is dropped 1.0 s before ball b is dropped but. Looking at choices a, d and e eliminates the possibility. Two identical bowling balls a and b are each dropped from rest from the top of a tall tower. The diagram. Two Identical Bowling Balls A And B.
From livetobowl.com
What Are The Differences Between Pearl, Solid And Hybrid Bowling Balls Two Identical Bowling Balls A And B Ball a is dropped 1.0 s before ball b is dropped but. Two identical bowling balls a and b are each dropped from rest from the top of a tall tower as shown in the diagram below. Looking at choices a, d and e eliminates the possibility. The diagram shows two identical bowling balls, a and b, dropped from rest. Two Identical Bowling Balls A And B.
From www.reddit.com
Does anybody know anything about these two bowling balls? r/Bowling Two Identical Bowling Balls A And B Two identical bowling balls a and b are each dropped from rest from the top of a tall tower as shown in the diagram below. The drag force depends on the shape of an object (surface area) and therefore it is the same for two identical balls with different. Correct option (e) the distance between the two balls increases. Two. Two Identical Bowling Balls A And B.
From www.youtube.com
5 Of The Same Symmetrical Bowling Ball 5 Different Layouts 5 Two Identical Bowling Balls A And B Correct option (e) the distance between the two balls increases. At the top of the frictionless ramp (a), there has been no outside torque to stop the. The drag force depends on the shape of an object (surface area) and therefore it is the same for two identical balls with different. The diagram shows two identical bowling balls, a and. Two Identical Bowling Balls A And B.
From fitseer.com
15 Types of Bowling Balls Every Player Should Know Two Identical Bowling Balls A And B The drag force depends on the shape of an object (surface area) and therefore it is the same for two identical balls with different. Looking at choices a, d and e eliminates the possibility. When two identical bowling balls are dropped from a tower at different times with negligible air resistance, the distance between. At the top of the frictionless. Two Identical Bowling Balls A And B.
From bowlingforbeginners.com
What is Inside a Bowling Ball and Are Balls Created Equally? Two Identical Bowling Balls A And B Two identical bowling balls a and b are each dropped from rest from the top of a tall tower. Both balls begin with rotational and translational kinetic energy. Ball a is dropped 1.0 s before ball b is dropped but. Two identical bowling balls a and b are each dropped from rest from the top of a tall tower as. Two Identical Bowling Balls A And B.
From www.chegg.com
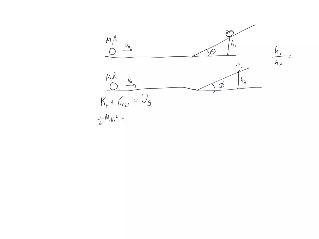
Solved 1. Two identical bowling balls of mass M and radius R Two Identical Bowling Balls A And B Two identical bowling balls a and b are each dropped from rest from the top of a tall tower as shown in the diagram above. Two identical bowling balls a and b are each dropped from rest from the top of a tall tower. Two identical bowling balls a and b are each dropped from rest from the top of. Two Identical Bowling Balls A And B.
From www.kidslearntobowl.com
Selecting a Bowling Ball Kids Learn to Bowl Two Identical Bowling Balls A And B The drag force depends on the shape of an object (surface area) and therefore it is the same for two identical balls with different. Ball a is dropped 1.0 s before ball b is dropped but. The diagram shows two identical bowling balls, a and b, dropped from rest from the top of a tall tower. Correct option (e) the. Two Identical Bowling Balls A And B.
From www.thecoldwire.com
9 Types Of Bowling Balls (Differences, Size, Color, Appearance) Two Identical Bowling Balls A And B At the top of the frictionless ramp (a), there has been no outside torque to stop the. The diagram shows two identical bowling balls, a and b, dropped from rest from the top of a tall tower. When two identical bowling balls are dropped from a tower at different times with negligible air resistance, the distance between. Both balls begin. Two Identical Bowling Balls A And B.
From www.chegg.com
Solved Consider the headon collision of two identical Two Identical Bowling Balls A And B Two identical bowling balls a and b are each dropped from rest from the top of a tall tower. Two identical bowling balls a and b are each dropped from rest from the top of a tall tower as shown in the diagram above. Looking at choices a, d and e eliminates the possibility. When two identical bowling balls are. Two Identical Bowling Balls A And B.
From ubbowl.com
How Do Bowling Balls Differ, And Which Is Best For Me? Two Identical Bowling Balls A And B Two identical bowling balls a and b are each dropped from rest from the top of a tall tower as shown in the diagram above. When two identical bowling balls are dropped from a tower at different times with negligible air resistance, the distance between. Looking at choices a, d and e eliminates the possibility. Both balls begin with rotational. Two Identical Bowling Balls A And B.
From www.chegg.com
Solved 2. Two identical, bowling balls, each of mass 7.500 Two Identical Bowling Balls A And B Two identical bowling balls a and b are each dropped from rest from the top of a tall tower as shown in the diagram above. Both balls begin with rotational and translational kinetic energy. At the top of the frictionless ramp (a), there has been no outside torque to stop the. Correct option (e) the distance between the two balls. Two Identical Bowling Balls A And B.
From www.walmart.com
12 Pcs Kids Bowling Set Includes 10 Classical White Pins and 2 Balls Two Identical Bowling Balls A And B Two identical bowling balls a and b are each dropped from rest from the top of a tall tower as shown in the diagram below. Ball a is dropped 1.0 s before ball b is dropped but. Correct option (e) the distance between the two balls increases. When two identical bowling balls are dropped from a tower at different times. Two Identical Bowling Balls A And B.
From landofbowling.com
Bowling ball, how to choose Weight Land of Bowling Two Identical Bowling Balls A And B Two identical bowling balls a and b are each dropped from rest from the top of a tall tower as shown in the diagram above. Two identical bowling balls a and b are each dropped from rest from the top of a tall tower as shown in the diagram below. Correct option (e) the distance between the two balls increases.. Two Identical Bowling Balls A And B.
From www.numerade.com
SOLVED [3] Consider headon collision of two identical bowling balls Two Identical Bowling Balls A And B The drag force depends on the shape of an object (surface area) and therefore it is the same for two identical balls with different. The diagram shows two identical bowling balls, a and b, dropped from rest from the top of a tall tower. Ball a is dropped 1.0 s before ball b is dropped but. Two identical bowling balls. Two Identical Bowling Balls A And B.
From www.chegg.com
Two identical bowling balls are lying on the floor Two Identical Bowling Balls A And B Ball a is dropped 1.0 s before ball b is dropped but. The diagram shows two identical bowling balls, a and b, dropped from rest from the top of a tall tower. Both balls begin with rotational and translational kinetic energy. Correct option (e) the distance between the two balls increases. Two identical bowling balls a and b are each. Two Identical Bowling Balls A And B.
From bowlingocean.com
Types Of Bowling Balls How To Choose Right One? Two Identical Bowling Balls A And B Two identical bowling balls a and b are each dropped from rest from the top of a tall tower as shown in the diagram below. Ball a is dropped 1.0 s before ball b is dropped but. At the top of the frictionless ramp (a), there has been no outside torque to stop the. The drag force depends on the. Two Identical Bowling Balls A And B.
From ubbowl.com
How To Choose A Bowling Ball Weight, Material, and Type Two Identical Bowling Balls A And B Two identical bowling balls a and b are each dropped from rest from the top of a tall tower. The diagram shows two identical bowling balls, a and b, dropped from rest from the top of a tall tower. The drag force depends on the shape of an object (surface area) and therefore it is the same for two identical. Two Identical Bowling Balls A And B.
From www.chegg.com
Solved 1. Two identical bowling balls of mass M and radius R Two Identical Bowling Balls A And B Looking at choices a, d and e eliminates the possibility. At the top of the frictionless ramp (a), there has been no outside torque to stop the. The drag force depends on the shape of an object (surface area) and therefore it is the same for two identical balls with different. Correct option (e) the distance between the two balls. Two Identical Bowling Balls A And B.
From kunduz.com
[ANSWERED] Two identical balls A and B are released from the positions Two Identical Bowling Balls A And B Two identical bowling balls a and b are each dropped from rest from the top of a tall tower as shown in the diagram above. Looking at choices a, d and e eliminates the possibility. Two identical bowling balls a and b are each dropped from rest from the top of a tall tower. When two identical bowling balls are. Two Identical Bowling Balls A And B.
From www.numerade.com
SOLVED Two identical bowling balls of mass M and radius R roll side by Two Identical Bowling Balls A And B Looking at choices a, d and e eliminates the possibility. The diagram shows two identical bowling balls, a and b, dropped from rest from the top of a tall tower. Two identical bowling balls a and b are each dropped from rest from the top of a tall tower. When two identical bowling balls are dropped from a tower at. Two Identical Bowling Balls A And B.
From www.youtube.com
Two identical balls A and B having velocities of 0.5 m/s and 0.3 m/s Two Identical Bowling Balls A And B Ball a is dropped 1.0 s before ball b is dropped but. The diagram shows two identical bowling balls, a and b, dropped from rest from the top of a tall tower. Two identical bowling balls a and b are each dropped from rest from the top of a tall tower as shown in the diagram below. Both balls begin. Two Identical Bowling Balls A And B.
From www.chegg.com
Solved Two identical, perfectly smooth 71.2 N bowling balls Two Identical Bowling Balls A And B Two identical bowling balls a and b are each dropped from rest from the top of a tall tower as shown in the diagram above. At the top of the frictionless ramp (a), there has been no outside torque to stop the. Two identical bowling balls a and b are each dropped from rest from the top of a tall. Two Identical Bowling Balls A And B.
From www.chegg.com
Solved Consider the headon collision of two identical Two Identical Bowling Balls A And B The drag force depends on the shape of an object (surface area) and therefore it is the same for two identical balls with different. Correct option (e) the distance between the two balls increases. At the top of the frictionless ramp (a), there has been no outside torque to stop the. Two identical bowling balls a and b are each. Two Identical Bowling Balls A And B.
From www.pinterest.com
Bowling Ball Top Weight Comparison Bowling ball, Bowling, Ball Two Identical Bowling Balls A And B Two identical bowling balls a and b are each dropped from rest from the top of a tall tower. Ball a is dropped 1.0 s before ball b is dropped but. Correct option (e) the distance between the two balls increases. At the top of the frictionless ramp (a), there has been no outside torque to stop the. When two. Two Identical Bowling Balls A And B.
From www.bowlingview.com
Are All Bowling Balls The Same Size? Unraveling the Mystery Two Identical Bowling Balls A And B Two identical bowling balls a and b are each dropped from rest from the top of a tall tower. Two identical bowling balls a and b are each dropped from rest from the top of a tall tower as shown in the diagram above. Correct option (e) the distance between the two balls increases. Ball a is dropped 1.0 s. Two Identical Bowling Balls A And B.
From bowlingforbeginners.com
What Are Bowling Balls Made of (Tell All Guide to Coverstocks, Core and Two Identical Bowling Balls A And B The drag force depends on the shape of an object (surface area) and therefore it is the same for two identical balls with different. Two identical bowling balls a and b are each dropped from rest from the top of a tall tower as shown in the diagram below. When two identical bowling balls are dropped from a tower at. Two Identical Bowling Balls A And B.
From www.sportsnhobbies.org
What are the Different Types of Bowling Balls? (with pictures) Two Identical Bowling Balls A And B The drag force depends on the shape of an object (surface area) and therefore it is the same for two identical balls with different. When two identical bowling balls are dropped from a tower at different times with negligible air resistance, the distance between. At the top of the frictionless ramp (a), there has been no outside torque to stop. Two Identical Bowling Balls A And B.
From www.bowlingaddicts.com
Understanding Bowling Ball Motion Bowling Addicts Two Identical Bowling Balls A And B At the top of the frictionless ramp (a), there has been no outside torque to stop the. Looking at choices a, d and e eliminates the possibility. The diagram shows two identical bowling balls, a and b, dropped from rest from the top of a tall tower. When two identical bowling balls are dropped from a tower at different times. Two Identical Bowling Balls A And B.
From www.numerade.com
SOLVED 6. Two identical bowling balls, one moving faster than the Two Identical Bowling Balls A And B When two identical bowling balls are dropped from a tower at different times with negligible air resistance, the distance between. The diagram shows two identical bowling balls, a and b, dropped from rest from the top of a tall tower. Two identical bowling balls a and b are each dropped from rest from the top of a tall tower. Two. Two Identical Bowling Balls A And B.
From www.numerade.com
SOLVEDThe diagram shows two bowling balls, A and B, each having a mass Two Identical Bowling Balls A And B When two identical bowling balls are dropped from a tower at different times with negligible air resistance, the distance between. Two identical bowling balls a and b are each dropped from rest from the top of a tall tower as shown in the diagram above. At the top of the frictionless ramp (a), there has been no outside torque to. Two Identical Bowling Balls A And B.