Other Names For Xanthan Gum . Xanthan gum is a type of polysaccharide, a carbohydrate made of long chains of simple sugars. Xanthan gum is a polysaccharide, a type of sugar that is made from a bacteria called xanthomonas campestris, through a process of. Found in everything from cosmetics to ice cream, xanthan gum — which is made by fermenting corn sugar with a bacterium — is a common additive that acts as a. Xanthan gum, also called corn sugar gum, is an example of polysaccharides produced from microorganisms. Xanthan gum and the majority of its substitutes are hydrocolloids. The common alternatives for xanthan gum in some food uses are the following 9 ingredients: Cornstarch, psyllium husk, sodium carboxymethyl cellulose (sodium cmc), agar agar, gum arabic, locust bean gum, konjac gum, gelatin and carrageenan. Xanthan gum is a chain of sugar building blocks made by fermenting simple sugars with a specific kind of bacteria. It is produced by aerobic fermentation of xanthomonas campestris, a bacterium found on the leaves of the brasica vegetables like cabbage. 9 substitutes for xanthan gum.
from www.foodchemadditives.com
Xanthan gum is a type of polysaccharide, a carbohydrate made of long chains of simple sugars. Xanthan gum is a polysaccharide, a type of sugar that is made from a bacteria called xanthomonas campestris, through a process of. It is produced by aerobic fermentation of xanthomonas campestris, a bacterium found on the leaves of the brasica vegetables like cabbage. Xanthan gum is a chain of sugar building blocks made by fermenting simple sugars with a specific kind of bacteria. 9 substitutes for xanthan gum. Xanthan gum and the majority of its substitutes are hydrocolloids. The common alternatives for xanthan gum in some food uses are the following 9 ingredients: Xanthan gum, also called corn sugar gum, is an example of polysaccharides produced from microorganisms. Cornstarch, psyllium husk, sodium carboxymethyl cellulose (sodium cmc), agar agar, gum arabic, locust bean gum, konjac gum, gelatin and carrageenan. Found in everything from cosmetics to ice cream, xanthan gum — which is made by fermenting corn sugar with a bacterium — is a common additive that acts as a.
Xanthan Gum MSDSFOODCHEM
Other Names For Xanthan Gum Xanthan gum is a chain of sugar building blocks made by fermenting simple sugars with a specific kind of bacteria. Found in everything from cosmetics to ice cream, xanthan gum — which is made by fermenting corn sugar with a bacterium — is a common additive that acts as a. 9 substitutes for xanthan gum. Xanthan gum, also called corn sugar gum, is an example of polysaccharides produced from microorganisms. The common alternatives for xanthan gum in some food uses are the following 9 ingredients: Xanthan gum is a chain of sugar building blocks made by fermenting simple sugars with a specific kind of bacteria. Cornstarch, psyllium husk, sodium carboxymethyl cellulose (sodium cmc), agar agar, gum arabic, locust bean gum, konjac gum, gelatin and carrageenan. Xanthan gum is a type of polysaccharide, a carbohydrate made of long chains of simple sugars. It is produced by aerobic fermentation of xanthomonas campestris, a bacterium found on the leaves of the brasica vegetables like cabbage. Xanthan gum and the majority of its substitutes are hydrocolloids. Xanthan gum is a polysaccharide, a type of sugar that is made from a bacteria called xanthomonas campestris, through a process of.
From learncanyon.com
Xanthan Gum Benefits, Side Effects And More Learn Canyon Other Names For Xanthan Gum Found in everything from cosmetics to ice cream, xanthan gum — which is made by fermenting corn sugar with a bacterium — is a common additive that acts as a. Xanthan gum is a polysaccharide, a type of sugar that is made from a bacteria called xanthomonas campestris, through a process of. Xanthan gum is a chain of sugar building. Other Names For Xanthan Gum.
From facts.net
11 Xanthan Gum Nutrition Facts Other Names For Xanthan Gum Xanthan gum is a chain of sugar building blocks made by fermenting simple sugars with a specific kind of bacteria. 9 substitutes for xanthan gum. Xanthan gum is a type of polysaccharide, a carbohydrate made of long chains of simple sugars. Xanthan gum, also called corn sugar gum, is an example of polysaccharides produced from microorganisms. Cornstarch, psyllium husk, sodium. Other Names For Xanthan Gum.
From gumstabilizer.com
The 4 Surprising Uses of Xanthan Gum A Complete Guide Other Names For Xanthan Gum Xanthan gum and the majority of its substitutes are hydrocolloids. Xanthan gum is a type of polysaccharide, a carbohydrate made of long chains of simple sugars. 9 substitutes for xanthan gum. Found in everything from cosmetics to ice cream, xanthan gum — which is made by fermenting corn sugar with a bacterium — is a common additive that acts as. Other Names For Xanthan Gum.
From www.woolworths.com.au
Macro Xanthan Gum 100g Woolworths Other Names For Xanthan Gum Xanthan gum is a polysaccharide, a type of sugar that is made from a bacteria called xanthomonas campestris, through a process of. Xanthan gum is a chain of sugar building blocks made by fermenting simple sugars with a specific kind of bacteria. Xanthan gum is a type of polysaccharide, a carbohydrate made of long chains of simple sugars. 9 substitutes. Other Names For Xanthan Gum.
From www.eatthismuch.com
Xanthan Gum Nutrition Facts Eat This Much Other Names For Xanthan Gum Cornstarch, psyllium husk, sodium carboxymethyl cellulose (sodium cmc), agar agar, gum arabic, locust bean gum, konjac gum, gelatin and carrageenan. The common alternatives for xanthan gum in some food uses are the following 9 ingredients: Xanthan gum, also called corn sugar gum, is an example of polysaccharides produced from microorganisms. It is produced by aerobic fermentation of xanthomonas campestris, a. Other Names For Xanthan Gum.
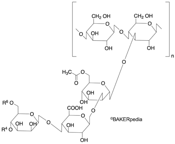
From bakerpedia.com
Xanthan Gum Baking Ingredients BAKERpedia Other Names For Xanthan Gum The common alternatives for xanthan gum in some food uses are the following 9 ingredients: Xanthan gum is a polysaccharide, a type of sugar that is made from a bacteria called xanthomonas campestris, through a process of. Xanthan gum is a chain of sugar building blocks made by fermenting simple sugars with a specific kind of bacteria. It is produced. Other Names For Xanthan Gum.
From naturefirst.com.au
Xanthan Gum Other Names For Xanthan Gum Xanthan gum is a polysaccharide, a type of sugar that is made from a bacteria called xanthomonas campestris, through a process of. Found in everything from cosmetics to ice cream, xanthan gum — which is made by fermenting corn sugar with a bacterium — is a common additive that acts as a. Cornstarch, psyllium husk, sodium carboxymethyl cellulose (sodium cmc),. Other Names For Xanthan Gum.
From www.indiamart.com
Xanthan Gum 200 Mesh, Packaging Size 25 Kg at Rs 270/kg in Gurgaon Other Names For Xanthan Gum Xanthan gum is a chain of sugar building blocks made by fermenting simple sugars with a specific kind of bacteria. Xanthan gum, also called corn sugar gum, is an example of polysaccharides produced from microorganisms. Xanthan gum is a polysaccharide, a type of sugar that is made from a bacteria called xanthomonas campestris, through a process of. 9 substitutes for. Other Names For Xanthan Gum.
From bansaltrading.com
Properties And Uses Of Xanthan gum Bansal Trading Company Other Names For Xanthan Gum Xanthan gum and the majority of its substitutes are hydrocolloids. It is produced by aerobic fermentation of xanthomonas campestris, a bacterium found on the leaves of the brasica vegetables like cabbage. Found in everything from cosmetics to ice cream, xanthan gum — which is made by fermenting corn sugar with a bacterium — is a common additive that acts as. Other Names For Xanthan Gum.
From trishulindustries.com
XANTHAN GUM Trishul Industries Other Names For Xanthan Gum Found in everything from cosmetics to ice cream, xanthan gum — which is made by fermenting corn sugar with a bacterium — is a common additive that acts as a. Cornstarch, psyllium husk, sodium carboxymethyl cellulose (sodium cmc), agar agar, gum arabic, locust bean gum, konjac gum, gelatin and carrageenan. Xanthan gum is a polysaccharide, a type of sugar that. Other Names For Xanthan Gum.
From www.healthbenefitstimes.com
Xanthan Gum facts and health benefits Other Names For Xanthan Gum Cornstarch, psyllium husk, sodium carboxymethyl cellulose (sodium cmc), agar agar, gum arabic, locust bean gum, konjac gum, gelatin and carrageenan. Xanthan gum is a polysaccharide, a type of sugar that is made from a bacteria called xanthomonas campestris, through a process of. Xanthan gum is a type of polysaccharide, a carbohydrate made of long chains of simple sugars. The common. Other Names For Xanthan Gum.
From internationalgroceries.com.au
Xanthan Gum 100g GS International Groceries GS International Groceries Other Names For Xanthan Gum 9 substitutes for xanthan gum. Xanthan gum, also called corn sugar gum, is an example of polysaccharides produced from microorganisms. Cornstarch, psyllium husk, sodium carboxymethyl cellulose (sodium cmc), agar agar, gum arabic, locust bean gum, konjac gum, gelatin and carrageenan. Xanthan gum is a chain of sugar building blocks made by fermenting simple sugars with a specific kind of bacteria.. Other Names For Xanthan Gum.
From www.foodssport.com
Xanthan Gum health benefits, Side effects and Uses Other Names For Xanthan Gum The common alternatives for xanthan gum in some food uses are the following 9 ingredients: Xanthan gum is a polysaccharide, a type of sugar that is made from a bacteria called xanthomonas campestris, through a process of. Cornstarch, psyllium husk, sodium carboxymethyl cellulose (sodium cmc), agar agar, gum arabic, locust bean gum, konjac gum, gelatin and carrageenan. Xanthan gum is. Other Names For Xanthan Gum.
From gumstabilizer.com
Xanthan Gum Uses in Food 5 Useful Parts You Should Know Other Names For Xanthan Gum 9 substitutes for xanthan gum. It is produced by aerobic fermentation of xanthomonas campestris, a bacterium found on the leaves of the brasica vegetables like cabbage. Xanthan gum is a chain of sugar building blocks made by fermenting simple sugars with a specific kind of bacteria. Xanthan gum is a polysaccharide, a type of sugar that is made from a. Other Names For Xanthan Gum.
From www.authenticfoods.com
Xanthan Gum Authentic Foods Other Names For Xanthan Gum Xanthan gum is a type of polysaccharide, a carbohydrate made of long chains of simple sugars. Xanthan gum is a chain of sugar building blocks made by fermenting simple sugars with a specific kind of bacteria. Cornstarch, psyllium husk, sodium carboxymethyl cellulose (sodium cmc), agar agar, gum arabic, locust bean gum, konjac gum, gelatin and carrageenan. It is produced by. Other Names For Xanthan Gum.
From www.youtube.com
Xanthan Gum Benefits and Uses YouTube Other Names For Xanthan Gum 9 substitutes for xanthan gum. The common alternatives for xanthan gum in some food uses are the following 9 ingredients: Xanthan gum is a chain of sugar building blocks made by fermenting simple sugars with a specific kind of bacteria. Xanthan gum is a type of polysaccharide, a carbohydrate made of long chains of simple sugars. It is produced by. Other Names For Xanthan Gum.
From gumstabilizer.com
Xanthan Gum Uses in Food 5 Useful Parts You Should Know Other Names For Xanthan Gum Xanthan gum and the majority of its substitutes are hydrocolloids. It is produced by aerobic fermentation of xanthomonas campestris, a bacterium found on the leaves of the brasica vegetables like cabbage. Xanthan gum is a chain of sugar building blocks made by fermenting simple sugars with a specific kind of bacteria. Found in everything from cosmetics to ice cream, xanthan. Other Names For Xanthan Gum.
From origreens.ph
Xanthan Gum 100g Origreens PH Other Names For Xanthan Gum Xanthan gum is a type of polysaccharide, a carbohydrate made of long chains of simple sugars. Found in everything from cosmetics to ice cream, xanthan gum — which is made by fermenting corn sugar with a bacterium — is a common additive that acts as a. Cornstarch, psyllium husk, sodium carboxymethyl cellulose (sodium cmc), agar agar, gum arabic, locust bean. Other Names For Xanthan Gum.
From kitchenwisdomglutenfree.com
Xanthan Gum Kitchen Wisdom Gluten Free Other Names For Xanthan Gum It is produced by aerobic fermentation of xanthomonas campestris, a bacterium found on the leaves of the brasica vegetables like cabbage. Cornstarch, psyllium husk, sodium carboxymethyl cellulose (sodium cmc), agar agar, gum arabic, locust bean gum, konjac gum, gelatin and carrageenan. 9 substitutes for xanthan gum. Found in everything from cosmetics to ice cream, xanthan gum — which is made. Other Names For Xanthan Gum.
From gumstabilizer.com
The 4 Surprising Uses of Xanthan Gum A Complete Guide Other Names For Xanthan Gum Xanthan gum is a chain of sugar building blocks made by fermenting simple sugars with a specific kind of bacteria. The common alternatives for xanthan gum in some food uses are the following 9 ingredients: Xanthan gum is a polysaccharide, a type of sugar that is made from a bacteria called xanthomonas campestris, through a process of. Xanthan gum is. Other Names For Xanthan Gum.
From www.skincarelab.org
Xanthan Gum in Skin Care Is It Safe? Skincare Lab Other Names For Xanthan Gum Found in everything from cosmetics to ice cream, xanthan gum — which is made by fermenting corn sugar with a bacterium — is a common additive that acts as a. 9 substitutes for xanthan gum. Xanthan gum is a chain of sugar building blocks made by fermenting simple sugars with a specific kind of bacteria. Xanthan gum is a type. Other Names For Xanthan Gum.
From www.indiamart.com
Xanthan Gum, Pack Type Bag, Pack Size 25 Kg at Rs 205/kilogram in Other Names For Xanthan Gum Xanthan gum is a type of polysaccharide, a carbohydrate made of long chains of simple sugars. Found in everything from cosmetics to ice cream, xanthan gum — which is made by fermenting corn sugar with a bacterium — is a common additive that acts as a. Xanthan gum, also called corn sugar gum, is an example of polysaccharides produced from. Other Names For Xanthan Gum.
From bansaltrading.com
Properties And Uses Of Xanthan gum Bansal Trading Company Other Names For Xanthan Gum Xanthan gum is a polysaccharide, a type of sugar that is made from a bacteria called xanthomonas campestris, through a process of. The common alternatives for xanthan gum in some food uses are the following 9 ingredients: Xanthan gum is a chain of sugar building blocks made by fermenting simple sugars with a specific kind of bacteria. Cornstarch, psyllium husk,. Other Names For Xanthan Gum.
From www.popsugar.com
Xanthan Gum POPSUGAR Food Other Names For Xanthan Gum Xanthan gum and the majority of its substitutes are hydrocolloids. Xanthan gum is a chain of sugar building blocks made by fermenting simple sugars with a specific kind of bacteria. The common alternatives for xanthan gum in some food uses are the following 9 ingredients: It is produced by aerobic fermentation of xanthomonas campestris, a bacterium found on the leaves. Other Names For Xanthan Gum.
From www.pastrystar.com
Xanthan Gum PastryStar Other Names For Xanthan Gum Xanthan gum, also called corn sugar gum, is an example of polysaccharides produced from microorganisms. It is produced by aerobic fermentation of xanthomonas campestris, a bacterium found on the leaves of the brasica vegetables like cabbage. Xanthan gum is a chain of sugar building blocks made by fermenting simple sugars with a specific kind of bacteria. Xanthan gum is a. Other Names For Xanthan Gum.
From www.healthbenefitstimes.com
Xanthan Gum facts and health benefits Other Names For Xanthan Gum Xanthan gum is a polysaccharide, a type of sugar that is made from a bacteria called xanthomonas campestris, through a process of. 9 substitutes for xanthan gum. Found in everything from cosmetics to ice cream, xanthan gum — which is made by fermenting corn sugar with a bacterium — is a common additive that acts as a. Cornstarch, psyllium husk,. Other Names For Xanthan Gum.
From draxe.com
Is Xanthan Gum Healthy or Not? Uses, Side Effects and More Dr. Axe Other Names For Xanthan Gum Xanthan gum is a polysaccharide, a type of sugar that is made from a bacteria called xanthomonas campestris, through a process of. Xanthan gum is a type of polysaccharide, a carbohydrate made of long chains of simple sugars. It is produced by aerobic fermentation of xanthomonas campestris, a bacterium found on the leaves of the brasica vegetables like cabbage. 9. Other Names For Xanthan Gum.
From samwafoods.co.ke
Xanthan Gum Samwa Natural Foods Other Names For Xanthan Gum Xanthan gum, also called corn sugar gum, is an example of polysaccharides produced from microorganisms. Found in everything from cosmetics to ice cream, xanthan gum — which is made by fermenting corn sugar with a bacterium — is a common additive that acts as a. It is produced by aerobic fermentation of xanthomonas campestris, a bacterium found on the leaves. Other Names For Xanthan Gum.
From theingredientguru.com
Xanthan Gum The Common Food Additive You Need to Know About Other Names For Xanthan Gum Found in everything from cosmetics to ice cream, xanthan gum — which is made by fermenting corn sugar with a bacterium — is a common additive that acts as a. It is produced by aerobic fermentation of xanthomonas campestris, a bacterium found on the leaves of the brasica vegetables like cabbage. Xanthan gum is a type of polysaccharide, a carbohydrate. Other Names For Xanthan Gum.
From bulkpricedfoodshoppe.com
Xanthan Gum Bulk Priced Food Shoppe Other Names For Xanthan Gum Xanthan gum, also called corn sugar gum, is an example of polysaccharides produced from microorganisms. Xanthan gum is a polysaccharide, a type of sugar that is made from a bacteria called xanthomonas campestris, through a process of. Xanthan gum is a chain of sugar building blocks made by fermenting simple sugars with a specific kind of bacteria. Xanthan gum is. Other Names For Xanthan Gum.
From www.foodchemadditives.com
Xanthan Gum MSDSFOODCHEM Other Names For Xanthan Gum Found in everything from cosmetics to ice cream, xanthan gum — which is made by fermenting corn sugar with a bacterium — is a common additive that acts as a. Xanthan gum is a chain of sugar building blocks made by fermenting simple sugars with a specific kind of bacteria. Xanthan gum is a type of polysaccharide, a carbohydrate made. Other Names For Xanthan Gum.
From recipes.specialingredientseurope.com
What is Xanthan Gum? Modern Gastronomy Recipes Other Names For Xanthan Gum 9 substitutes for xanthan gum. It is produced by aerobic fermentation of xanthomonas campestris, a bacterium found on the leaves of the brasica vegetables like cabbage. The common alternatives for xanthan gum in some food uses are the following 9 ingredients: Xanthan gum, also called corn sugar gum, is an example of polysaccharides produced from microorganisms. Xanthan gum is a. Other Names For Xanthan Gum.
From www.medchemexpress.eu
Xanthan gum Biochemical Assay Reagent MedChemExpress Other Names For Xanthan Gum Xanthan gum, also called corn sugar gum, is an example of polysaccharides produced from microorganisms. Xanthan gum and the majority of its substitutes are hydrocolloids. Found in everything from cosmetics to ice cream, xanthan gum — which is made by fermenting corn sugar with a bacterium — is a common additive that acts as a. The common alternatives for xanthan. Other Names For Xanthan Gum.
From gumstabilizer.com
The 4 Surprising Uses of Xanthan Gum A Complete Guide Other Names For Xanthan Gum Found in everything from cosmetics to ice cream, xanthan gum — which is made by fermenting corn sugar with a bacterium — is a common additive that acts as a. Xanthan gum and the majority of its substitutes are hydrocolloids. Xanthan gum is a polysaccharide, a type of sugar that is made from a bacteria called xanthomonas campestris, through a. Other Names For Xanthan Gum.
From recipeland.com
Ingredient Xanthan gum recipeland Other Names For Xanthan Gum Found in everything from cosmetics to ice cream, xanthan gum — which is made by fermenting corn sugar with a bacterium — is a common additive that acts as a. It is produced by aerobic fermentation of xanthomonas campestris, a bacterium found on the leaves of the brasica vegetables like cabbage. Xanthan gum and the majority of its substitutes are. Other Names For Xanthan Gum.