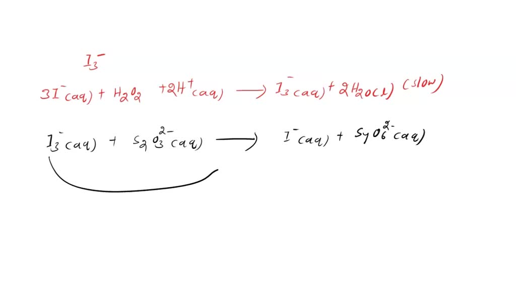
Thiosulfate And Iodine Reaction . This diluted solution will be used along the. Transfer the diluted thiosulfate solution into a clean labeled plastic bottle. Importantly, gloves, safety goggles, and caution should be observed when using. A redox reaction occurs between iodine and thiosulfate ions: Potassium iodide (ki) serves as the salt, while sulfuric acid (h 2 so 4) provides the required acidity. Let's mix a solution of sodium thiosulfate, na 2 s 2 o 3, with iodine, i 2,. The most common variant of the iodine clock reaction uses sodium thiosulfate (na 2 s 2 o 3) as the reductant and hydrogen peroxide (h 2 o 2) as the oxidant. Adding sodium thiosulfate to the.
from www.youtube.com
This diluted solution will be used along the. Transfer the diluted thiosulfate solution into a clean labeled plastic bottle. Let's mix a solution of sodium thiosulfate, na 2 s 2 o 3, with iodine, i 2,. Potassium iodide (ki) serves as the salt, while sulfuric acid (h 2 so 4) provides the required acidity. Adding sodium thiosulfate to the. A redox reaction occurs between iodine and thiosulfate ions: The most common variant of the iodine clock reaction uses sodium thiosulfate (na 2 s 2 o 3) as the reductant and hydrogen peroxide (h 2 o 2) as the oxidant. Importantly, gloves, safety goggles, and caution should be observed when using.
Iodine and sodium thiosulfate titrations YouTube
Thiosulfate And Iodine Reaction Transfer the diluted thiosulfate solution into a clean labeled plastic bottle. A redox reaction occurs between iodine and thiosulfate ions: Potassium iodide (ki) serves as the salt, while sulfuric acid (h 2 so 4) provides the required acidity. Adding sodium thiosulfate to the. Let's mix a solution of sodium thiosulfate, na 2 s 2 o 3, with iodine, i 2,. Transfer the diluted thiosulfate solution into a clean labeled plastic bottle. Importantly, gloves, safety goggles, and caution should be observed when using. This diluted solution will be used along the. The most common variant of the iodine clock reaction uses sodium thiosulfate (na 2 s 2 o 3) as the reductant and hydrogen peroxide (h 2 o 2) as the oxidant.
From www.numerade.com
SOLVED Sodium thiosulfate solution can be standardized by titration Thiosulfate And Iodine Reaction A redox reaction occurs between iodine and thiosulfate ions: Transfer the diluted thiosulfate solution into a clean labeled plastic bottle. Let's mix a solution of sodium thiosulfate, na 2 s 2 o 3, with iodine, i 2,. Importantly, gloves, safety goggles, and caution should be observed when using. Adding sodium thiosulfate to the. This diluted solution will be used along. Thiosulfate And Iodine Reaction.
From www.youtube.com
Iodine / Thiosulfate Redox Titration Demonstration YouTube Thiosulfate And Iodine Reaction Let's mix a solution of sodium thiosulfate, na 2 s 2 o 3, with iodine, i 2,. Potassium iodide (ki) serves as the salt, while sulfuric acid (h 2 so 4) provides the required acidity. The most common variant of the iodine clock reaction uses sodium thiosulfate (na 2 s 2 o 3) as the reductant and hydrogen peroxide (h. Thiosulfate And Iodine Reaction.
From www.chemistrystudent.com
Clock Reactions and Iodine Clock Reaction (ALevel) ChemistryStudent Thiosulfate And Iodine Reaction The most common variant of the iodine clock reaction uses sodium thiosulfate (na 2 s 2 o 3) as the reductant and hydrogen peroxide (h 2 o 2) as the oxidant. Transfer the diluted thiosulfate solution into a clean labeled plastic bottle. Importantly, gloves, safety goggles, and caution should be observed when using. Adding sodium thiosulfate to the. This diluted. Thiosulfate And Iodine Reaction.
From www.numerade.com
SOLVEDIodine reacts with thiosulfate ion, S2 O3 ^2, to give iodide Thiosulfate And Iodine Reaction Transfer the diluted thiosulfate solution into a clean labeled plastic bottle. The most common variant of the iodine clock reaction uses sodium thiosulfate (na 2 s 2 o 3) as the reductant and hydrogen peroxide (h 2 o 2) as the oxidant. Importantly, gloves, safety goggles, and caution should be observed when using. This diluted solution will be used along. Thiosulfate And Iodine Reaction.
From www.toppr.com
The equivalent mass of sodium thiosulphate (Na2S2O3· 5H2O) in the Thiosulfate And Iodine Reaction This diluted solution will be used along the. The most common variant of the iodine clock reaction uses sodium thiosulfate (na 2 s 2 o 3) as the reductant and hydrogen peroxide (h 2 o 2) as the oxidant. Transfer the diluted thiosulfate solution into a clean labeled plastic bottle. A redox reaction occurs between iodine and thiosulfate ions: Let's. Thiosulfate And Iodine Reaction.
From slideplayer.com
Redox titrations iodine and thiosulfate L.O. Understand how to carry Thiosulfate And Iodine Reaction This diluted solution will be used along the. Adding sodium thiosulfate to the. Let's mix a solution of sodium thiosulfate, na 2 s 2 o 3, with iodine, i 2,. Transfer the diluted thiosulfate solution into a clean labeled plastic bottle. Potassium iodide (ki) serves as the salt, while sulfuric acid (h 2 so 4) provides the required acidity. Importantly,. Thiosulfate And Iodine Reaction.
From www.numerade.com
SOLVEDIodine reacts with thiosulfate ion, mathrm{S}_{2} mathrm{O}_{3 Thiosulfate And Iodine Reaction Let's mix a solution of sodium thiosulfate, na 2 s 2 o 3, with iodine, i 2,. Adding sodium thiosulfate to the. Importantly, gloves, safety goggles, and caution should be observed when using. A redox reaction occurs between iodine and thiosulfate ions: This diluted solution will be used along the. The most common variant of the iodine clock reaction uses. Thiosulfate And Iodine Reaction.
From fphoto.photoshelter.com
science chemistry titration iodine thiosulfate Fundamental Thiosulfate And Iodine Reaction Let's mix a solution of sodium thiosulfate, na 2 s 2 o 3, with iodine, i 2,. The most common variant of the iodine clock reaction uses sodium thiosulfate (na 2 s 2 o 3) as the reductant and hydrogen peroxide (h 2 o 2) as the oxidant. Potassium iodide (ki) serves as the salt, while sulfuric acid (h 2. Thiosulfate And Iodine Reaction.
From studylib.net
An iodine / thiosulfate titration Thiosulfate And Iodine Reaction Potassium iodide (ki) serves as the salt, while sulfuric acid (h 2 so 4) provides the required acidity. This diluted solution will be used along the. A redox reaction occurs between iodine and thiosulfate ions: Transfer the diluted thiosulfate solution into a clean labeled plastic bottle. Let's mix a solution of sodium thiosulfate, na 2 s 2 o 3, with. Thiosulfate And Iodine Reaction.
From www.youtube.com
OCR A level Chemisty Unit F325 Module 3 Redox Titrations Using Thiosulfate And Iodine Reaction A redox reaction occurs between iodine and thiosulfate ions: Adding sodium thiosulfate to the. Let's mix a solution of sodium thiosulfate, na 2 s 2 o 3, with iodine, i 2,. This diluted solution will be used along the. The most common variant of the iodine clock reaction uses sodium thiosulfate (na 2 s 2 o 3) as the reductant. Thiosulfate And Iodine Reaction.
From www.numerade.com
a solution of sodium thiosulfate was standardized by dissolving 01110 g Thiosulfate And Iodine Reaction Transfer the diluted thiosulfate solution into a clean labeled plastic bottle. Potassium iodide (ki) serves as the salt, while sulfuric acid (h 2 so 4) provides the required acidity. This diluted solution will be used along the. The most common variant of the iodine clock reaction uses sodium thiosulfate (na 2 s 2 o 3) as the reductant and hydrogen. Thiosulfate And Iodine Reaction.
From www.slideserve.com
PPT Sodium Thiosulfate Titrations PowerPoint Presentation, free Thiosulfate And Iodine Reaction Let's mix a solution of sodium thiosulfate, na 2 s 2 o 3, with iodine, i 2,. Importantly, gloves, safety goggles, and caution should be observed when using. The most common variant of the iodine clock reaction uses sodium thiosulfate (na 2 s 2 o 3) as the reductant and hydrogen peroxide (h 2 o 2) as the oxidant. Potassium. Thiosulfate And Iodine Reaction.
From www.youtube.com
Iodine Clock Reaction YouTube Thiosulfate And Iodine Reaction The most common variant of the iodine clock reaction uses sodium thiosulfate (na 2 s 2 o 3) as the reductant and hydrogen peroxide (h 2 o 2) as the oxidant. Adding sodium thiosulfate to the. Transfer the diluted thiosulfate solution into a clean labeled plastic bottle. Let's mix a solution of sodium thiosulfate, na 2 s 2 o 3,. Thiosulfate And Iodine Reaction.
From www.sciencephoto.com
Iodine and thiosulfate ions titration Stock Image C033/2858 Science Thiosulfate And Iodine Reaction Potassium iodide (ki) serves as the salt, while sulfuric acid (h 2 so 4) provides the required acidity. Importantly, gloves, safety goggles, and caution should be observed when using. Transfer the diluted thiosulfate solution into a clean labeled plastic bottle. Let's mix a solution of sodium thiosulfate, na 2 s 2 o 3, with iodine, i 2,. This diluted solution. Thiosulfate And Iodine Reaction.
From www.chegg.com
Solved 4. Using starch solution as an indicator, the iodine Thiosulfate And Iodine Reaction A redox reaction occurs between iodine and thiosulfate ions: Importantly, gloves, safety goggles, and caution should be observed when using. This diluted solution will be used along the. Transfer the diluted thiosulfate solution into a clean labeled plastic bottle. The most common variant of the iodine clock reaction uses sodium thiosulfate (na 2 s 2 o 3) as the reductant. Thiosulfate And Iodine Reaction.
From www.science.org
The Effect of Sodium Bicarbonate on the Titration of Iodine with Thiosulfate And Iodine Reaction Importantly, gloves, safety goggles, and caution should be observed when using. Potassium iodide (ki) serves as the salt, while sulfuric acid (h 2 so 4) provides the required acidity. Adding sodium thiosulfate to the. Let's mix a solution of sodium thiosulfate, na 2 s 2 o 3, with iodine, i 2,. The most common variant of the iodine clock reaction. Thiosulfate And Iodine Reaction.
From iteachly.com
The Iodine Clock Reaction Lab ⋆ Chemistry Thiosulfate And Iodine Reaction The most common variant of the iodine clock reaction uses sodium thiosulfate (na 2 s 2 o 3) as the reductant and hydrogen peroxide (h 2 o 2) as the oxidant. Let's mix a solution of sodium thiosulfate, na 2 s 2 o 3, with iodine, i 2,. Adding sodium thiosulfate to the. Importantly, gloves, safety goggles, and caution should. Thiosulfate And Iodine Reaction.
From www.youtube.com
Iodine and sodium thiosulfate redox titration calculations ALevel Thiosulfate And Iodine Reaction The most common variant of the iodine clock reaction uses sodium thiosulfate (na 2 s 2 o 3) as the reductant and hydrogen peroxide (h 2 o 2) as the oxidant. Potassium iodide (ki) serves as the salt, while sulfuric acid (h 2 so 4) provides the required acidity. This diluted solution will be used along the. Adding sodium thiosulfate. Thiosulfate And Iodine Reaction.
From www.numerade.com
SOLVED Brown iodine stains can be removed from clothes using a Thiosulfate And Iodine Reaction A redox reaction occurs between iodine and thiosulfate ions: Transfer the diluted thiosulfate solution into a clean labeled plastic bottle. Let's mix a solution of sodium thiosulfate, na 2 s 2 o 3, with iodine, i 2,. Importantly, gloves, safety goggles, and caution should be observed when using. Potassium iodide (ki) serves as the salt, while sulfuric acid (h 2. Thiosulfate And Iodine Reaction.
From www.slideserve.com
PPT Sodium Thiosulfate Titrations PowerPoint Presentation, free Thiosulfate And Iodine Reaction Importantly, gloves, safety goggles, and caution should be observed when using. Potassium iodide (ki) serves as the salt, while sulfuric acid (h 2 so 4) provides the required acidity. A redox reaction occurs between iodine and thiosulfate ions: This diluted solution will be used along the. Transfer the diluted thiosulfate solution into a clean labeled plastic bottle. Let's mix a. Thiosulfate And Iodine Reaction.
From www.slideshare.net
Writing More Complex Redox Equations Thiosulfate And Iodine Reaction A redox reaction occurs between iodine and thiosulfate ions: Adding sodium thiosulfate to the. This diluted solution will be used along the. Transfer the diluted thiosulfate solution into a clean labeled plastic bottle. Importantly, gloves, safety goggles, and caution should be observed when using. Let's mix a solution of sodium thiosulfate, na 2 s 2 o 3, with iodine, i. Thiosulfate And Iodine Reaction.
From www.numerade.com
SOLVED Write and balance the following reaction equations The Thiosulfate And Iodine Reaction Adding sodium thiosulfate to the. Importantly, gloves, safety goggles, and caution should be observed when using. Transfer the diluted thiosulfate solution into a clean labeled plastic bottle. Potassium iodide (ki) serves as the salt, while sulfuric acid (h 2 so 4) provides the required acidity. A redox reaction occurs between iodine and thiosulfate ions: The most common variant of the. Thiosulfate And Iodine Reaction.
From byjus.com
Excess of KI reacts with 25ml H_2O_2 solution to produce iodine . The Thiosulfate And Iodine Reaction Adding sodium thiosulfate to the. Importantly, gloves, safety goggles, and caution should be observed when using. Transfer the diluted thiosulfate solution into a clean labeled plastic bottle. Let's mix a solution of sodium thiosulfate, na 2 s 2 o 3, with iodine, i 2,. Potassium iodide (ki) serves as the salt, while sulfuric acid (h 2 so 4) provides the. Thiosulfate And Iodine Reaction.
From fphoto.photoshelter.com
science chemistry titration iodine thiosulfate Fundamental Thiosulfate And Iodine Reaction Transfer the diluted thiosulfate solution into a clean labeled plastic bottle. Adding sodium thiosulfate to the. This diluted solution will be used along the. A redox reaction occurs between iodine and thiosulfate ions: Let's mix a solution of sodium thiosulfate, na 2 s 2 o 3, with iodine, i 2,. Importantly, gloves, safety goggles, and caution should be observed when. Thiosulfate And Iodine Reaction.
From byjus.com
Oxidation state of sulphur in sodium thiosulphate during the reaction Thiosulfate And Iodine Reaction A redox reaction occurs between iodine and thiosulfate ions: Adding sodium thiosulfate to the. Let's mix a solution of sodium thiosulfate, na 2 s 2 o 3, with iodine, i 2,. Transfer the diluted thiosulfate solution into a clean labeled plastic bottle. This diluted solution will be used along the. Potassium iodide (ki) serves as the salt, while sulfuric acid. Thiosulfate And Iodine Reaction.
From www.academia.edu
(DOC) An iodine / thiosulfate titration Student Material Jeremiah Thiosulfate And Iodine Reaction Potassium iodide (ki) serves as the salt, while sulfuric acid (h 2 so 4) provides the required acidity. Transfer the diluted thiosulfate solution into a clean labeled plastic bottle. Let's mix a solution of sodium thiosulfate, na 2 s 2 o 3, with iodine, i 2,. A redox reaction occurs between iodine and thiosulfate ions: This diluted solution will be. Thiosulfate And Iodine Reaction.
From www.youtube.com
Eureka 2017 Iodometry Redox Titration KIO3 Vs Thiosulfate YouTube Thiosulfate And Iodine Reaction This diluted solution will be used along the. Let's mix a solution of sodium thiosulfate, na 2 s 2 o 3, with iodine, i 2,. The most common variant of the iodine clock reaction uses sodium thiosulfate (na 2 s 2 o 3) as the reductant and hydrogen peroxide (h 2 o 2) as the oxidant. Transfer the diluted thiosulfate. Thiosulfate And Iodine Reaction.
From slidetodoc.com
Titration Colour Changes SLSS Science Limerick Education Centre Thiosulfate And Iodine Reaction Transfer the diluted thiosulfate solution into a clean labeled plastic bottle. The most common variant of the iodine clock reaction uses sodium thiosulfate (na 2 s 2 o 3) as the reductant and hydrogen peroxide (h 2 o 2) as the oxidant. Let's mix a solution of sodium thiosulfate, na 2 s 2 o 3, with iodine, i 2,. Adding. Thiosulfate And Iodine Reaction.
From www.numerade.com
SOLVED Potassium manganate(VII), KMnO4, oxidizes potassium iodide, KI Thiosulfate And Iodine Reaction Potassium iodide (ki) serves as the salt, while sulfuric acid (h 2 so 4) provides the required acidity. Importantly, gloves, safety goggles, and caution should be observed when using. Adding sodium thiosulfate to the. This diluted solution will be used along the. Let's mix a solution of sodium thiosulfate, na 2 s 2 o 3, with iodine, i 2,. The. Thiosulfate And Iodine Reaction.
From www.slideserve.com
PPT Booklet to help with Unit 27 PowerPoint Presentation ID1951670 Thiosulfate And Iodine Reaction This diluted solution will be used along the. Adding sodium thiosulfate to the. Transfer the diluted thiosulfate solution into a clean labeled plastic bottle. Potassium iodide (ki) serves as the salt, while sulfuric acid (h 2 so 4) provides the required acidity. Importantly, gloves, safety goggles, and caution should be observed when using. A redox reaction occurs between iodine and. Thiosulfate And Iodine Reaction.
From www.numerade.com
SOLVED (a) Write a balanced redox equation for the reaction between Thiosulfate And Iodine Reaction Transfer the diluted thiosulfate solution into a clean labeled plastic bottle. A redox reaction occurs between iodine and thiosulfate ions: Potassium iodide (ki) serves as the salt, while sulfuric acid (h 2 so 4) provides the required acidity. This diluted solution will be used along the. Adding sodium thiosulfate to the. Let's mix a solution of sodium thiosulfate, na 2. Thiosulfate And Iodine Reaction.
From www.youtube.com
Iodine Clock Reaction Chemical Experiment! YouTube Thiosulfate And Iodine Reaction Potassium iodide (ki) serves as the salt, while sulfuric acid (h 2 so 4) provides the required acidity. Transfer the diluted thiosulfate solution into a clean labeled plastic bottle. Let's mix a solution of sodium thiosulfate, na 2 s 2 o 3, with iodine, i 2,. This diluted solution will be used along the. A redox reaction occurs between iodine. Thiosulfate And Iodine Reaction.
From www.youtube.com
Iodine and sodium thiosulfate titrations YouTube Thiosulfate And Iodine Reaction A redox reaction occurs between iodine and thiosulfate ions: Transfer the diluted thiosulfate solution into a clean labeled plastic bottle. This diluted solution will be used along the. Importantly, gloves, safety goggles, and caution should be observed when using. Adding sodium thiosulfate to the. Potassium iodide (ki) serves as the salt, while sulfuric acid (h 2 so 4) provides the. Thiosulfate And Iodine Reaction.
From www.chegg.com
Solved 2. Potassium iodate and sodium thiosulphate react Thiosulfate And Iodine Reaction Adding sodium thiosulfate to the. Let's mix a solution of sodium thiosulfate, na 2 s 2 o 3, with iodine, i 2,. Transfer the diluted thiosulfate solution into a clean labeled plastic bottle. This diluted solution will be used along the. A redox reaction occurs between iodine and thiosulfate ions: Potassium iodide (ki) serves as the salt, while sulfuric acid. Thiosulfate And Iodine Reaction.
From www.numerade.com
SOLVED 'The purpose of the sodium thiosulfate in the clock reaction is Thiosulfate And Iodine Reaction Let's mix a solution of sodium thiosulfate, na 2 s 2 o 3, with iodine, i 2,. This diluted solution will be used along the. The most common variant of the iodine clock reaction uses sodium thiosulfate (na 2 s 2 o 3) as the reductant and hydrogen peroxide (h 2 o 2) as the oxidant. Potassium iodide (ki) serves. Thiosulfate And Iodine Reaction.