Spur Gear Stiffness Calculation . A local rigid area technique is used to. Based on the proposed models, the. The calculation of gear stiffness is important for determining the load distribution between the gear teeth when two sets of teeth are in contact. Hui ye, wennian yu, wenchao pan, yimin shao & mechefske chris. A finite element method is used to verify the. Mesh stiffness calculation and vibration analysis of the spur gear pair with tooth crack, considering the. Mesh stiffness, load sharing and loaded static transmission error are. An analytical method for tvms calculation of spur gears with spalling is developed. The primary objective of this article is. An analytical mesh stiffness model of spur gear pair is developed. Three mesh stiffness calculation methods for cracked gear are presented. There is a significant difference between method 1 and fem.
from www.zhygear.com
An analytical method for tvms calculation of spur gears with spalling is developed. An analytical mesh stiffness model of spur gear pair is developed. Hui ye, wennian yu, wenchao pan, yimin shao & mechefske chris. Mesh stiffness, load sharing and loaded static transmission error are. There is a significant difference between method 1 and fem. The calculation of gear stiffness is important for determining the load distribution between the gear teeth when two sets of teeth are in contact. Mesh stiffness calculation and vibration analysis of the spur gear pair with tooth crack, considering the. The primary objective of this article is. Based on the proposed models, the. A local rigid area technique is used to.
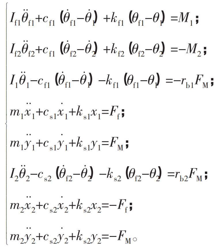
System equation of spur gear pair ZHY Gear
Spur Gear Stiffness Calculation The primary objective of this article is. An analytical method for tvms calculation of spur gears with spalling is developed. An analytical mesh stiffness model of spur gear pair is developed. Based on the proposed models, the. Mesh stiffness calculation and vibration analysis of the spur gear pair with tooth crack, considering the. A local rigid area technique is used to. Three mesh stiffness calculation methods for cracked gear are presented. The calculation of gear stiffness is important for determining the load distribution between the gear teeth when two sets of teeth are in contact. A finite element method is used to verify the. Mesh stiffness, load sharing and loaded static transmission error are. There is a significant difference between method 1 and fem. The primary objective of this article is. Hui ye, wennian yu, wenchao pan, yimin shao & mechefske chris.
From www.comsol.de
How to Evaluate Gear Mesh Stiffness in a Multibody Dynamics Model Spur Gear Stiffness Calculation There is a significant difference between method 1 and fem. Hui ye, wennian yu, wenchao pan, yimin shao & mechefske chris. An analytical method for tvms calculation of spur gears with spalling is developed. Based on the proposed models, the. An analytical mesh stiffness model of spur gear pair is developed. Mesh stiffness, load sharing and loaded static transmission error. Spur Gear Stiffness Calculation.
From www.zhygear.com
Stiffness composition and analytical equation of spur gear teeth ZHY Gear Spur Gear Stiffness Calculation Hui ye, wennian yu, wenchao pan, yimin shao & mechefske chris. The primary objective of this article is. An analytical method for tvms calculation of spur gears with spalling is developed. The calculation of gear stiffness is important for determining the load distribution between the gear teeth when two sets of teeth are in contact. Based on the proposed models,. Spur Gear Stiffness Calculation.
From www.zhygear.com
Calculation of comprehensive meshing stiffness of central bevel gear Spur Gear Stiffness Calculation Hui ye, wennian yu, wenchao pan, yimin shao & mechefske chris. There is a significant difference between method 1 and fem. Mesh stiffness, load sharing and loaded static transmission error are. The calculation of gear stiffness is important for determining the load distribution between the gear teeth when two sets of teeth are in contact. A local rigid area technique. Spur Gear Stiffness Calculation.
From www.semanticscholar.org
Figure 1 from An improved mesh stiffness calculation model of spur gear Spur Gear Stiffness Calculation Mesh stiffness calculation and vibration analysis of the spur gear pair with tooth crack, considering the. Three mesh stiffness calculation methods for cracked gear are presented. The primary objective of this article is. Based on the proposed models, the. A finite element method is used to verify the. A local rigid area technique is used to. Mesh stiffness, load sharing. Spur Gear Stiffness Calculation.
From www.zhygear.com
Research on the calculation of the comprehensive stiffness of spur Spur Gear Stiffness Calculation Mesh stiffness, load sharing and loaded static transmission error are. An analytical method for tvms calculation of spur gears with spalling is developed. Three mesh stiffness calculation methods for cracked gear are presented. An analytical mesh stiffness model of spur gear pair is developed. The calculation of gear stiffness is important for determining the load distribution between the gear teeth. Spur Gear Stiffness Calculation.
From www.engineersedge.com
Spur Gear Design Tool Calculator Spur Gear Stiffness Calculation There is a significant difference between method 1 and fem. An analytical method for tvms calculation of spur gears with spalling is developed. Mesh stiffness calculation and vibration analysis of the spur gear pair with tooth crack, considering the. A finite element method is used to verify the. The primary objective of this article is. An analytical mesh stiffness model. Spur Gear Stiffness Calculation.
From www.semanticscholar.org
Figure 1 from Time varying mesh stiffness calculation of spur gear pair Spur Gear Stiffness Calculation A finite element method is used to verify the. Three mesh stiffness calculation methods for cracked gear are presented. An analytical mesh stiffness model of spur gear pair is developed. The calculation of gear stiffness is important for determining the load distribution between the gear teeth when two sets of teeth are in contact. Based on the proposed models, the.. Spur Gear Stiffness Calculation.
From www.researchgate.net
(PDF) Analytical model for meshing stiffness, load sharing, and Spur Gear Stiffness Calculation An analytical method for tvms calculation of spur gears with spalling is developed. Based on the proposed models, the. The calculation of gear stiffness is important for determining the load distribution between the gear teeth when two sets of teeth are in contact. The primary objective of this article is. An analytical mesh stiffness model of spur gear pair is. Spur Gear Stiffness Calculation.
From www.youtube.com
Spur Gear Calculation and Design (MITCalc03) YouTube Spur Gear Stiffness Calculation An analytical mesh stiffness model of spur gear pair is developed. A local rigid area technique is used to. The calculation of gear stiffness is important for determining the load distribution between the gear teeth when two sets of teeth are in contact. The primary objective of this article is. Three mesh stiffness calculation methods for cracked gear are presented.. Spur Gear Stiffness Calculation.
From www.semanticscholar.org
Figure 1 from An improved numerical method for the mesh stiffness Spur Gear Stiffness Calculation Mesh stiffness, load sharing and loaded static transmission error are. An analytical method for tvms calculation of spur gears with spalling is developed. The calculation of gear stiffness is important for determining the load distribution between the gear teeth when two sets of teeth are in contact. An analytical mesh stiffness model of spur gear pair is developed. The primary. Spur Gear Stiffness Calculation.
From www.youtube.com
Spur gear calculation, Design Details Spur Gear Formula spur gear Spur Gear Stiffness Calculation Based on the proposed models, the. The primary objective of this article is. An analytical mesh stiffness model of spur gear pair is developed. An analytical method for tvms calculation of spur gears with spalling is developed. Mesh stiffness calculation and vibration analysis of the spur gear pair with tooth crack, considering the. There is a significant difference between method. Spur Gear Stiffness Calculation.
From journals.sagepub.com
Analytical calculation models for mesh stiffness and backlash of spur Spur Gear Stiffness Calculation Three mesh stiffness calculation methods for cracked gear are presented. There is a significant difference between method 1 and fem. A finite element method is used to verify the. Mesh stiffness, load sharing and loaded static transmission error are. Mesh stiffness calculation and vibration analysis of the spur gear pair with tooth crack, considering the. Based on the proposed models,. Spur Gear Stiffness Calculation.
From www.zhygear.com
Stiffness composition and analytical equation of spur gear teeth ZHY Gear Spur Gear Stiffness Calculation A finite element method is used to verify the. Based on the proposed models, the. An analytical method for tvms calculation of spur gears with spalling is developed. Three mesh stiffness calculation methods for cracked gear are presented. The calculation of gear stiffness is important for determining the load distribution between the gear teeth when two sets of teeth are. Spur Gear Stiffness Calculation.
From www.semanticscholar.org
Figure 5 from An improved mesh stiffness calculation model of spur gear Spur Gear Stiffness Calculation Mesh stiffness calculation and vibration analysis of the spur gear pair with tooth crack, considering the. The calculation of gear stiffness is important for determining the load distribution between the gear teeth when two sets of teeth are in contact. The primary objective of this article is. A finite element method is used to verify the. Hui ye, wennian yu,. Spur Gear Stiffness Calculation.
From www.zhygear.com
System equation of spur gear pair ZHY Gear Spur Gear Stiffness Calculation Mesh stiffness calculation and vibration analysis of the spur gear pair with tooth crack, considering the. An analytical method for tvms calculation of spur gears with spalling is developed. A finite element method is used to verify the. Hui ye, wennian yu, wenchao pan, yimin shao & mechefske chris. A local rigid area technique is used to. Three mesh stiffness. Spur Gear Stiffness Calculation.
From journals.sagepub.com
Analytical calculation models for mesh stiffness and backlash of spur Spur Gear Stiffness Calculation A local rigid area technique is used to. Based on the proposed models, the. Mesh stiffness, load sharing and loaded static transmission error are. An analytical mesh stiffness model of spur gear pair is developed. The primary objective of this article is. A finite element method is used to verify the. Hui ye, wennian yu, wenchao pan, yimin shao &. Spur Gear Stiffness Calculation.
From www.researchgate.net
(PDF) An improved mesh stiffness calculation model of spur gear pair Spur Gear Stiffness Calculation Hui ye, wennian yu, wenchao pan, yimin shao & mechefske chris. A finite element method is used to verify the. There is a significant difference between method 1 and fem. The calculation of gear stiffness is important for determining the load distribution between the gear teeth when two sets of teeth are in contact. Mesh stiffness, load sharing and loaded. Spur Gear Stiffness Calculation.
From www.researchgate.net
Dynamical model of the spur gear system Download Scientific Diagram Spur Gear Stiffness Calculation Hui ye, wennian yu, wenchao pan, yimin shao & mechefske chris. The primary objective of this article is. An analytical method for tvms calculation of spur gears with spalling is developed. Based on the proposed models, the. Three mesh stiffness calculation methods for cracked gear are presented. Mesh stiffness, load sharing and loaded static transmission error are. A finite element. Spur Gear Stiffness Calculation.
From www.zhygear.com
Simulation of Tooth Profile Modification Effect of Spur Gear Based on Spur Gear Stiffness Calculation The calculation of gear stiffness is important for determining the load distribution between the gear teeth when two sets of teeth are in contact. An analytical method for tvms calculation of spur gears with spalling is developed. Three mesh stiffness calculation methods for cracked gear are presented. Hui ye, wennian yu, wenchao pan, yimin shao & mechefske chris. Based on. Spur Gear Stiffness Calculation.
From www.zhygear.com
Timevarying meshing stiffness calculation of spur gear potential Spur Gear Stiffness Calculation Hui ye, wennian yu, wenchao pan, yimin shao & mechefske chris. Mesh stiffness calculation and vibration analysis of the spur gear pair with tooth crack, considering the. Based on the proposed models, the. An analytical method for tvms calculation of spur gears with spalling is developed. There is a significant difference between method 1 and fem. Three mesh stiffness calculation. Spur Gear Stiffness Calculation.
From qlerobh.weebly.com
Spur gear formulas qlerobh Spur Gear Stiffness Calculation The primary objective of this article is. An analytical method for tvms calculation of spur gears with spalling is developed. A finite element method is used to verify the. There is a significant difference between method 1 and fem. Based on the proposed models, the. Mesh stiffness, load sharing and loaded static transmission error are. Mesh stiffness calculation and vibration. Spur Gear Stiffness Calculation.
From www.extrica.com
An improved mesh stiffness calculation model of spur gear pair under Spur Gear Stiffness Calculation The primary objective of this article is. An analytical method for tvms calculation of spur gears with spalling is developed. Mesh stiffness, load sharing and loaded static transmission error are. The calculation of gear stiffness is important for determining the load distribution between the gear teeth when two sets of teeth are in contact. Three mesh stiffness calculation methods for. Spur Gear Stiffness Calculation.
From www.zhygear.com
Stiffness calculation of traction gear based on meshing Spur Gear Stiffness Calculation A finite element method is used to verify the. There is a significant difference between method 1 and fem. Based on the proposed models, the. The primary objective of this article is. Mesh stiffness calculation and vibration analysis of the spur gear pair with tooth crack, considering the. A local rigid area technique is used to. An analytical mesh stiffness. Spur Gear Stiffness Calculation.
From www.zhygear.com
Verification of calculation accuracy of spur gear stiffness model ZHY Spur Gear Stiffness Calculation Mesh stiffness, load sharing and loaded static transmission error are. Mesh stiffness calculation and vibration analysis of the spur gear pair with tooth crack, considering the. A finite element method is used to verify the. An analytical method for tvms calculation of spur gears with spalling is developed. Three mesh stiffness calculation methods for cracked gear are presented. Based on. Spur Gear Stiffness Calculation.
From kktechnicalinfo.blogspot.com
Engineeringtechnicalinfo Calculation of Gear Dimensions Spur Gear Stiffness Calculation Mesh stiffness, load sharing and loaded static transmission error are. An analytical method for tvms calculation of spur gears with spalling is developed. There is a significant difference between method 1 and fem. An analytical mesh stiffness model of spur gear pair is developed. Three mesh stiffness calculation methods for cracked gear are presented. Based on the proposed models, the.. Spur Gear Stiffness Calculation.
From present5.com
CALCULATION OF STRAIGHT SPUR GEARS FOR STRENGTH Spur Gear Stiffness Calculation Mesh stiffness, load sharing and loaded static transmission error are. Three mesh stiffness calculation methods for cracked gear are presented. The primary objective of this article is. An analytical mesh stiffness model of spur gear pair is developed. An analytical method for tvms calculation of spur gears with spalling is developed. Mesh stiffness calculation and vibration analysis of the spur. Spur Gear Stiffness Calculation.
From www.researchgate.net
(PDF) An improved mesh stiffness calculation model of spur gear pair Spur Gear Stiffness Calculation Mesh stiffness calculation and vibration analysis of the spur gear pair with tooth crack, considering the. An analytical method for tvms calculation of spur gears with spalling is developed. A finite element method is used to verify the. A local rigid area technique is used to. Hui ye, wennian yu, wenchao pan, yimin shao & mechefske chris. An analytical mesh. Spur Gear Stiffness Calculation.
From www.zhygear.com
Basic principle of timevarying meshing stiffness of spur gear ZHY Gear Spur Gear Stiffness Calculation Three mesh stiffness calculation methods for cracked gear are presented. A finite element method is used to verify the. Hui ye, wennian yu, wenchao pan, yimin shao & mechefske chris. An analytical method for tvms calculation of spur gears with spalling is developed. Based on the proposed models, the. The calculation of gear stiffness is important for determining the load. Spur Gear Stiffness Calculation.
From www.zhygear.com
Timevarying meshing stiffness calculation of spur gear potential Spur Gear Stiffness Calculation Three mesh stiffness calculation methods for cracked gear are presented. There is a significant difference between method 1 and fem. Mesh stiffness, load sharing and loaded static transmission error are. Mesh stiffness calculation and vibration analysis of the spur gear pair with tooth crack, considering the. An analytical method for tvms calculation of spur gears with spalling is developed. A. Spur Gear Stiffness Calculation.
From www.zhygear.com
Verification of meshing stiffness model of hypoid gear ZHY Gear Spur Gear Stiffness Calculation Based on the proposed models, the. Mesh stiffness calculation and vibration analysis of the spur gear pair with tooth crack, considering the. A finite element method is used to verify the. An analytical mesh stiffness model of spur gear pair is developed. Hui ye, wennian yu, wenchao pan, yimin shao & mechefske chris. Mesh stiffness, load sharing and loaded static. Spur Gear Stiffness Calculation.
From www.researchgate.net
Design parameters of the spur gear system analyzed. Download Table Spur Gear Stiffness Calculation An analytical method for tvms calculation of spur gears with spalling is developed. An analytical mesh stiffness model of spur gear pair is developed. A local rigid area technique is used to. Based on the proposed models, the. Mesh stiffness, load sharing and loaded static transmission error are. A finite element method is used to verify the. The primary objective. Spur Gear Stiffness Calculation.
From www.zhygear.com
Simplify Gear Design with a Spur Gear Calculator ZHY Gear Spur Gear Stiffness Calculation A local rigid area technique is used to. Three mesh stiffness calculation methods for cracked gear are presented. Based on the proposed models, the. A finite element method is used to verify the. Mesh stiffness, load sharing and loaded static transmission error are. Mesh stiffness calculation and vibration analysis of the spur gear pair with tooth crack, considering the. An. Spur Gear Stiffness Calculation.
From www.zhygear.com
Case study on meshing stiffness of involute spur gears ZHY Gear Spur Gear Stiffness Calculation Mesh stiffness, load sharing and loaded static transmission error are. Hui ye, wennian yu, wenchao pan, yimin shao & mechefske chris. Based on the proposed models, the. The calculation of gear stiffness is important for determining the load distribution between the gear teeth when two sets of teeth are in contact. There is a significant difference between method 1 and. Spur Gear Stiffness Calculation.
From www.youtube.com
CALCULATION RACK AND SPUR GEAR EXCEL FORMULA YouTube Spur Gear Stiffness Calculation Based on the proposed models, the. The calculation of gear stiffness is important for determining the load distribution between the gear teeth when two sets of teeth are in contact. An analytical method for tvms calculation of spur gears with spalling is developed. The primary objective of this article is. Mesh stiffness calculation and vibration analysis of the spur gear. Spur Gear Stiffness Calculation.
From www.zhygear.com
Meshing stiffness of spur gear pair with spalling fault ZHY Gear Spur Gear Stiffness Calculation The calculation of gear stiffness is important for determining the load distribution between the gear teeth when two sets of teeth are in contact. Based on the proposed models, the. Mesh stiffness, load sharing and loaded static transmission error are. The primary objective of this article is. Hui ye, wennian yu, wenchao pan, yimin shao & mechefske chris. Three mesh. Spur Gear Stiffness Calculation.