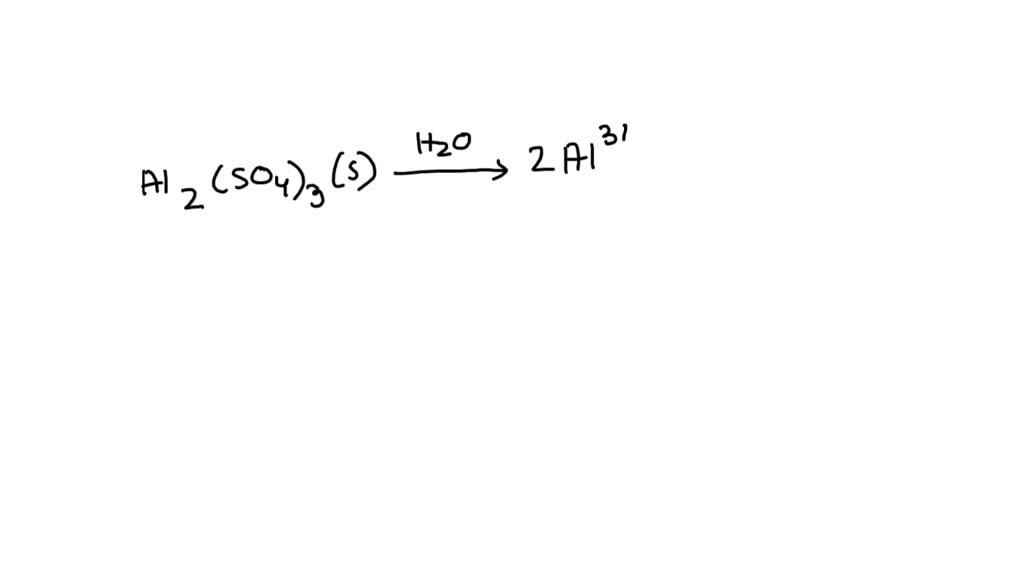
Aluminum Sulfate Dissolved In Water Equation . Al (oh)3 + h2so4 = al2 (so4)3 + h2o is a double displacement (metathesis) reaction where two moles of solid aluminum hydroxide [al (oh) 3]. In a 0.23 mol/l aluminum sulfate solution, what is the molar concentration of each ion? However, most cations with double and triple positive charge. Al 2 (so 4) 3. The chemical equation for this reaction is: Aluminium sulfate does dissociate in water, forming ions. Aluminium + sulfuric acid = aluminum sulfate + sulfur dioxide + water. Two moles of aluminium [al] and six moles of. Describe how an aqueous solution is formed from both ionic compounds. Define a solution and describe the parts of a solution. In this video we will describe the equation al2 (so4)3 + h2o and write what happens when al2 (so4)3 is dissolved in water.when al2. Write a balanced dissociation equation. In this equation, aluminum hydroxide (π΄π (ππ»)β) combines with sulfuric acid (hβsoβ ) to form. 2al (oh)β + 3hβsoβ β alβ (soβ)β + 6hβo.
from www.youtube.com
Aluminium + sulfuric acid = aluminum sulfate + sulfur dioxide + water. However, most cations with double and triple positive charge. Write a balanced dissociation equation. Al (oh)3 + h2so4 = al2 (so4)3 + h2o is a double displacement (metathesis) reaction where two moles of solid aluminum hydroxide [al (oh) 3]. Define a solution and describe the parts of a solution. Aluminium sulfate does dissociate in water, forming ions. Describe how an aqueous solution is formed from both ionic compounds. In a 0.23 mol/l aluminum sulfate solution, what is the molar concentration of each ion? In this equation, aluminum hydroxide (π΄π (ππ»)β) combines with sulfuric acid (hβsoβ ) to form. Two moles of aluminium [al] and six moles of.
How to Write the Formula for Aluminum sulfate YouTube
Aluminum Sulfate Dissolved In Water Equation Write a balanced dissociation equation. Al (oh)3 + h2so4 = al2 (so4)3 + h2o is a double displacement (metathesis) reaction where two moles of solid aluminum hydroxide [al (oh) 3]. Write a balanced dissociation equation. However, most cations with double and triple positive charge. In this equation, aluminum hydroxide (π΄π (ππ»)β) combines with sulfuric acid (hβsoβ ) to form. Two moles of aluminium [al] and six moles of. Aluminium sulfate does dissociate in water, forming ions. 2al (oh)β + 3hβsoβ β alβ (soβ)β + 6hβo. Al 2 (so 4) 3. Aluminium + sulfuric acid = aluminum sulfate + sulfur dioxide + water. In this video we will describe the equation al2 (so4)3 + h2o and write what happens when al2 (so4)3 is dissolved in water.when al2. The chemical equation for this reaction is: In a 0.23 mol/l aluminum sulfate solution, what is the molar concentration of each ion? Describe how an aqueous solution is formed from both ionic compounds. Define a solution and describe the parts of a solution.
From www.numerade.com
SOLVED Solid aluminum reacts with aqueous sulfuric acid to form Aluminum Sulfate Dissolved In Water Equation The chemical equation for this reaction is: Aluminium sulfate does dissociate in water, forming ions. In this equation, aluminum hydroxide (π΄π (ππ»)β) combines with sulfuric acid (hβsoβ ) to form. Two moles of aluminium [al] and six moles of. 2al (oh)β + 3hβsoβ β alβ (soβ)β + 6hβo. Define a solution and describe the parts of a solution. In a. Aluminum Sulfate Dissolved In Water Equation.
From mlapapers.web.fc2.com
Why is it that when aluminium sulphate is dissolved in water, the Aluminum Sulfate Dissolved In Water Equation 2al (oh)β + 3hβsoβ β alβ (soβ)β + 6hβo. Define a solution and describe the parts of a solution. Al 2 (so 4) 3. Write a balanced dissociation equation. Aluminium + sulfuric acid = aluminum sulfate + sulfur dioxide + water. Al (oh)3 + h2so4 = al2 (so4)3 + h2o is a double displacement (metathesis) reaction where two moles of. Aluminum Sulfate Dissolved In Water Equation.
From www.youtube.com
What is the chemical formula of Aluminium sulphate ? // chemical name Aluminum Sulfate Dissolved In Water Equation In a 0.23 mol/l aluminum sulfate solution, what is the molar concentration of each ion? Al (oh)3 + h2so4 = al2 (so4)3 + h2o is a double displacement (metathesis) reaction where two moles of solid aluminum hydroxide [al (oh) 3]. 2al (oh)β + 3hβsoβ β alβ (soβ)β + 6hβo. The chemical equation for this reaction is: In this equation, aluminum. Aluminum Sulfate Dissolved In Water Equation.
From www.youtube.com
Al2O3+H2SO4=Al2(SO4)3+H2O Balanced EquationAluminum oxide+Sulphuric Aluminum Sulfate Dissolved In Water Equation However, most cations with double and triple positive charge. Al 2 (so 4) 3. Aluminium sulfate does dissociate in water, forming ions. Define a solution and describe the parts of a solution. In this video we will describe the equation al2 (so4)3 + h2o and write what happens when al2 (so4)3 is dissolved in water.when al2. Describe how an aqueous. Aluminum Sulfate Dissolved In Water Equation.
From clairekruwmunoz.blogspot.com
Give the Correct Formula for Aluminum Sulfate. ClairekruwMunoz Aluminum Sulfate Dissolved In Water Equation However, most cations with double and triple positive charge. 2al (oh)β + 3hβsoβ β alβ (soβ)β + 6hβo. In this equation, aluminum hydroxide (π΄π (ππ»)β) combines with sulfuric acid (hβsoβ ) to form. In a 0.23 mol/l aluminum sulfate solution, what is the molar concentration of each ion? Aluminium sulfate does dissociate in water, forming ions. Two moles of aluminium. Aluminum Sulfate Dissolved In Water Equation.
From www.youtube.com
Aluminum Hydroxide And Sulfuric Acid Makes Water And Aluminum Sulfate Aluminum Sulfate Dissolved In Water Equation Two moles of aluminium [al] and six moles of. In this equation, aluminum hydroxide (π΄π (ππ»)β) combines with sulfuric acid (hβsoβ ) to form. In this video we will describe the equation al2 (so4)3 + h2o and write what happens when al2 (so4)3 is dissolved in water.when al2. In a 0.23 mol/l aluminum sulfate solution, what is the molar concentration. Aluminum Sulfate Dissolved In Water Equation.
From www.numerade.com
SOLVED Aluminum sulfate solution and calcium hydroxide solution Aluminum Sulfate Dissolved In Water Equation 2al (oh)β + 3hβsoβ β alβ (soβ)β + 6hβo. Aluminium + sulfuric acid = aluminum sulfate + sulfur dioxide + water. In a 0.23 mol/l aluminum sulfate solution, what is the molar concentration of each ion? The chemical equation for this reaction is: Write a balanced dissociation equation. Al (oh)3 + h2so4 = al2 (so4)3 + h2o is a double. Aluminum Sulfate Dissolved In Water Equation.
From ftwhomeworkobu.web.fc2.com
Write a molecular equation for aluminum sulfate and sodium phosphate Aluminum Sulfate Dissolved In Water Equation Describe how an aqueous solution is formed from both ionic compounds. Write a balanced dissociation equation. Aluminium sulfate does dissociate in water, forming ions. In a 0.23 mol/l aluminum sulfate solution, what is the molar concentration of each ion? In this video we will describe the equation al2 (so4)3 + h2o and write what happens when al2 (so4)3 is dissolved. Aluminum Sulfate Dissolved In Water Equation.
From www.numerade.com
SOLVED Aluminum sulfate, Al2(SO4)3, to form aluminum oxide Aluminum Sulfate Dissolved In Water Equation 2al (oh)β + 3hβsoβ β alβ (soβ)β + 6hβo. Aluminium sulfate does dissociate in water, forming ions. Describe how an aqueous solution is formed from both ionic compounds. In this equation, aluminum hydroxide (π΄π (ππ»)β) combines with sulfuric acid (hβsoβ ) to form. Al (oh)3 + h2so4 = al2 (so4)3 + h2o is a double displacement (metathesis) reaction where two. Aluminum Sulfate Dissolved In Water Equation.
From mlapapers.web.fc2.com
Why is it that when aluminium sulphate is dissolved in water, the Aluminum Sulfate Dissolved In Water Equation Define a solution and describe the parts of a solution. Write a balanced dissociation equation. In a 0.23 mol/l aluminum sulfate solution, what is the molar concentration of each ion? Aluminium sulfate does dissociate in water, forming ions. Describe how an aqueous solution is formed from both ionic compounds. Al 2 (so 4) 3. In this video we will describe. Aluminum Sulfate Dissolved In Water Equation.
From slideplayer.com
Chemical Equations and Reactions ppt download Aluminum Sulfate Dissolved In Water Equation In a 0.23 mol/l aluminum sulfate solution, what is the molar concentration of each ion? Define a solution and describe the parts of a solution. In this equation, aluminum hydroxide (π΄π (ππ»)β) combines with sulfuric acid (hβsoβ ) to form. Describe how an aqueous solution is formed from both ionic compounds. Write a balanced dissociation equation. Al 2 (so 4). Aluminum Sulfate Dissolved In Water Equation.
From byjus.com
The balanced net ionic equation for the reaction of aluminium sulphate Aluminum Sulfate Dissolved In Water Equation 2al (oh)β + 3hβsoβ β alβ (soβ)β + 6hβo. Define a solution and describe the parts of a solution. Al (oh)3 + h2so4 = al2 (so4)3 + h2o is a double displacement (metathesis) reaction where two moles of solid aluminum hydroxide [al (oh) 3]. In a 0.23 mol/l aluminum sulfate solution, what is the molar concentration of each ion? Al. Aluminum Sulfate Dissolved In Water Equation.
From www.chegg.com
Solved 8) 8. 0.250 g of aluminum sulfate is dissolved in Aluminum Sulfate Dissolved In Water Equation Aluminium sulfate does dissociate in water, forming ions. Describe how an aqueous solution is formed from both ionic compounds. 2al (oh)β + 3hβsoβ β alβ (soβ)β + 6hβo. However, most cations with double and triple positive charge. The chemical equation for this reaction is: Al 2 (so 4) 3. In this equation, aluminum hydroxide (π΄π (ππ»)β) combines with sulfuric acid. Aluminum Sulfate Dissolved In Water Equation.
From brainly.in
68.4g of Al2(SO4)3 is dissolved in enough water to make 500mL of Aluminum Sulfate Dissolved In Water Equation 2al (oh)β + 3hβsoβ β alβ (soβ)β + 6hβo. Al (oh)3 + h2so4 = al2 (so4)3 + h2o is a double displacement (metathesis) reaction where two moles of solid aluminum hydroxide [al (oh) 3]. In a 0.23 mol/l aluminum sulfate solution, what is the molar concentration of each ion? Al 2 (so 4) 3. However, most cations with double and. Aluminum Sulfate Dissolved In Water Equation.
From www.museoinclusivo.com
Exploring Aluminum Sulfate Formula Uses, Chemical Properties, and Aluminum Sulfate Dissolved In Water Equation Describe how an aqueous solution is formed from both ionic compounds. In this equation, aluminum hydroxide (π΄π (ππ»)β) combines with sulfuric acid (hβsoβ ) to form. Al 2 (so 4) 3. Aluminium + sulfuric acid = aluminum sulfate + sulfur dioxide + water. 2al (oh)β + 3hβsoβ β alβ (soβ)β + 6hβo. Al (oh)3 + h2so4 = al2 (so4)3 +. Aluminum Sulfate Dissolved In Water Equation.
From www.chegg.com
Solved Aluminum sulfate reacts with sodium hydroxide in Aluminum Sulfate Dissolved In Water Equation Al (oh)3 + h2so4 = al2 (so4)3 + h2o is a double displacement (metathesis) reaction where two moles of solid aluminum hydroxide [al (oh) 3]. In a 0.23 mol/l aluminum sulfate solution, what is the molar concentration of each ion? Al 2 (so 4) 3. In this equation, aluminum hydroxide (π΄π (ππ»)β) combines with sulfuric acid (hβsoβ ) to form.. Aluminum Sulfate Dissolved In Water Equation.
From www.chegg.com
Solved Suppose you dissolve 141 g of aluminum sulfate in Aluminum Sulfate Dissolved In Water Equation Aluminium sulfate does dissociate in water, forming ions. Al 2 (so 4) 3. Describe how an aqueous solution is formed from both ionic compounds. 2al (oh)β + 3hβsoβ β alβ (soβ)β + 6hβo. In this equation, aluminum hydroxide (π΄π (ππ»)β) combines with sulfuric acid (hβsoβ ) to form. Define a solution and describe the parts of a solution. In a. Aluminum Sulfate Dissolved In Water Equation.
From www.museoinclusivo.com
Exploring Aluminum Sulfate Formula Uses, Chemical Properties, and Aluminum Sulfate Dissolved In Water Equation Two moles of aluminium [al] and six moles of. Write a balanced dissociation equation. Aluminium sulfate does dissociate in water, forming ions. The chemical equation for this reaction is: 2al (oh)β + 3hβsoβ β alβ (soβ)β + 6hβo. In this equation, aluminum hydroxide (π΄π (ππ»)β) combines with sulfuric acid (hβsoβ ) to form. In a 0.23 mol/l aluminum sulfate solution,. Aluminum Sulfate Dissolved In Water Equation.
From www.youtube.com
How to Write the Formula for Sodium aluminum sulfate YouTube Aluminum Sulfate Dissolved In Water Equation Two moles of aluminium [al] and six moles of. Aluminium + sulfuric acid = aluminum sulfate + sulfur dioxide + water. The chemical equation for this reaction is: Describe how an aqueous solution is formed from both ionic compounds. Write a balanced dissociation equation. In this video we will describe the equation al2 (so4)3 + h2o and write what happens. Aluminum Sulfate Dissolved In Water Equation.
From slideplayer.com
Section 1 Compounds in Aqueous Solution ppt download Aluminum Sulfate Dissolved In Water Equation In this video we will describe the equation al2 (so4)3 + h2o and write what happens when al2 (so4)3 is dissolved in water.when al2. In a 0.23 mol/l aluminum sulfate solution, what is the molar concentration of each ion? 2al (oh)β + 3hβsoβ β alβ (soβ)β + 6hβo. Two moles of aluminium [al] and six moles of. Al (oh)3 +. Aluminum Sulfate Dissolved In Water Equation.
From www.numerade.com
SOLVED The compound aluminum sulfate is a strong electrolyte. Write Aluminum Sulfate Dissolved In Water Equation Write a balanced dissociation equation. Al 2 (so 4) 3. Describe how an aqueous solution is formed from both ionic compounds. In this video we will describe the equation al2 (so4)3 + h2o and write what happens when al2 (so4)3 is dissolved in water.when al2. In this equation, aluminum hydroxide (π΄π (ππ»)β) combines with sulfuric acid (hβsoβ ) to form.. Aluminum Sulfate Dissolved In Water Equation.
From www.slideserve.com
PPT Jar Test PowerPoint Presentation ID663769 Aluminum Sulfate Dissolved In Water Equation Define a solution and describe the parts of a solution. Two moles of aluminium [al] and six moles of. In this video we will describe the equation al2 (so4)3 + h2o and write what happens when al2 (so4)3 is dissolved in water.when al2. Aluminium + sulfuric acid = aluminum sulfate + sulfur dioxide + water. 2al (oh)β + 3hβsoβ β. Aluminum Sulfate Dissolved In Water Equation.
From www.slideserve.com
PPT Solubility Equilibria PowerPoint Presentation, free download ID Aluminum Sulfate Dissolved In Water Equation However, most cations with double and triple positive charge. Write a balanced dissociation equation. The chemical equation for this reaction is: 2al (oh)β + 3hβsoβ β alβ (soβ)β + 6hβo. Al 2 (so 4) 3. Aluminium sulfate does dissociate in water, forming ions. Define a solution and describe the parts of a solution. In this equation, aluminum hydroxide (π΄π (ππ»)β). Aluminum Sulfate Dissolved In Water Equation.
From clairekruwmunoz.blogspot.com
Give the Correct Formula for Aluminum Sulfate. ClairekruwMunoz Aluminum Sulfate Dissolved In Water Equation In a 0.23 mol/l aluminum sulfate solution, what is the molar concentration of each ion? Define a solution and describe the parts of a solution. Write a balanced dissociation equation. 2al (oh)β + 3hβsoβ β alβ (soβ)β + 6hβo. In this equation, aluminum hydroxide (π΄π (ππ»)β) combines with sulfuric acid (hβsoβ ) to form. Aluminium sulfate does dissociate in water,. Aluminum Sulfate Dissolved In Water Equation.
From www.numerade.com
SOLVEDThe aluminum sulfate hydrate \left[\mathrm{Al}_{2}\left(\mathrm Aluminum Sulfate Dissolved In Water Equation Al 2 (so 4) 3. In this equation, aluminum hydroxide (π΄π (ππ»)β) combines with sulfuric acid (hβsoβ ) to form. Define a solution and describe the parts of a solution. In a 0.23 mol/l aluminum sulfate solution, what is the molar concentration of each ion? 2al (oh)β + 3hβsoβ β alβ (soβ)β + 6hβo. Aluminium + sulfuric acid = aluminum. Aluminum Sulfate Dissolved In Water Equation.
From www.youtube.com
How to Write the Formula for Aluminum sulfate YouTube Aluminum Sulfate Dissolved In Water Equation Write a balanced dissociation equation. The chemical equation for this reaction is: In this video we will describe the equation al2 (so4)3 + h2o and write what happens when al2 (so4)3 is dissolved in water.when al2. Two moles of aluminium [al] and six moles of. Al 2 (so 4) 3. Al (oh)3 + h2so4 = al2 (so4)3 + h2o is. Aluminum Sulfate Dissolved In Water Equation.
From aluminumsulfatepitsukata.blogspot.com
Aluminum Sulfate March 2016 Aluminum Sulfate Dissolved In Water Equation Describe how an aqueous solution is formed from both ionic compounds. Two moles of aluminium [al] and six moles of. However, most cations with double and triple positive charge. In this video we will describe the equation al2 (so4)3 + h2o and write what happens when al2 (so4)3 is dissolved in water.when al2. Define a solution and describe the parts. Aluminum Sulfate Dissolved In Water Equation.
From www.chegg.com
Solved 4. Aqueous solutions of aluminum sulfate and Aluminum Sulfate Dissolved In Water Equation Describe how an aqueous solution is formed from both ionic compounds. Aluminium sulfate does dissociate in water, forming ions. In this video we will describe the equation al2 (so4)3 + h2o and write what happens when al2 (so4)3 is dissolved in water.when al2. Aluminium + sulfuric acid = aluminum sulfate + sulfur dioxide + water. However, most cations with double. Aluminum Sulfate Dissolved In Water Equation.
From www.tessshebaylo.com
Chemical Equation For Ammonium Sulfate And Water Tessshebaylo Aluminum Sulfate Dissolved In Water Equation In this equation, aluminum hydroxide (π΄π (ππ»)β) combines with sulfuric acid (hβsoβ ) to form. Write a balanced dissociation equation. In a 0.23 mol/l aluminum sulfate solution, what is the molar concentration of each ion? 2al (oh)β + 3hβsoβ β alβ (soβ)β + 6hβo. Al 2 (so 4) 3. However, most cations with double and triple positive charge. Two moles. Aluminum Sulfate Dissolved In Water Equation.
From www.youtube.com
Balance Al + H2O = Al(OH)3 + H2 (Aluminum and Water) YouTube Aluminum Sulfate Dissolved In Water Equation In this equation, aluminum hydroxide (π΄π (ππ»)β) combines with sulfuric acid (hβsoβ ) to form. Describe how an aqueous solution is formed from both ionic compounds. Aluminium + sulfuric acid = aluminum sulfate + sulfur dioxide + water. Define a solution and describe the parts of a solution. In this video we will describe the equation al2 (so4)3 + h2o. Aluminum Sulfate Dissolved In Water Equation.
From www.numerade.com
SOLVEDWhen aluminum sulfate is dissolved in water, it produces an Aluminum Sulfate Dissolved In Water Equation In this equation, aluminum hydroxide (π΄π (ππ»)β) combines with sulfuric acid (hβsoβ ) to form. 2al (oh)β + 3hβsoβ β alβ (soβ)β + 6hβo. However, most cations with double and triple positive charge. Define a solution and describe the parts of a solution. Write a balanced dissociation equation. Aluminium + sulfuric acid = aluminum sulfate + sulfur dioxide + water.. Aluminum Sulfate Dissolved In Water Equation.
From www.pinterest.com
Aluminium sulfate Al2(SO4)3 Molecular Geometry Hybridization Aluminum Sulfate Dissolved In Water Equation Define a solution and describe the parts of a solution. In this video we will describe the equation al2 (so4)3 + h2o and write what happens when al2 (so4)3 is dissolved in water.when al2. In a 0.23 mol/l aluminum sulfate solution, what is the molar concentration of each ion? Two moles of aluminium [al] and six moles of. Describe how. Aluminum Sulfate Dissolved In Water Equation.
From aluminumsulfatepitsukata.blogspot.com
Aluminum Sulfate Dissolution Of Aluminum Sulfate In Water Aluminum Sulfate Dissolved In Water Equation Al 2 (so 4) 3. 2al (oh)β + 3hβsoβ β alβ (soβ)β + 6hβo. Describe how an aqueous solution is formed from both ionic compounds. In this equation, aluminum hydroxide (π΄π (ππ»)β) combines with sulfuric acid (hβsoβ ) to form. Define a solution and describe the parts of a solution. Aluminium + sulfuric acid = aluminum sulfate + sulfur dioxide. Aluminum Sulfate Dissolved In Water Equation.
From www.youtube.com
How to write the formula for aluminum sulfate YouTube Aluminum Sulfate Dissolved In Water Equation In a 0.23 mol/l aluminum sulfate solution, what is the molar concentration of each ion? Aluminium + sulfuric acid = aluminum sulfate + sulfur dioxide + water. Define a solution and describe the parts of a solution. Two moles of aluminium [al] and six moles of. Write a balanced dissociation equation. Describe how an aqueous solution is formed from both. Aluminum Sulfate Dissolved In Water Equation.
From www.youtube.com
Equation for Al2(SO4)3 + H2O (Aluminum sulfate + Water) YouTube Aluminum Sulfate Dissolved In Water Equation Al (oh)3 + h2so4 = al2 (so4)3 + h2o is a double displacement (metathesis) reaction where two moles of solid aluminum hydroxide [al (oh) 3]. Aluminium + sulfuric acid = aluminum sulfate + sulfur dioxide + water. In this equation, aluminum hydroxide (π΄π (ππ»)β) combines with sulfuric acid (hβsoβ ) to form. In this video we will describe the equation. Aluminum Sulfate Dissolved In Water Equation.