Housing Help Maine . Maine’s emergency rental assistance program provides rental and utility relief payments to help eligible renters. Whether you’re in need of housing assistance, help with utilities, or. The student homelessness prevention pilot was established by 2024 public law and was funded with $2 million to allow mainehousing to create a. If you’re looking for access to safe, affordable housing, 211 maine can help. Mainehousing provides a variety of programs and services and resources related to housing access and affordability in maine. Housing subsidies and rental assistance. If you are homeless and need emergency shelter, or need transitional or subsidized housing to get back on your feet, mainehousing may be able to help. The state of maine department of health and human services (dhhs), office of.
from housingassistance.net
The state of maine department of health and human services (dhhs), office of. The student homelessness prevention pilot was established by 2024 public law and was funded with $2 million to allow mainehousing to create a. Housing subsidies and rental assistance. Whether you’re in need of housing assistance, help with utilities, or. Mainehousing provides a variety of programs and services and resources related to housing access and affordability in maine. Maine’s emergency rental assistance program provides rental and utility relief payments to help eligible renters. If you’re looking for access to safe, affordable housing, 211 maine can help. If you are homeless and need emergency shelter, or need transitional or subsidized housing to get back on your feet, mainehousing may be able to help.
Housing Assistance in Maine Housing Assistance
Housing Help Maine Maine’s emergency rental assistance program provides rental and utility relief payments to help eligible renters. Maine’s emergency rental assistance program provides rental and utility relief payments to help eligible renters. Housing subsidies and rental assistance. If you’re looking for access to safe, affordable housing, 211 maine can help. The state of maine department of health and human services (dhhs), office of. The student homelessness prevention pilot was established by 2024 public law and was funded with $2 million to allow mainehousing to create a. Whether you’re in need of housing assistance, help with utilities, or. Mainehousing provides a variety of programs and services and resources related to housing access and affordability in maine. If you are homeless and need emergency shelter, or need transitional or subsidized housing to get back on your feet, mainehousing may be able to help.
From www.templateroller.com
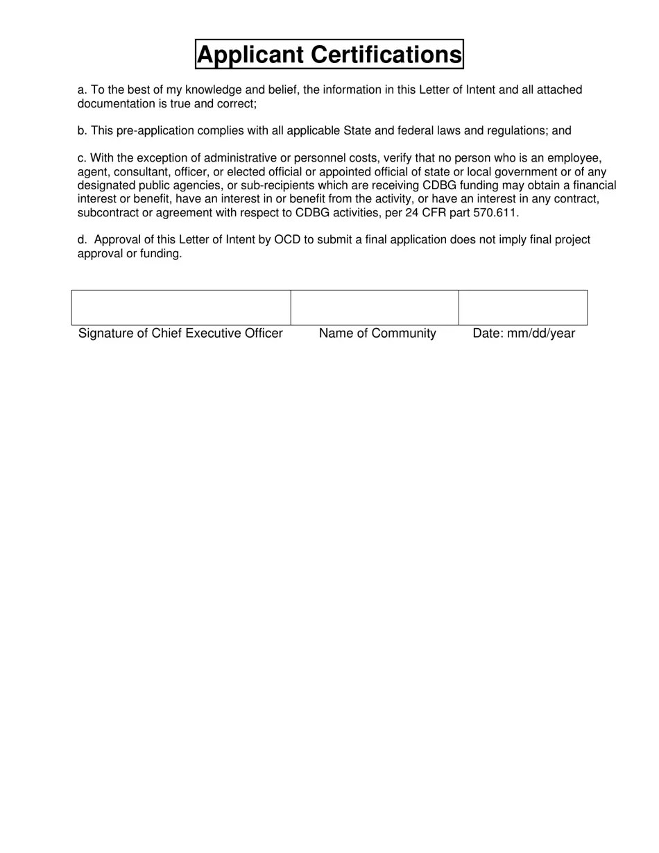
2021 Maine Housing Assistance Grant Program Letter of Intent to Apply Housing Help Maine Housing subsidies and rental assistance. Mainehousing provides a variety of programs and services and resources related to housing access and affordability in maine. Whether you’re in need of housing assistance, help with utilities, or. The student homelessness prevention pilot was established by 2024 public law and was funded with $2 million to allow mainehousing to create a. The state of. Housing Help Maine.
From affordablehousingonline.com
Nason Park Manor in Bangor, Maine Housing Help Maine Mainehousing provides a variety of programs and services and resources related to housing access and affordability in maine. The student homelessness prevention pilot was established by 2024 public law and was funded with $2 million to allow mainehousing to create a. Maine’s emergency rental assistance program provides rental and utility relief payments to help eligible renters. If you’re looking for. Housing Help Maine.
From www.finehomebuilding.com
A Passivhaus Multifamily in Maine Nears Completion Fine Homebuilding Housing Help Maine Whether you’re in need of housing assistance, help with utilities, or. Mainehousing provides a variety of programs and services and resources related to housing access and affordability in maine. Maine’s emergency rental assistance program provides rental and utility relief payments to help eligible renters. If you’re looking for access to safe, affordable housing, 211 maine can help. The state of. Housing Help Maine.
From www.bizpacreview.com
‘Difficult times’ Maine city raises property taxes to pay for migrant Housing Help Maine Whether you’re in need of housing assistance, help with utilities, or. The student homelessness prevention pilot was established by 2024 public law and was funded with $2 million to allow mainehousing to create a. If you are homeless and need emergency shelter, or need transitional or subsidized housing to get back on your feet, mainehousing may be able to help.. Housing Help Maine.
From www.yumpu.com
Annual Report 2006 Maine State Housing Authority Housing Help Maine Maine’s emergency rental assistance program provides rental and utility relief payments to help eligible renters. If you are homeless and need emergency shelter, or need transitional or subsidized housing to get back on your feet, mainehousing may be able to help. Housing subsidies and rental assistance. Mainehousing provides a variety of programs and services and resources related to housing access. Housing Help Maine.
From www.ellsworthmaine.gov
Maine Homeowner Assistance Fund City of Ellsworth, Maine Housing Help Maine If you’re looking for access to safe, affordable housing, 211 maine can help. If you are homeless and need emergency shelter, or need transitional or subsidized housing to get back on your feet, mainehousing may be able to help. Mainehousing provides a variety of programs and services and resources related to housing access and affordability in maine. Whether you’re in. Housing Help Maine.
From www.newscentermaine.com
MaineHousing introduces firstgeneration homebuyer program Housing Help Maine If you are homeless and need emergency shelter, or need transitional or subsidized housing to get back on your feet, mainehousing may be able to help. The student homelessness prevention pilot was established by 2024 public law and was funded with $2 million to allow mainehousing to create a. Housing subsidies and rental assistance. The state of maine department of. Housing Help Maine.
From www.mainepublic.org
Maine State Housing Authority Report Shows That Affordable Housing Is A Housing Help Maine Maine’s emergency rental assistance program provides rental and utility relief payments to help eligible renters. If you are homeless and need emergency shelter, or need transitional or subsidized housing to get back on your feet, mainehousing may be able to help. The student homelessness prevention pilot was established by 2024 public law and was funded with $2 million to allow. Housing Help Maine.
From www.unlock.com
A Guide to Down Payment Assistance Programs for FirstTime Homebuyers Housing Help Maine Mainehousing provides a variety of programs and services and resources related to housing access and affordability in maine. Whether you’re in need of housing assistance, help with utilities, or. The student homelessness prevention pilot was established by 2024 public law and was funded with $2 million to allow mainehousing to create a. If you are homeless and need emergency shelter,. Housing Help Maine.
From mainehousing.org
MaineHousing site Housing Help Maine If you are homeless and need emergency shelter, or need transitional or subsidized housing to get back on your feet, mainehousing may be able to help. Mainehousing provides a variety of programs and services and resources related to housing access and affordability in maine. The student homelessness prevention pilot was established by 2024 public law and was funded with $2. Housing Help Maine.
From yofreesamples.com
How to Find Free Rent, Shelter, and Housing Assistance Programs Near Me Housing Help Maine Mainehousing provides a variety of programs and services and resources related to housing access and affordability in maine. The state of maine department of health and human services (dhhs), office of. Whether you’re in need of housing assistance, help with utilities, or. If you are homeless and need emergency shelter, or need transitional or subsidized housing to get back on. Housing Help Maine.
From mainebeacon.com
Tenants back farreaching housing assistance bill as Maine faces Housing Help Maine The state of maine department of health and human services (dhhs), office of. The student homelessness prevention pilot was established by 2024 public law and was funded with $2 million to allow mainehousing to create a. Housing subsidies and rental assistance. Whether you’re in need of housing assistance, help with utilities, or. If you are homeless and need emergency shelter,. Housing Help Maine.
From arrests-me.org
Maine Housing Assistance Community Resources ME Housing Help Maine Maine’s emergency rental assistance program provides rental and utility relief payments to help eligible renters. The student homelessness prevention pilot was established by 2024 public law and was funded with $2 million to allow mainehousing to create a. Mainehousing provides a variety of programs and services and resources related to housing access and affordability in maine. The state of maine. Housing Help Maine.
From www.avestahousing.org
Affordable housing production is up in Maine — but yet to reach Housing Help Maine The student homelessness prevention pilot was established by 2024 public law and was funded with $2 million to allow mainehousing to create a. Housing subsidies and rental assistance. The state of maine department of health and human services (dhhs), office of. If you’re looking for access to safe, affordable housing, 211 maine can help. Mainehousing provides a variety of programs. Housing Help Maine.
From www.mainebiz.biz
Housing authorities across Maine to share 2.45 million for pandemic Housing Help Maine The state of maine department of health and human services (dhhs), office of. Maine’s emergency rental assistance program provides rental and utility relief payments to help eligible renters. Whether you’re in need of housing assistance, help with utilities, or. The student homelessness prevention pilot was established by 2024 public law and was funded with $2 million to allow mainehousing to. Housing Help Maine.
From www.newscentermaine.com
South Portland Housing Authority unveils new housing complex Housing Help Maine Mainehousing provides a variety of programs and services and resources related to housing access and affordability in maine. Maine’s emergency rental assistance program provides rental and utility relief payments to help eligible renters. The state of maine department of health and human services (dhhs), office of. If you are homeless and need emergency shelter, or need transitional or subsidized housing. Housing Help Maine.
From www.templateroller.com
2021 Maine Housing Assistance Grant Program Letter of Intent to Apply Housing Help Maine The student homelessness prevention pilot was established by 2024 public law and was funded with $2 million to allow mainehousing to create a. Mainehousing provides a variety of programs and services and resources related to housing access and affordability in maine. If you’re looking for access to safe, affordable housing, 211 maine can help. Maine’s emergency rental assistance program provides. Housing Help Maine.
From growsmartmaine.org
Housing Choices A Key Part of Maine’s Future GrowSmart Maine Housing Help Maine The state of maine department of health and human services (dhhs), office of. The student homelessness prevention pilot was established by 2024 public law and was funded with $2 million to allow mainehousing to create a. Mainehousing provides a variety of programs and services and resources related to housing access and affordability in maine. Whether you’re in need of housing. Housing Help Maine.
From www.hraadvisors.com
HR&A Advisors conducts novel report investigating Maine’s housing Housing Help Maine Mainehousing provides a variety of programs and services and resources related to housing access and affordability in maine. Whether you’re in need of housing assistance, help with utilities, or. Maine’s emergency rental assistance program provides rental and utility relief payments to help eligible renters. Housing subsidies and rental assistance. If you are homeless and need emergency shelter, or need transitional. Housing Help Maine.
From twitter.com
Up for Growth on Twitter "Maine House SpeakerFecteau introduces Housing Help Maine Whether you’re in need of housing assistance, help with utilities, or. If you’re looking for access to safe, affordable housing, 211 maine can help. Housing subsidies and rental assistance. The student homelessness prevention pilot was established by 2024 public law and was funded with $2 million to allow mainehousing to create a. Maine’s emergency rental assistance program provides rental and. Housing Help Maine.
From www.mainebiz.biz
Housing authorities across Maine to share 10M in federal money Housing Help Maine Housing subsidies and rental assistance. Mainehousing provides a variety of programs and services and resources related to housing access and affordability in maine. If you’re looking for access to safe, affordable housing, 211 maine can help. If you are homeless and need emergency shelter, or need transitional or subsidized housing to get back on your feet, mainehousing may be able. Housing Help Maine.
From www.templateroller.com
2021 Maine Housing Assistance Grant Program Letter of Intent to Apply Housing Help Maine Housing subsidies and rental assistance. If you’re looking for access to safe, affordable housing, 211 maine can help. Whether you’re in need of housing assistance, help with utilities, or. The state of maine department of health and human services (dhhs), office of. The student homelessness prevention pilot was established by 2024 public law and was funded with $2 million to. Housing Help Maine.
From www.newscentermaine.com
Maine nonprofit remains committed to provide affordable housing Housing Help Maine The state of maine department of health and human services (dhhs), office of. Housing subsidies and rental assistance. If you are homeless and need emergency shelter, or need transitional or subsidized housing to get back on your feet, mainehousing may be able to help. The student homelessness prevention pilot was established by 2024 public law and was funded with $2. Housing Help Maine.
From northernforest.org
Maine Towns Tackle Codes to Address Housing Crunch Northern Forest Center Housing Help Maine The student homelessness prevention pilot was established by 2024 public law and was funded with $2 million to allow mainehousing to create a. Mainehousing provides a variety of programs and services and resources related to housing access and affordability in maine. Whether you’re in need of housing assistance, help with utilities, or. Maine’s emergency rental assistance program provides rental and. Housing Help Maine.
From housingassistance.net
Housing Assistance in Maine Housing Assistance Housing Help Maine Mainehousing provides a variety of programs and services and resources related to housing access and affordability in maine. Maine’s emergency rental assistance program provides rental and utility relief payments to help eligible renters. The state of maine department of health and human services (dhhs), office of. The student homelessness prevention pilot was established by 2024 public law and was funded. Housing Help Maine.
From www.bangordailynews.com
How a 9 billion federal investment could help Maine’s aging affordable Housing Help Maine If you are homeless and need emergency shelter, or need transitional or subsidized housing to get back on your feet, mainehousing may be able to help. The student homelessness prevention pilot was established by 2024 public law and was funded with $2 million to allow mainehousing to create a. Mainehousing provides a variety of programs and services and resources related. Housing Help Maine.
From www.mainepublic.org
The Future of Housing in Maine What is Happening in With the Housing Housing Help Maine If you are homeless and need emergency shelter, or need transitional or subsidized housing to get back on your feet, mainehousing may be able to help. Whether you’re in need of housing assistance, help with utilities, or. Mainehousing provides a variety of programs and services and resources related to housing access and affordability in maine. Maine’s emergency rental assistance program. Housing Help Maine.
From www.bangordailynews.com
Maine expands COVIDera homeowner assistance funding Housing Help Maine The state of maine department of health and human services (dhhs), office of. If you are homeless and need emergency shelter, or need transitional or subsidized housing to get back on your feet, mainehousing may be able to help. The student homelessness prevention pilot was established by 2024 public law and was funded with $2 million to allow mainehousing to. Housing Help Maine.
From www.asinglemother.org
Housing Assistance in Maine aSingleMother Grants for Single Mothers Housing Help Maine The state of maine department of health and human services (dhhs), office of. Whether you’re in need of housing assistance, help with utilities, or. Maine’s emergency rental assistance program provides rental and utility relief payments to help eligible renters. Housing subsidies and rental assistance. The student homelessness prevention pilot was established by 2024 public law and was funded with $2. Housing Help Maine.
From midcoastmainecommunityaction.org
Housing Assistance and Counseling Midcoast Maine Community Action Housing Help Maine Housing subsidies and rental assistance. If you’re looking for access to safe, affordable housing, 211 maine can help. The student homelessness prevention pilot was established by 2024 public law and was funded with $2 million to allow mainehousing to create a. The state of maine department of health and human services (dhhs), office of. Mainehousing provides a variety of programs. Housing Help Maine.
From www.newscentermaine.com
Maine expands affordable housing options Housing Help Maine If you are homeless and need emergency shelter, or need transitional or subsidized housing to get back on your feet, mainehousing may be able to help. Housing subsidies and rental assistance. Mainehousing provides a variety of programs and services and resources related to housing access and affordability in maine. Maine’s emergency rental assistance program provides rental and utility relief payments. Housing Help Maine.
From www.mainepublic.org
USM celebrates the opening of its firstever dorm on Portland campus Housing Help Maine The student homelessness prevention pilot was established by 2024 public law and was funded with $2 million to allow mainehousing to create a. Maine’s emergency rental assistance program provides rental and utility relief payments to help eligible renters. Whether you’re in need of housing assistance, help with utilities, or. Housing subsidies and rental assistance. Mainehousing provides a variety of programs. Housing Help Maine.
From www.avestahousing.org
MuchNeeded Seniors Housing Completed in Maine Avesta Housing Housing Help Maine Housing subsidies and rental assistance. Whether you’re in need of housing assistance, help with utilities, or. The state of maine department of health and human services (dhhs), office of. If you’re looking for access to safe, affordable housing, 211 maine can help. If you are homeless and need emergency shelter, or need transitional or subsidized housing to get back on. Housing Help Maine.
From www.turnerpublishing.net
'Cabin in the Woods' program to help Maine veterans at Togus VA Maine Housing Help Maine Maine’s emergency rental assistance program provides rental and utility relief payments to help eligible renters. If you are homeless and need emergency shelter, or need transitional or subsidized housing to get back on your feet, mainehousing may be able to help. Mainehousing provides a variety of programs and services and resources related to housing access and affordability in maine. Whether. Housing Help Maine.
From www.newscentermaine.com
Facing foreclosure? There's help available in Maine Housing Help Maine The state of maine department of health and human services (dhhs), office of. Maine’s emergency rental assistance program provides rental and utility relief payments to help eligible renters. Housing subsidies and rental assistance. If you are homeless and need emergency shelter, or need transitional or subsidized housing to get back on your feet, mainehousing may be able to help. If. Housing Help Maine.