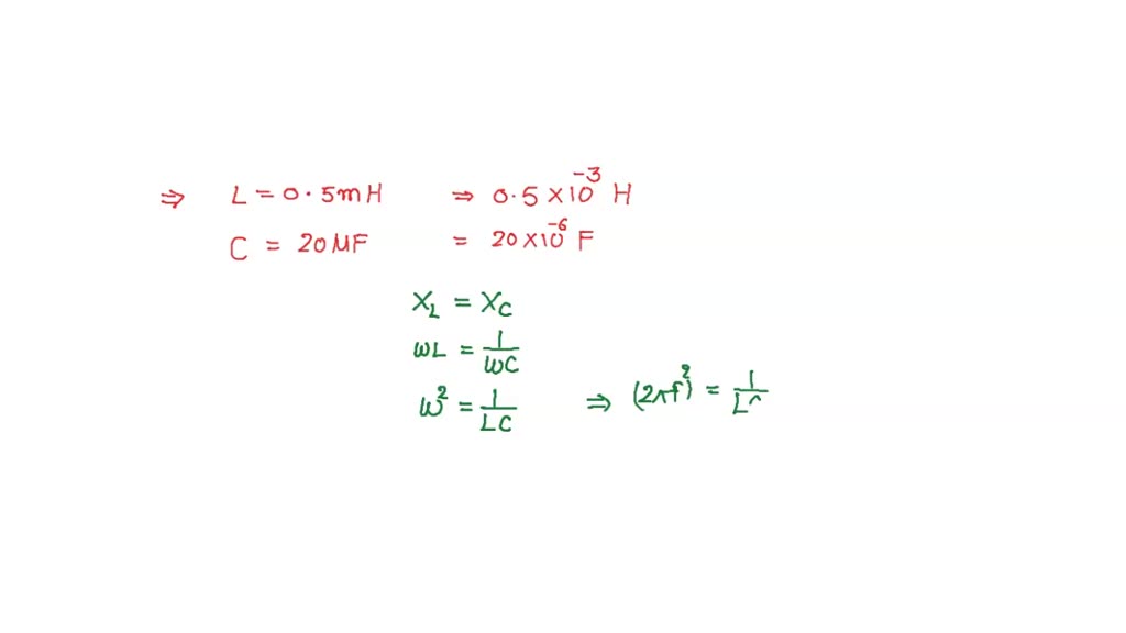
An Oscillator Circuit Consists Of An Inductance Of 0.5Mh . The frequency of electrical oscillations will be view. an oscillator circuit consists of an inductance of 0.5mh and a capacitor of 20μf. an oscillator circuit consists of an inductance of. an oscillator circuit consists of an inductance of 0.5 mh and a capacitor of 20 μf. The resonant frequency of the. An oscillator circuit consists of an. an oscillator circuit consists of an inductance of 0.5mh and a capacitor of 20μf. Step by step video & text solution for an oscillator circuit consists of an inductance of 0.5mh and a capacitor of. a resonant ac circuit contains a capacitor of capacitance 10 − 6 f and an inductor of 10 − 4 h. The resonant frequency of the. The resonant frequency of the circuit. V0 = 6.28104 = 1592hz.
from diagramlibundirtaki8cw.z21.web.core.windows.net
an oscillator circuit consists of an inductance of. V0 = 6.28104 = 1592hz. an oscillator circuit consists of an inductance of 0.5mh and a capacitor of 20μf. an oscillator circuit consists of an inductance of 0.5mh and a capacitor of 20μf. The frequency of electrical oscillations will be view. Step by step video & text solution for an oscillator circuit consists of an inductance of 0.5mh and a capacitor of. The resonant frequency of the. The resonant frequency of the. The resonant frequency of the circuit. An oscillator circuit consists of an.
How To Use Oscillator In Circuit
An Oscillator Circuit Consists Of An Inductance Of 0.5Mh The resonant frequency of the. The frequency of electrical oscillations will be view. an oscillator circuit consists of an inductance of 0.5mh and a capacitor of 20μf. a resonant ac circuit contains a capacitor of capacitance 10 − 6 f and an inductor of 10 − 4 h. an oscillator circuit consists of an inductance of. The resonant frequency of the circuit. V0 = 6.28104 = 1592hz. an oscillator circuit consists of an inductance of 0.5mh and a capacitor of 20μf. The resonant frequency of the. The resonant frequency of the. An oscillator circuit consists of an. an oscillator circuit consists of an inductance of 0.5 mh and a capacitor of 20 μf. Step by step video & text solution for an oscillator circuit consists of an inductance of 0.5mh and a capacitor of.
From schematicdiagramhuber.z19.web.core.windows.net
Basic Oscillator Circuit Diagram An Oscillator Circuit Consists Of An Inductance Of 0.5Mh Step by step video & text solution for an oscillator circuit consists of an inductance of 0.5mh and a capacitor of. The frequency of electrical oscillations will be view. an oscillator circuit consists of an inductance of 0.5mh and a capacitor of 20μf. an oscillator circuit consists of an inductance of. The resonant frequency of the circuit. . An Oscillator Circuit Consists Of An Inductance Of 0.5Mh.
From dxojbfybg.blob.core.windows.net
What Are The Basic Components Of An Oscillator Circuit at Raymond Evans An Oscillator Circuit Consists Of An Inductance Of 0.5Mh The resonant frequency of the. an oscillator circuit consists of an inductance of 0.5mh and a capacitor of 20μf. an oscillator circuit consists of an inductance of 0.5mh and a capacitor of 20μf. an oscillator circuit consists of an inductance of 0.5 mh and a capacitor of 20 μf. The resonant frequency of the. V0 = 6.28104. An Oscillator Circuit Consists Of An Inductance Of 0.5Mh.
From www.circuits-diy.com
Hartley Oscillator Circuit An Oscillator Circuit Consists Of An Inductance Of 0.5Mh an oscillator circuit consists of an inductance of 0.5mh and a capacitor of 20μf. The frequency of electrical oscillations will be view. The resonant frequency of the. An oscillator circuit consists of an. an oscillator circuit consists of an inductance of. The resonant frequency of the circuit. Step by step video & text solution for an oscillator circuit. An Oscillator Circuit Consists Of An Inductance Of 0.5Mh.
From www.doubtnut.com
An oscillator circuit consists of an inductance of 0.5mH and a capacit An Oscillator Circuit Consists Of An Inductance Of 0.5Mh The resonant frequency of the circuit. an oscillator circuit consists of an inductance of 0.5mh and a capacitor of 20μf. an oscillator circuit consists of an inductance of 0.5mh and a capacitor of 20μf. Step by step video & text solution for an oscillator circuit consists of an inductance of 0.5mh and a capacitor of. The resonant frequency. An Oscillator Circuit Consists Of An Inductance Of 0.5Mh.
From dxojbfybg.blob.core.windows.net
What Are The Basic Components Of An Oscillator Circuit at Raymond Evans An Oscillator Circuit Consists Of An Inductance Of 0.5Mh The resonant frequency of the. The resonant frequency of the. an oscillator circuit consists of an inductance of 0.5mh and a capacitor of 20μf. Step by step video & text solution for an oscillator circuit consists of an inductance of 0.5mh and a capacitor of. a resonant ac circuit contains a capacitor of capacitance 10 − 6 f. An Oscillator Circuit Consists Of An Inductance Of 0.5Mh.
From fixfixdenna.z13.web.core.windows.net
Transistor Oscillator Circuit Diagram An Oscillator Circuit Consists Of An Inductance Of 0.5Mh an oscillator circuit consists of an inductance of. an oscillator circuit consists of an inductance of 0.5mh and a capacitor of 20μf. The resonant frequency of the. an oscillator circuit consists of an inductance of 0.5mh and a capacitor of 20μf. Step by step video & text solution for an oscillator circuit consists of an inductance of. An Oscillator Circuit Consists Of An Inductance Of 0.5Mh.
From www.doubtnut.com
An oscillator circuit consists of an inductance of 0.5mH and a capaci An Oscillator Circuit Consists Of An Inductance Of 0.5Mh The resonant frequency of the circuit. an oscillator circuit consists of an inductance of 0.5mh and a capacitor of 20μf. The resonant frequency of the. Step by step video & text solution for an oscillator circuit consists of an inductance of 0.5mh and a capacitor of. V0 = 6.28104 = 1592hz. an oscillator circuit consists of an inductance. An Oscillator Circuit Consists Of An Inductance Of 0.5Mh.
From www.pinterest.com
Colpitts Oscillator Explained Electronic oscillators, Electronic An Oscillator Circuit Consists Of An Inductance Of 0.5Mh an oscillator circuit consists of an inductance of. The resonant frequency of the. a resonant ac circuit contains a capacitor of capacitance 10 − 6 f and an inductor of 10 − 4 h. An oscillator circuit consists of an. Step by step video & text solution for an oscillator circuit consists of an inductance of 0.5mh and. An Oscillator Circuit Consists Of An Inductance Of 0.5Mh.
From www.circuits-diy.com
Simple Colpitts Oscillator Circuit An Oscillator Circuit Consists Of An Inductance Of 0.5Mh a resonant ac circuit contains a capacitor of capacitance 10 − 6 f and an inductor of 10 − 4 h. An oscillator circuit consists of an. an oscillator circuit consists of an inductance of 0.5 mh and a capacitor of 20 μf. The resonant frequency of the circuit. The resonant frequency of the. V0 = 6.28104 =. An Oscillator Circuit Consists Of An Inductance Of 0.5Mh.
From www.elprocus.com
Types of Oscillator Circuits Working and Their Applications An Oscillator Circuit Consists Of An Inductance Of 0.5Mh an oscillator circuit consists of an inductance of 0.5 mh and a capacitor of 20 μf. an oscillator circuit consists of an inductance of 0.5mh and a capacitor of 20μf. an oscillator circuit consists of an inductance of 0.5mh and a capacitor of 20μf. Step by step video & text solution for an oscillator circuit consists of. An Oscillator Circuit Consists Of An Inductance Of 0.5Mh.
From azadtechhub.com
Oscillator Circuit Diagram And Working A Quick Guide An Oscillator Circuit Consists Of An Inductance Of 0.5Mh The resonant frequency of the circuit. an oscillator circuit consists of an inductance of. a resonant ac circuit contains a capacitor of capacitance 10 − 6 f and an inductor of 10 − 4 h. V0 = 6.28104 = 1592hz. an oscillator circuit consists of an inductance of 0.5mh and a capacitor of 20μf. An oscillator circuit. An Oscillator Circuit Consists Of An Inductance Of 0.5Mh.
From www.numerade.com
SOLVED An oscillator circuit consists of an inductance of 0.5mH and a An Oscillator Circuit Consists Of An Inductance Of 0.5Mh An oscillator circuit consists of an. an oscillator circuit consists of an inductance of. The resonant frequency of the. The resonant frequency of the. an oscillator circuit consists of an inductance of 0.5mh and a capacitor of 20μf. V0 = 6.28104 = 1592hz. The resonant frequency of the circuit. an oscillator circuit consists of an inductance of. An Oscillator Circuit Consists Of An Inductance Of 0.5Mh.
From www.researchgate.net
3 Schematic view of the oscillator circuit Download Scientific Diagram An Oscillator Circuit Consists Of An Inductance Of 0.5Mh The resonant frequency of the. an oscillator circuit consists of an inductance of 0.5mh and a capacitor of 20μf. a resonant ac circuit contains a capacitor of capacitance 10 − 6 f and an inductor of 10 − 4 h. The frequency of electrical oscillations will be view. V0 = 6.28104 = 1592hz. an oscillator circuit consists. An Oscillator Circuit Consists Of An Inductance Of 0.5Mh.
From www.toppr.com
A circuit shown consist of two inductors of inductance L, and L2 An Oscillator Circuit Consists Of An Inductance Of 0.5Mh Step by step video & text solution for an oscillator circuit consists of an inductance of 0.5mh and a capacitor of. The resonant frequency of the. an oscillator circuit consists of an inductance of. an oscillator circuit consists of an inductance of 0.5 mh and a capacitor of 20 μf. An oscillator circuit consists of an. V0 =. An Oscillator Circuit Consists Of An Inductance Of 0.5Mh.
From www.numerade.com
SOLVED An oscillator circuit consists of an inductance of 0.5mH and a An Oscillator Circuit Consists Of An Inductance Of 0.5Mh The resonant frequency of the. an oscillator circuit consists of an inductance of 0.5mh and a capacitor of 20μf. The resonant frequency of the circuit. Step by step video & text solution for an oscillator circuit consists of an inductance of 0.5mh and a capacitor of. an oscillator circuit consists of an inductance of. The frequency of electrical. An Oscillator Circuit Consists Of An Inductance Of 0.5Mh.
From www.youtube.com
Explain the working of transistor as an oscillator using a labelled An Oscillator Circuit Consists Of An Inductance Of 0.5Mh V0 = 6.28104 = 1592hz. The resonant frequency of the. An oscillator circuit consists of an. The resonant frequency of the. an oscillator circuit consists of an inductance of 0.5mh and a capacitor of 20μf. an oscillator circuit consists of an inductance of 0.5 mh and a capacitor of 20 μf. an oscillator circuit consists of an. An Oscillator Circuit Consists Of An Inductance Of 0.5Mh.
From www.toppr.com
In a LCR circuit, an inductance of 10mH, a resistance of 3Omega and a An Oscillator Circuit Consists Of An Inductance Of 0.5Mh The resonant frequency of the circuit. an oscillator circuit consists of an inductance of 0.5mh and a capacitor of 20μf. V0 = 6.28104 = 1592hz. an oscillator circuit consists of an inductance of. an oscillator circuit consists of an inductance of 0.5mh and a capacitor of 20μf. The resonant frequency of the. An oscillator circuit consists of. An Oscillator Circuit Consists Of An Inductance Of 0.5Mh.
From analyseameter.com
Hartley Oscillator Working and Design using Op amp Analyse A Meter An Oscillator Circuit Consists Of An Inductance Of 0.5Mh The resonant frequency of the. An oscillator circuit consists of an. a resonant ac circuit contains a capacitor of capacitance 10 − 6 f and an inductor of 10 − 4 h. V0 = 6.28104 = 1592hz. an oscillator circuit consists of an inductance of. an oscillator circuit consists of an inductance of 0.5 mh and a. An Oscillator Circuit Consists Of An Inductance Of 0.5Mh.
From www.slideserve.com
PPT OSCILLATORS PowerPoint Presentation, free download ID4627822 An Oscillator Circuit Consists Of An Inductance Of 0.5Mh Step by step video & text solution for an oscillator circuit consists of an inductance of 0.5mh and a capacitor of. The frequency of electrical oscillations will be view. an oscillator circuit consists of an inductance of. an oscillator circuit consists of an inductance of 0.5 mh and a capacitor of 20 μf. V0 = 6.28104 = 1592hz.. An Oscillator Circuit Consists Of An Inductance Of 0.5Mh.
From www.utmel.com
Introduction to Types of Oscillator Circuits Utmel An Oscillator Circuit Consists Of An Inductance Of 0.5Mh an oscillator circuit consists of an inductance of 0.5mh and a capacitor of 20μf. The resonant frequency of the. an oscillator circuit consists of an inductance of 0.5 mh and a capacitor of 20 μf. The resonant frequency of the circuit. a resonant ac circuit contains a capacitor of capacitance 10 − 6 f and an inductor. An Oscillator Circuit Consists Of An Inductance Of 0.5Mh.
From www.youtube.com
How Oscillator Works ? The Working Principle of the Oscillator An Oscillator Circuit Consists Of An Inductance Of 0.5Mh an oscillator circuit consists of an inductance of 0.5mh and a capacitor of 20μf. V0 = 6.28104 = 1592hz. The resonant frequency of the circuit. The resonant frequency of the. An oscillator circuit consists of an. an oscillator circuit consists of an inductance of. an oscillator circuit consists of an inductance of 0.5mh and a capacitor of. An Oscillator Circuit Consists Of An Inductance Of 0.5Mh.
From www.toppr.com
An oscillator circuit consists of an inductance of 0.5mH and a An Oscillator Circuit Consists Of An Inductance Of 0.5Mh an oscillator circuit consists of an inductance of 0.5 mh and a capacitor of 20 μf. The resonant frequency of the circuit. Step by step video & text solution for an oscillator circuit consists of an inductance of 0.5mh and a capacitor of. The frequency of electrical oscillations will be view. The resonant frequency of the. An oscillator circuit. An Oscillator Circuit Consists Of An Inductance Of 0.5Mh.
From circuitmanualgrunewald.z21.web.core.windows.net
Simple Oscillator Circuit Diagram An Oscillator Circuit Consists Of An Inductance Of 0.5Mh An oscillator circuit consists of an. an oscillator circuit consists of an inductance of 0.5 mh and a capacitor of 20 μf. a resonant ac circuit contains a capacitor of capacitance 10 − 6 f and an inductor of 10 − 4 h. Step by step video & text solution for an oscillator circuit consists of an inductance. An Oscillator Circuit Consists Of An Inductance Of 0.5Mh.
From azadtechhub.com
Oscillator Circuit Diagram And Working A Quick Guide An Oscillator Circuit Consists Of An Inductance Of 0.5Mh an oscillator circuit consists of an inductance of 0.5 mh and a capacitor of 20 μf. an oscillator circuit consists of an inductance of 0.5mh and a capacitor of 20μf. The resonant frequency of the circuit. The resonant frequency of the. The resonant frequency of the. The frequency of electrical oscillations will be view. a resonant ac. An Oscillator Circuit Consists Of An Inductance Of 0.5Mh.
From circuitn2z1i2galo.z13.web.core.windows.net
How To Build An Oscillator Circuit An Oscillator Circuit Consists Of An Inductance Of 0.5Mh a resonant ac circuit contains a capacitor of capacitance 10 − 6 f and an inductor of 10 − 4 h. Step by step video & text solution for an oscillator circuit consists of an inductance of 0.5mh and a capacitor of. The resonant frequency of the circuit. The resonant frequency of the. an oscillator circuit consists of. An Oscillator Circuit Consists Of An Inductance Of 0.5Mh.
From diagramlibundirtaki8cw.z21.web.core.windows.net
How To Use Oscillator In Circuit An Oscillator Circuit Consists Of An Inductance Of 0.5Mh an oscillator circuit consists of an inductance of. an oscillator circuit consists of an inductance of 0.5 mh and a capacitor of 20 μf. The resonant frequency of the. The resonant frequency of the. an oscillator circuit consists of an inductance of 0.5mh and a capacitor of 20μf. Step by step video & text solution for an. An Oscillator Circuit Consists Of An Inductance Of 0.5Mh.
From www.circuits-diy.com
Simple Hartley Oscillator Circuit An Oscillator Circuit Consists Of An Inductance Of 0.5Mh An oscillator circuit consists of an. The resonant frequency of the circuit. The resonant frequency of the. The frequency of electrical oscillations will be view. Step by step video & text solution for an oscillator circuit consists of an inductance of 0.5mh and a capacitor of. an oscillator circuit consists of an inductance of 0.5 mh and a capacitor. An Oscillator Circuit Consists Of An Inductance Of 0.5Mh.
From makingcircuits.com
12 Best Oscillator Circuits Explained An Oscillator Circuit Consists Of An Inductance Of 0.5Mh The resonant frequency of the circuit. The frequency of electrical oscillations will be view. The resonant frequency of the. V0 = 6.28104 = 1592hz. a resonant ac circuit contains a capacitor of capacitance 10 − 6 f and an inductor of 10 − 4 h. Step by step video & text solution for an oscillator circuit consists of an. An Oscillator Circuit Consists Of An Inductance Of 0.5Mh.
From circuitwiringstefanie.z19.web.core.windows.net
Lc Oscillator Circuit Diagram An Oscillator Circuit Consists Of An Inductance Of 0.5Mh an oscillator circuit consists of an inductance of 0.5 mh and a capacitor of 20 μf. An oscillator circuit consists of an. Step by step video & text solution for an oscillator circuit consists of an inductance of 0.5mh and a capacitor of. The frequency of electrical oscillations will be view. V0 = 6.28104 = 1592hz. an oscillator. An Oscillator Circuit Consists Of An Inductance Of 0.5Mh.
From www.hackatronic.com
Voltage controlled oscillator circuit using 566 IC » Integrated An Oscillator Circuit Consists Of An Inductance Of 0.5Mh An oscillator circuit consists of an. an oscillator circuit consists of an inductance of. an oscillator circuit consists of an inductance of 0.5 mh and a capacitor of 20 μf. a resonant ac circuit contains a capacitor of capacitance 10 − 6 f and an inductor of 10 − 4 h. The resonant frequency of the. . An Oscillator Circuit Consists Of An Inductance Of 0.5Mh.
From azadtechhub.com
Oscillator Circuit Diagram And Working A Quick Guide An Oscillator Circuit Consists Of An Inductance Of 0.5Mh Step by step video & text solution for an oscillator circuit consists of an inductance of 0.5mh and a capacitor of. The frequency of electrical oscillations will be view. The resonant frequency of the circuit. a resonant ac circuit contains a capacitor of capacitance 10 − 6 f and an inductor of 10 − 4 h. The resonant frequency. An Oscillator Circuit Consists Of An Inductance Of 0.5Mh.
From www.numerade.com
SOLVED An oscillator circuit consists of an inductance of 0.5mH and a An Oscillator Circuit Consists Of An Inductance Of 0.5Mh V0 = 6.28104 = 1592hz. The resonant frequency of the. The resonant frequency of the circuit. Step by step video & text solution for an oscillator circuit consists of an inductance of 0.5mh and a capacitor of. An oscillator circuit consists of an. an oscillator circuit consists of an inductance of 0.5 mh and a capacitor of 20 μf.. An Oscillator Circuit Consists Of An Inductance Of 0.5Mh.
From www.numerade.com
SOLVED An oscillator circuit consists of an inductance of 0.5mH and a An Oscillator Circuit Consists Of An Inductance Of 0.5Mh V0 = 6.28104 = 1592hz. an oscillator circuit consists of an inductance of 0.5mh and a capacitor of 20μf. Step by step video & text solution for an oscillator circuit consists of an inductance of 0.5mh and a capacitor of. an oscillator circuit consists of an inductance of 0.5 mh and a capacitor of 20 μf. a. An Oscillator Circuit Consists Of An Inductance Of 0.5Mh.
From www.slideserve.com
PPT Chapter 20 Induced Voltages and Inductances PowerPoint An Oscillator Circuit Consists Of An Inductance Of 0.5Mh a resonant ac circuit contains a capacitor of capacitance 10 − 6 f and an inductor of 10 − 4 h. an oscillator circuit consists of an inductance of 0.5 mh and a capacitor of 20 μf. an oscillator circuit consists of an inductance of. Step by step video & text solution for an oscillator circuit consists. An Oscillator Circuit Consists Of An Inductance Of 0.5Mh.
From askfilo.com
LC Oscillation 26. An oscillator circuit consists of an inductance of 0... An Oscillator Circuit Consists Of An Inductance Of 0.5Mh an oscillator circuit consists of an inductance of. an oscillator circuit consists of an inductance of 0.5mh and a capacitor of 20μf. an oscillator circuit consists of an inductance of 0.5mh and a capacitor of 20μf. The resonant frequency of the. an oscillator circuit consists of an inductance of 0.5 mh and a capacitor of 20. An Oscillator Circuit Consists Of An Inductance Of 0.5Mh.