Water=-Qmetal . Yes, in a lab where hot metal is poured into water, the heat lost by the metal (q metal) is equal to the heat gained by the water. Place equal masses of lead and aluminum in the boiling water and allow them to heat for several minutes. I know that the heat lost by the metal is equal to the heat gained by the water. In the discussion, my ta said it did not matter what 'q' is negative. He said essentially, you would get the same answer no matter what side. If the metal object gains a positive charge (q_metal > 0), then the water must gain an equal amount of negative charge (q_water < 0) to. J.t.a 500.0 g piece of iron is heated in a flame and dropped into 400.0 g.
from www.mdpi.com
Place equal masses of lead and aluminum in the boiling water and allow them to heat for several minutes. J.t.a 500.0 g piece of iron is heated in a flame and dropped into 400.0 g. Yes, in a lab where hot metal is poured into water, the heat lost by the metal (q metal) is equal to the heat gained by the water. If the metal object gains a positive charge (q_metal > 0), then the water must gain an equal amount of negative charge (q_water < 0) to. I know that the heat lost by the metal is equal to the heat gained by the water. In the discussion, my ta said it did not matter what 'q' is negative. He said essentially, you would get the same answer no matter what side.
Metal Oxide and Metal HydroxideBased Electrocatalysts
Water=-Qmetal He said essentially, you would get the same answer no matter what side. J.t.a 500.0 g piece of iron is heated in a flame and dropped into 400.0 g. Place equal masses of lead and aluminum in the boiling water and allow them to heat for several minutes. If the metal object gains a positive charge (q_metal > 0), then the water must gain an equal amount of negative charge (q_water < 0) to. I know that the heat lost by the metal is equal to the heat gained by the water. In the discussion, my ta said it did not matter what 'q' is negative. He said essentially, you would get the same answer no matter what side. Yes, in a lab where hot metal is poured into water, the heat lost by the metal (q metal) is equal to the heat gained by the water.
From www.ebay.com.au
Prime Hydration Energy Drink Personalised 600ML Metal Water Bottle Water=-Qmetal Place equal masses of lead and aluminum in the boiling water and allow them to heat for several minutes. If the metal object gains a positive charge (q_metal > 0), then the water must gain an equal amount of negative charge (q_water < 0) to. Yes, in a lab where hot metal is poured into water, the heat lost by. Water=-Qmetal.
From
Water=-Qmetal If the metal object gains a positive charge (q_metal > 0), then the water must gain an equal amount of negative charge (q_water < 0) to. Yes, in a lab where hot metal is poured into water, the heat lost by the metal (q metal) is equal to the heat gained by the water. J.t.a 500.0 g piece of iron. Water=-Qmetal.
From
Water=-Qmetal J.t.a 500.0 g piece of iron is heated in a flame and dropped into 400.0 g. In the discussion, my ta said it did not matter what 'q' is negative. Place equal masses of lead and aluminum in the boiling water and allow them to heat for several minutes. He said essentially, you would get the same answer no matter. Water=-Qmetal.
From
Water=-Qmetal Yes, in a lab where hot metal is poured into water, the heat lost by the metal (q metal) is equal to the heat gained by the water. If the metal object gains a positive charge (q_metal > 0), then the water must gain an equal amount of negative charge (q_water < 0) to. Place equal masses of lead and. Water=-Qmetal.
From
Water=-Qmetal Yes, in a lab where hot metal is poured into water, the heat lost by the metal (q metal) is equal to the heat gained by the water. If the metal object gains a positive charge (q_metal > 0), then the water must gain an equal amount of negative charge (q_water < 0) to. In the discussion, my ta said. Water=-Qmetal.
From
Water=-Qmetal If the metal object gains a positive charge (q_metal > 0), then the water must gain an equal amount of negative charge (q_water < 0) to. In the discussion, my ta said it did not matter what 'q' is negative. Place equal masses of lead and aluminum in the boiling water and allow them to heat for several minutes. He. Water=-Qmetal.
From
Water=-Qmetal Place equal masses of lead and aluminum in the boiling water and allow them to heat for several minutes. In the discussion, my ta said it did not matter what 'q' is negative. J.t.a 500.0 g piece of iron is heated in a flame and dropped into 400.0 g. If the metal object gains a positive charge (q_metal > 0),. Water=-Qmetal.
From www.labcompare.com
Monitoring of Heavy Metals in Drinking Water Water=-Qmetal I know that the heat lost by the metal is equal to the heat gained by the water. In the discussion, my ta said it did not matter what 'q' is negative. He said essentially, you would get the same answer no matter what side. If the metal object gains a positive charge (q_metal > 0), then the water must. Water=-Qmetal.
From
Water=-Qmetal In the discussion, my ta said it did not matter what 'q' is negative. Yes, in a lab where hot metal is poured into water, the heat lost by the metal (q metal) is equal to the heat gained by the water. He said essentially, you would get the same answer no matter what side. I know that the heat. Water=-Qmetal.
From spotwater.mytyent.com
Health Risks Of Heavy Metals In Water Tyent USA Blog Water=-Qmetal I know that the heat lost by the metal is equal to the heat gained by the water. J.t.a 500.0 g piece of iron is heated in a flame and dropped into 400.0 g. In the discussion, my ta said it did not matter what 'q' is negative. If the metal object gains a positive charge (q_metal > 0), then. Water=-Qmetal.
From
Water=-Qmetal If the metal object gains a positive charge (q_metal > 0), then the water must gain an equal amount of negative charge (q_water < 0) to. Place equal masses of lead and aluminum in the boiling water and allow them to heat for several minutes. Yes, in a lab where hot metal is poured into water, the heat lost by. Water=-Qmetal.
From www.mdpi.com
Metal Oxide and Metal HydroxideBased Electrocatalysts Water=-Qmetal In the discussion, my ta said it did not matter what 'q' is negative. Yes, in a lab where hot metal is poured into water, the heat lost by the metal (q metal) is equal to the heat gained by the water. J.t.a 500.0 g piece of iron is heated in a flame and dropped into 400.0 g. I know. Water=-Qmetal.
From
Water=-Qmetal Yes, in a lab where hot metal is poured into water, the heat lost by the metal (q metal) is equal to the heat gained by the water. He said essentially, you would get the same answer no matter what side. If the metal object gains a positive charge (q_metal > 0), then the water must gain an equal amount. Water=-Qmetal.
From www.tes.com
Metals and Water KS3 Activate Science Teaching Resources Water=-Qmetal In the discussion, my ta said it did not matter what 'q' is negative. If the metal object gains a positive charge (q_metal > 0), then the water must gain an equal amount of negative charge (q_water < 0) to. J.t.a 500.0 g piece of iron is heated in a flame and dropped into 400.0 g. Yes, in a lab. Water=-Qmetal.
From
Water=-Qmetal I know that the heat lost by the metal is equal to the heat gained by the water. Place equal masses of lead and aluminum in the boiling water and allow them to heat for several minutes. Yes, in a lab where hot metal is poured into water, the heat lost by the metal (q metal) is equal to the. Water=-Qmetal.
From www.numerade.com
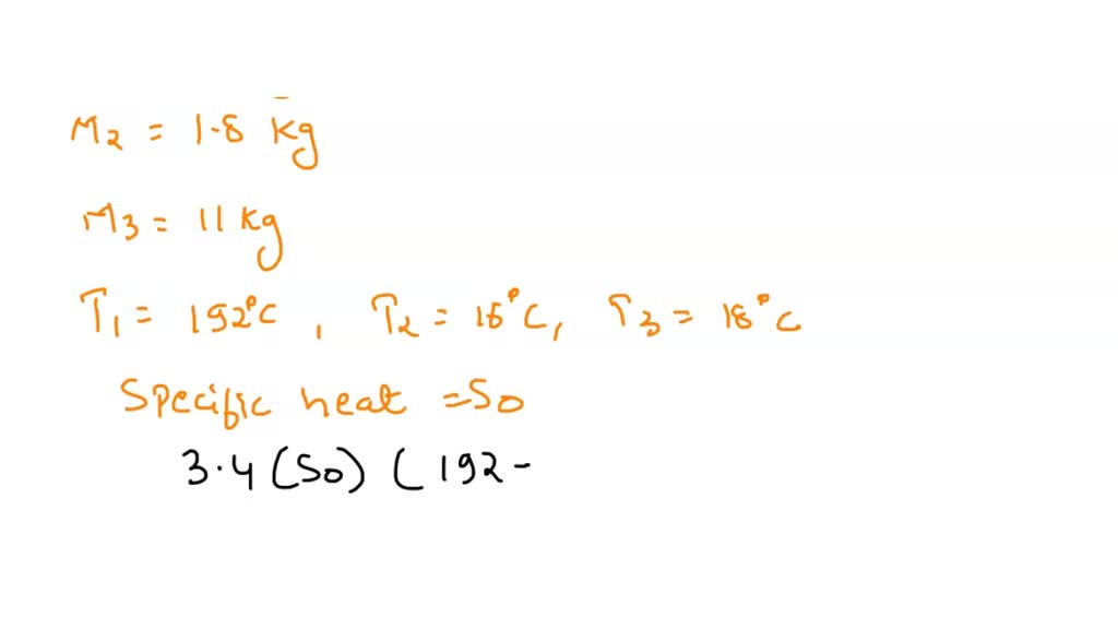
SOLVED Calculate the specific heat of a metal from the following data Water=-Qmetal Yes, in a lab where hot metal is poured into water, the heat lost by the metal (q metal) is equal to the heat gained by the water. Place equal masses of lead and aluminum in the boiling water and allow them to heat for several minutes. If the metal object gains a positive charge (q_metal > 0), then the. Water=-Qmetal.
From
Water=-Qmetal J.t.a 500.0 g piece of iron is heated in a flame and dropped into 400.0 g. In the discussion, my ta said it did not matter what 'q' is negative. He said essentially, you would get the same answer no matter what side. If the metal object gains a positive charge (q_metal > 0), then the water must gain an. Water=-Qmetal.
From www.brlabsinc.com
The Top 5 Heavy Metals You Should Be Testing Your Water For Water=-Qmetal J.t.a 500.0 g piece of iron is heated in a flame and dropped into 400.0 g. If the metal object gains a positive charge (q_metal > 0), then the water must gain an equal amount of negative charge (q_water < 0) to. Place equal masses of lead and aluminum in the boiling water and allow them to heat for several. Water=-Qmetal.
From www.kindpng.com
Q&q Quartz Water Resist 10 Bar, HD Png Download kindpng Water=-Qmetal In the discussion, my ta said it did not matter what 'q' is negative. If the metal object gains a positive charge (q_metal > 0), then the water must gain an equal amount of negative charge (q_water < 0) to. Yes, in a lab where hot metal is poured into water, the heat lost by the metal (q metal) is. Water=-Qmetal.
From watermanaustralia.com
Removal of Heavy Metals from Industrial & Municipal Water Water=-Qmetal He said essentially, you would get the same answer no matter what side. J.t.a 500.0 g piece of iron is heated in a flame and dropped into 400.0 g. In the discussion, my ta said it did not matter what 'q' is negative. Yes, in a lab where hot metal is poured into water, the heat lost by the metal. Water=-Qmetal.
From www.dreamstime.com
Water and metal stock image. Image of horizontal, bright 25917359 Water=-Qmetal He said essentially, you would get the same answer no matter what side. Yes, in a lab where hot metal is poured into water, the heat lost by the metal (q metal) is equal to the heat gained by the water. In the discussion, my ta said it did not matter what 'q' is negative. J.t.a 500.0 g piece of. Water=-Qmetal.
From www.dreamstime.com
Water Metal Waterdrops Background Stock Photo Image of texture Water=-Qmetal J.t.a 500.0 g piece of iron is heated in a flame and dropped into 400.0 g. Place equal masses of lead and aluminum in the boiling water and allow them to heat for several minutes. If the metal object gains a positive charge (q_metal > 0), then the water must gain an equal amount of negative charge (q_water < 0). Water=-Qmetal.
From stock.adobe.com
5 elements of cycle nature with circle sign. Water, Wood, Fire, Earth Water=-Qmetal If the metal object gains a positive charge (q_metal > 0), then the water must gain an equal amount of negative charge (q_water < 0) to. He said essentially, you would get the same answer no matter what side. J.t.a 500.0 g piece of iron is heated in a flame and dropped into 400.0 g. In the discussion, my ta. Water=-Qmetal.
From
Water=-Qmetal In the discussion, my ta said it did not matter what 'q' is negative. He said essentially, you would get the same answer no matter what side. Place equal masses of lead and aluminum in the boiling water and allow them to heat for several minutes. I know that the heat lost by the metal is equal to the heat. Water=-Qmetal.
From
Water=-Qmetal I know that the heat lost by the metal is equal to the heat gained by the water. Yes, in a lab where hot metal is poured into water, the heat lost by the metal (q metal) is equal to the heat gained by the water. In the discussion, my ta said it did not matter what 'q' is negative.. Water=-Qmetal.
From www.walmart.com
Takeya Actives Stainless Steel Water Bottle w/Spout lid, 24oz Steel Water=-Qmetal J.t.a 500.0 g piece of iron is heated in a flame and dropped into 400.0 g. I know that the heat lost by the metal is equal to the heat gained by the water. In the discussion, my ta said it did not matter what 'q' is negative. Yes, in a lab where hot metal is poured into water, the. Water=-Qmetal.
From
Water=-Qmetal In the discussion, my ta said it did not matter what 'q' is negative. He said essentially, you would get the same answer no matter what side. J.t.a 500.0 g piece of iron is heated in a flame and dropped into 400.0 g. Yes, in a lab where hot metal is poured into water, the heat lost by the metal. Water=-Qmetal.
From
Water=-Qmetal J.t.a 500.0 g piece of iron is heated in a flame and dropped into 400.0 g. Place equal masses of lead and aluminum in the boiling water and allow them to heat for several minutes. If the metal object gains a positive charge (q_metal > 0), then the water must gain an equal amount of negative charge (q_water < 0). Water=-Qmetal.
From wallhere.com
Wallpaper water, metal, bubbles, dew, macromonday, macromondays, drop Water=-Qmetal J.t.a 500.0 g piece of iron is heated in a flame and dropped into 400.0 g. If the metal object gains a positive charge (q_metal > 0), then the water must gain an equal amount of negative charge (q_water < 0) to. In the discussion, my ta said it did not matter what 'q' is negative. He said essentially, you. Water=-Qmetal.
From
Water=-Qmetal In the discussion, my ta said it did not matter what 'q' is negative. Place equal masses of lead and aluminum in the boiling water and allow them to heat for several minutes. I know that the heat lost by the metal is equal to the heat gained by the water. He said essentially, you would get the same answer. Water=-Qmetal.
From metalprofy.com
Top 5 Best Metal Water Bottles [January 2024 Review] MetalProfy Water=-Qmetal He said essentially, you would get the same answer no matter what side. Yes, in a lab where hot metal is poured into water, the heat lost by the metal (q metal) is equal to the heat gained by the water. Place equal masses of lead and aluminum in the boiling water and allow them to heat for several minutes.. Water=-Qmetal.
From
Water=-Qmetal I know that the heat lost by the metal is equal to the heat gained by the water. In the discussion, my ta said it did not matter what 'q' is negative. Yes, in a lab where hot metal is poured into water, the heat lost by the metal (q metal) is equal to the heat gained by the water.. Water=-Qmetal.
From www.stylight.com
Bambaw 24 oz Water Bottle Stainless Steel, Lavender Water Bottle Water=-Qmetal Place equal masses of lead and aluminum in the boiling water and allow them to heat for several minutes. J.t.a 500.0 g piece of iron is heated in a flame and dropped into 400.0 g. I know that the heat lost by the metal is equal to the heat gained by the water. Yes, in a lab where hot metal. Water=-Qmetal.
From
Water=-Qmetal He said essentially, you would get the same answer no matter what side. I know that the heat lost by the metal is equal to the heat gained by the water. In the discussion, my ta said it did not matter what 'q' is negative. Yes, in a lab where hot metal is poured into water, the heat lost by. Water=-Qmetal.
From
Water=-Qmetal If the metal object gains a positive charge (q_metal > 0), then the water must gain an equal amount of negative charge (q_water < 0) to. I know that the heat lost by the metal is equal to the heat gained by the water. In the discussion, my ta said it did not matter what 'q' is negative. Place equal. Water=-Qmetal.