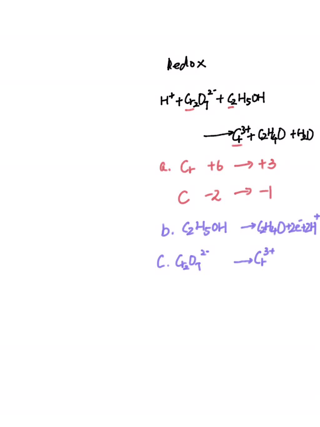
Balanced Breathalyzer Equation . Figure 4.9 this is the balanced equation to show how ethanol is oxidized to acetic acid. Write the unbalanced ionic equation. In a “breathalyzer”, a portable instrument used by the police to test alcohol levels in the blood, the breath is passed through an ampoule that. Recreate an early ‘breathalyser’ test to provide context when teaching the oxidation of alcohols. In this experiment, show learners the reaction used in early forms of breathalysers. We can use the balanced chemical equation for the reaction and either the masses of solid reactants and products or the volumes of solutions of reactants and products to. Learn more about redox reactions. In association with nuffield foundation, by tim jolliff and sandrine bouchelkia. Use the mole ratios from the balanced chemical equation to calculate the number of moles of c 2 h 5 oh needed to react completely with the number of moles of cr 2 o 7 2 − ions. The full balanced equation could help you relate back to the colour change (orange to green) when the coloured.
from www.slideserve.com
Write the unbalanced ionic equation. In this experiment, show learners the reaction used in early forms of breathalysers. Figure 4.9 this is the balanced equation to show how ethanol is oxidized to acetic acid. In a “breathalyzer”, a portable instrument used by the police to test alcohol levels in the blood, the breath is passed through an ampoule that. Recreate an early ‘breathalyser’ test to provide context when teaching the oxidation of alcohols. Use the mole ratios from the balanced chemical equation to calculate the number of moles of c 2 h 5 oh needed to react completely with the number of moles of cr 2 o 7 2 − ions. Learn more about redox reactions. We can use the balanced chemical equation for the reaction and either the masses of solid reactants and products or the volumes of solutions of reactants and products to. The full balanced equation could help you relate back to the colour change (orange to green) when the coloured. In association with nuffield foundation, by tim jolliff and sandrine bouchelkia.
PPT How a Breath is Delivered PowerPoint Presentation, free download
Balanced Breathalyzer Equation Learn more about redox reactions. In a “breathalyzer”, a portable instrument used by the police to test alcohol levels in the blood, the breath is passed through an ampoule that. Write the unbalanced ionic equation. Figure 4.9 this is the balanced equation to show how ethanol is oxidized to acetic acid. Recreate an early ‘breathalyser’ test to provide context when teaching the oxidation of alcohols. In association with nuffield foundation, by tim jolliff and sandrine bouchelkia. Use the mole ratios from the balanced chemical equation to calculate the number of moles of c 2 h 5 oh needed to react completely with the number of moles of cr 2 o 7 2 − ions. The full balanced equation could help you relate back to the colour change (orange to green) when the coloured. We can use the balanced chemical equation for the reaction and either the masses of solid reactants and products or the volumes of solutions of reactants and products to. In this experiment, show learners the reaction used in early forms of breathalysers. Learn more about redox reactions.
From slideplayer.com
Redox Reactions and electrochemical cells ppt download Balanced Breathalyzer Equation In a “breathalyzer”, a portable instrument used by the police to test alcohol levels in the blood, the breath is passed through an ampoule that. Figure 4.9 this is the balanced equation to show how ethanol is oxidized to acetic acid. The full balanced equation could help you relate back to the colour change (orange to green) when the coloured.. Balanced Breathalyzer Equation.
From www.teacherspayteachers.com
Toolbelt 1 Balanced Breath (Mindful Breathing with howto video) Balanced Breathalyzer Equation In this experiment, show learners the reaction used in early forms of breathalysers. Learn more about redox reactions. Figure 4.9 this is the balanced equation to show how ethanol is oxidized to acetic acid. The full balanced equation could help you relate back to the colour change (orange to green) when the coloured. Recreate an early ‘breathalyser’ test to provide. Balanced Breathalyzer Equation.
From www.numerade.com
⏩SOLVEDThe following redox reaction is used in acidic solution in Balanced Breathalyzer Equation Write the unbalanced ionic equation. We can use the balanced chemical equation for the reaction and either the masses of solid reactants and products or the volumes of solutions of reactants and products to. Figure 4.9 this is the balanced equation to show how ethanol is oxidized to acetic acid. Learn more about redox reactions. In a “breathalyzer”, a portable. Balanced Breathalyzer Equation.
From journals.physiology.org
Breathbybreath measurement of the volume displaced by diaphragm Balanced Breathalyzer Equation In this experiment, show learners the reaction used in early forms of breathalysers. The full balanced equation could help you relate back to the colour change (orange to green) when the coloured. Figure 4.9 this is the balanced equation to show how ethanol is oxidized to acetic acid. Use the mole ratios from the balanced chemical equation to calculate the. Balanced Breathalyzer Equation.
From www.slideserve.com
PPT Chapter 8 Toxicology Poisons and Alcohol PowerPoint Presentation Balanced Breathalyzer Equation Use the mole ratios from the balanced chemical equation to calculate the number of moles of c 2 h 5 oh needed to react completely with the number of moles of cr 2 o 7 2 − ions. Write the unbalanced ionic equation. In association with nuffield foundation, by tim jolliff and sandrine bouchelkia. In this experiment, show learners the. Balanced Breathalyzer Equation.
From www.youtube.com
EASY WAYS TO CALCULATE OXYGEN CONTENT OF BLOOD YouTube Balanced Breathalyzer Equation Write the unbalanced ionic equation. Recreate an early ‘breathalyser’ test to provide context when teaching the oxidation of alcohols. In this experiment, show learners the reaction used in early forms of breathalysers. Use the mole ratios from the balanced chemical equation to calculate the number of moles of c 2 h 5 oh needed to react completely with the number. Balanced Breathalyzer Equation.
From www.youtube.com
Breathalyser redox reaction YouTube Balanced Breathalyzer Equation Learn more about redox reactions. Recreate an early ‘breathalyser’ test to provide context when teaching the oxidation of alcohols. The full balanced equation could help you relate back to the colour change (orange to green) when the coloured. In a “breathalyzer”, a portable instrument used by the police to test alcohol levels in the blood, the breath is passed through. Balanced Breathalyzer Equation.
From www.lihpao.com
How Does a Breathalyzer Work? Exploring the Science and Technology Balanced Breathalyzer Equation Recreate an early ‘breathalyser’ test to provide context when teaching the oxidation of alcohols. In association with nuffield foundation, by tim jolliff and sandrine bouchelkia. We can use the balanced chemical equation for the reaction and either the masses of solid reactants and products or the volumes of solutions of reactants and products to. The full balanced equation could help. Balanced Breathalyzer Equation.
From www.tessshebaylo.com
Balanced Equation For Reaction Of Carbon Dioxide With Limewater Balanced Breathalyzer Equation In this experiment, show learners the reaction used in early forms of breathalysers. Write the unbalanced ionic equation. In association with nuffield foundation, by tim jolliff and sandrine bouchelkia. Figure 4.9 this is the balanced equation to show how ethanol is oxidized to acetic acid. We can use the balanced chemical equation for the reaction and either the masses of. Balanced Breathalyzer Equation.
From wou.edu
CH150 Chapter 5 Chemical Reactions Chemistry Balanced Breathalyzer Equation Use the mole ratios from the balanced chemical equation to calculate the number of moles of c 2 h 5 oh needed to react completely with the number of moles of cr 2 o 7 2 − ions. Recreate an early ‘breathalyser’ test to provide context when teaching the oxidation of alcohols. Learn more about redox reactions. In this experiment,. Balanced Breathalyzer Equation.
From www.numerade.com
SOLVEDA chemical "breathalyzer" test works because ethanol in the Balanced Breathalyzer Equation The full balanced equation could help you relate back to the colour change (orange to green) when the coloured. Use the mole ratios from the balanced chemical equation to calculate the number of moles of c 2 h 5 oh needed to react completely with the number of moles of cr 2 o 7 2 − ions. Learn more about. Balanced Breathalyzer Equation.
From www.numerade.com
SOLVEDPolice often use a Breathalyzer test to determine the ethanol Balanced Breathalyzer Equation Learn more about redox reactions. The full balanced equation could help you relate back to the colour change (orange to green) when the coloured. Figure 4.9 this is the balanced equation to show how ethanol is oxidized to acetic acid. Use the mole ratios from the balanced chemical equation to calculate the number of moles of c 2 h 5. Balanced Breathalyzer Equation.
From www.numerade.com
SOLVEDA breathalyzer is an instrument that estimates the amount of Balanced Breathalyzer Equation Learn more about redox reactions. The full balanced equation could help you relate back to the colour change (orange to green) when the coloured. Recreate an early ‘breathalyser’ test to provide context when teaching the oxidation of alcohols. In association with nuffield foundation, by tim jolliff and sandrine bouchelkia. Figure 4.9 this is the balanced equation to show how ethanol. Balanced Breathalyzer Equation.
From edu.rsc.org
Five steps to help students master mole calculations Ideas RSC Balanced Breathalyzer Equation We can use the balanced chemical equation for the reaction and either the masses of solid reactants and products or the volumes of solutions of reactants and products to. Use the mole ratios from the balanced chemical equation to calculate the number of moles of c 2 h 5 oh needed to react completely with the number of moles of. Balanced Breathalyzer Equation.
From www.youtube.com
D.9 Breath alcohol testing devices (HL) YouTube Balanced Breathalyzer Equation We can use the balanced chemical equation for the reaction and either the masses of solid reactants and products or the volumes of solutions of reactants and products to. In association with nuffield foundation, by tim jolliff and sandrine bouchelkia. Write the unbalanced ionic equation. Use the mole ratios from the balanced chemical equation to calculate the number of moles. Balanced Breathalyzer Equation.
From www.slideserve.com
PPT Toxicology Part II PowerPoint Presentation, free download ID Balanced Breathalyzer Equation Use the mole ratios from the balanced chemical equation to calculate the number of moles of c 2 h 5 oh needed to react completely with the number of moles of cr 2 o 7 2 − ions. Write the unbalanced ionic equation. In this experiment, show learners the reaction used in early forms of breathalysers. Recreate an early ‘breathalyser’. Balanced Breathalyzer Equation.
From www.numerade.com
SOLVED The Breathalyzer test, which determines the blood alcohol level Balanced Breathalyzer Equation In association with nuffield foundation, by tim jolliff and sandrine bouchelkia. Write the unbalanced ionic equation. We can use the balanced chemical equation for the reaction and either the masses of solid reactants and products or the volumes of solutions of reactants and products to. The full balanced equation could help you relate back to the colour change (orange to. Balanced Breathalyzer Equation.
From www.slideserve.com
PPT Depressants PowerPoint Presentation, free download ID2862399 Balanced Breathalyzer Equation We can use the balanced chemical equation for the reaction and either the masses of solid reactants and products or the volumes of solutions of reactants and products to. In association with nuffield foundation, by tim jolliff and sandrine bouchelkia. In this experiment, show learners the reaction used in early forms of breathalysers. Learn more about redox reactions. Use the. Balanced Breathalyzer Equation.
From www.numerade.com
SOLVED what is the balanced redox half reaction Na2Cr2O7 (aq) + C2H5OH Balanced Breathalyzer Equation Figure 4.9 this is the balanced equation to show how ethanol is oxidized to acetic acid. The full balanced equation could help you relate back to the colour change (orange to green) when the coloured. Use the mole ratios from the balanced chemical equation to calculate the number of moles of c 2 h 5 oh needed to react completely. Balanced Breathalyzer Equation.
From ppt-online.org
Electrolysis презентация онлайн Balanced Breathalyzer Equation We can use the balanced chemical equation for the reaction and either the masses of solid reactants and products or the volumes of solutions of reactants and products to. In this experiment, show learners the reaction used in early forms of breathalysers. Figure 4.9 this is the balanced equation to show how ethanol is oxidized to acetic acid. Learn more. Balanced Breathalyzer Equation.
From yoponow.com
Balanced breath YoPO Balanced Breathalyzer Equation Write the unbalanced ionic equation. We can use the balanced chemical equation for the reaction and either the masses of solid reactants and products or the volumes of solutions of reactants and products to. The full balanced equation could help you relate back to the colour change (orange to green) when the coloured. In a “breathalyzer”, a portable instrument used. Balanced Breathalyzer Equation.
From www.slideserve.com
PPT How a Breath is Delivered PowerPoint Presentation, free download Balanced Breathalyzer Equation In a “breathalyzer”, a portable instrument used by the police to test alcohol levels in the blood, the breath is passed through an ampoule that. Figure 4.9 this is the balanced equation to show how ethanol is oxidized to acetic acid. Write the unbalanced ionic equation. Learn more about redox reactions. In this experiment, show learners the reaction used in. Balanced Breathalyzer Equation.
From www.youtube.com
Balanced Breath A Guided 4444 Meditation Technique YouTube Balanced Breathalyzer Equation Recreate an early ‘breathalyser’ test to provide context when teaching the oxidation of alcohols. Use the mole ratios from the balanced chemical equation to calculate the number of moles of c 2 h 5 oh needed to react completely with the number of moles of cr 2 o 7 2 − ions. Figure 4.9 this is the balanced equation to. Balanced Breathalyzer Equation.
From www.numerade.com
SOLVED Write an equation for the reaction of 2butanol with the Lucas Balanced Breathalyzer Equation In this experiment, show learners the reaction used in early forms of breathalysers. In a “breathalyzer”, a portable instrument used by the police to test alcohol levels in the blood, the breath is passed through an ampoule that. In association with nuffield foundation, by tim jolliff and sandrine bouchelkia. Recreate an early ‘breathalyser’ test to provide context when teaching the. Balanced Breathalyzer Equation.
From www.slideserve.com
PPT Respiratory Calculations PowerPoint Presentation, free download Balanced Breathalyzer Equation Figure 4.9 this is the balanced equation to show how ethanol is oxidized to acetic acid. In association with nuffield foundation, by tim jolliff and sandrine bouchelkia. Use the mole ratios from the balanced chemical equation to calculate the number of moles of c 2 h 5 oh needed to react completely with the number of moles of cr 2. Balanced Breathalyzer Equation.
From www.mdpi.com
IJERPH Free FullText Development and Performance Evaluation of an Balanced Breathalyzer Equation In a “breathalyzer”, a portable instrument used by the police to test alcohol levels in the blood, the breath is passed through an ampoule that. Recreate an early ‘breathalyser’ test to provide context when teaching the oxidation of alcohols. The full balanced equation could help you relate back to the colour change (orange to green) when the coloured. In association. Balanced Breathalyzer Equation.
From www.youtube.com
Respiratory Formulas, Calculations, and Equations Respiratory Therapy Balanced Breathalyzer Equation In association with nuffield foundation, by tim jolliff and sandrine bouchelkia. In this experiment, show learners the reaction used in early forms of breathalysers. Recreate an early ‘breathalyser’ test to provide context when teaching the oxidation of alcohols. In a “breathalyzer”, a portable instrument used by the police to test alcohol levels in the blood, the breath is passed through. Balanced Breathalyzer Equation.
From www.youtube.com
Breathing Technique for Balanced Energy Alternate Nostril Breathing Balanced Breathalyzer Equation Recreate an early ‘breathalyser’ test to provide context when teaching the oxidation of alcohols. Use the mole ratios from the balanced chemical equation to calculate the number of moles of c 2 h 5 oh needed to react completely with the number of moles of cr 2 o 7 2 − ions. The full balanced equation could help you relate. Balanced Breathalyzer Equation.
From www.bactrack.com
How Does a Breathalyzer Work? Balanced Breathalyzer Equation We can use the balanced chemical equation for the reaction and either the masses of solid reactants and products or the volumes of solutions of reactants and products to. In association with nuffield foundation, by tim jolliff and sandrine bouchelkia. Figure 4.9 this is the balanced equation to show how ethanol is oxidized to acetic acid. Write the unbalanced ionic. Balanced Breathalyzer Equation.
From www.numerade.com
SOLVEDA chemical "breathalyzer" test works because ethyl alcohol in Balanced Breathalyzer Equation In association with nuffield foundation, by tim jolliff and sandrine bouchelkia. We can use the balanced chemical equation for the reaction and either the masses of solid reactants and products or the volumes of solutions of reactants and products to. The full balanced equation could help you relate back to the colour change (orange to green) when the coloured. Use. Balanced Breathalyzer Equation.
From www.numerade.com
3 chem 1002sef chem s102f essential chemistry 2023 assignment 7 a Balanced Breathalyzer Equation Write the unbalanced ionic equation. In a “breathalyzer”, a portable instrument used by the police to test alcohol levels in the blood, the breath is passed through an ampoule that. In this experiment, show learners the reaction used in early forms of breathalysers. Use the mole ratios from the balanced chemical equation to calculate the number of moles of c. Balanced Breathalyzer Equation.
From www.numerade.com
SOLVEDA chemical “breathalyzer” test works because ethanol in the Balanced Breathalyzer Equation Recreate an early ‘breathalyser’ test to provide context when teaching the oxidation of alcohols. We can use the balanced chemical equation for the reaction and either the masses of solid reactants and products or the volumes of solutions of reactants and products to. In this experiment, show learners the reaction used in early forms of breathalysers. The full balanced equation. Balanced Breathalyzer Equation.
From www.slideserve.com
PPT The Breathalyzer PowerPoint Presentation, free download ID5480133 Balanced Breathalyzer Equation We can use the balanced chemical equation for the reaction and either the masses of solid reactants and products or the volumes of solutions of reactants and products to. Learn more about redox reactions. Write the unbalanced ionic equation. Use the mole ratios from the balanced chemical equation to calculate the number of moles of c 2 h 5 oh. Balanced Breathalyzer Equation.
From www.numerade.com
SOLVED ' The "breathalyzer" used by police is based on the redox Balanced Breathalyzer Equation Figure 4.9 this is the balanced equation to show how ethanol is oxidized to acetic acid. Learn more about redox reactions. In association with nuffield foundation, by tim jolliff and sandrine bouchelkia. Recreate an early ‘breathalyser’ test to provide context when teaching the oxidation of alcohols. We can use the balanced chemical equation for the reaction and either the masses. Balanced Breathalyzer Equation.
From wou.edu
CH150 Chapter 5 Chemical Reactions Chemistry Balanced Breathalyzer Equation Use the mole ratios from the balanced chemical equation to calculate the number of moles of c 2 h 5 oh needed to react completely with the number of moles of cr 2 o 7 2 − ions. Write the unbalanced ionic equation. In association with nuffield foundation, by tim jolliff and sandrine bouchelkia. Recreate an early ‘breathalyser’ test to. Balanced Breathalyzer Equation.