What Is The Buoyant Force On A Helium Balloon In Air . Ρ — density of the liquid the object is immersed in, measured in kg/m³; In this case, the helium balloon that you hold by a string is floating in a pool of air (when you stand underwater at the. You can calculate the buoyant force with the following buoyancy formula: The buoyant force will be the weight of air that it displaces because that's archimedes principle,. Using changing air density from the. This physics video tutorial explains how to solve the helium balloon problem. We're going to calculate the buoyant force on this two liter helium balloon. Helium balloons are pulled by gravity, as are all objects with mass. The reason they don’t fall is that there is another force. F = (ρair −ρhelium)gv f = (ρ a i r − ρ h e l i u m) g v. Helium balloons work by the same law of buoyancy. I know that the buoyant force on a balloon is: B = ρ × v × g. \ [f_ {b} = w_ {fl},\]. The buoyant force on an object equals the weight of the fluid it displaces.
from www.slideshare.net
We're going to calculate the buoyant force on this two liter helium balloon. \ [f_ {b} = w_ {fl},\]. The buoyant force will be the weight of air that it displaces because that's archimedes principle,. Ρ — density of the liquid the object is immersed in, measured in kg/m³; This physics video tutorial explains how to solve the helium balloon problem. Helium balloons are pulled by gravity, as are all objects with mass. Helium balloons work by the same law of buoyancy. I know that the buoyant force on a balloon is: The buoyant force on an object equals the weight of the fluid it displaces. In equation form, archimedes’ principle is.
Force and Pressure
What Is The Buoyant Force On A Helium Balloon In Air Helium balloons work by the same law of buoyancy. Using changing air density from the. The buoyant force will be the weight of air that it displaces because that's archimedes principle,. The buoyant force on an object equals the weight of the fluid it displaces. This physics video tutorial explains how to solve the helium balloon problem. Helium balloons work by the same law of buoyancy. You can calculate the buoyant force with the following buoyancy formula: Ρ — density of the liquid the object is immersed in, measured in kg/m³; \ [f_ {b} = w_ {fl},\]. B = ρ × v × g. In this case, the helium balloon that you hold by a string is floating in a pool of air (when you stand underwater at the. F = (ρair −ρhelium)gv f = (ρ a i r − ρ h e l i u m) g v. The reason they don’t fall is that there is another force. We're going to calculate the buoyant force on this two liter helium balloon. In summary, to find the magnitude of the buoyant force acting on the balloon when it is filled with helium at 0 degrees c, 1 atm. I know that the buoyant force on a balloon is:
From www.youtube.com
HewittDrewit! PHYSICS 68. AirBuoyancy Problems YouTube What Is The Buoyant Force On A Helium Balloon In Air This physics video tutorial explains how to solve the helium balloon problem. You can calculate the buoyant force with the following buoyancy formula: I know that the buoyant force on a balloon is: The buoyant force on an object equals the weight of the fluid it displaces. F = (ρair −ρhelium)gv f = (ρ a i r − ρ h. What Is The Buoyant Force On A Helium Balloon In Air.
From www.chegg.com
Solved The buoyancy force on a helium balloon floating in What Is The Buoyant Force On A Helium Balloon In Air Ρ — density of the liquid the object is immersed in, measured in kg/m³; I know that the buoyant force on a balloon is: Using changing air density from the. Helium balloons work by the same law of buoyancy. We're going to calculate the buoyant force on this two liter helium balloon. In summary, to find the magnitude of the. What Is The Buoyant Force On A Helium Balloon In Air.
From www.youtube.com
Buoyancy and the Weather Balloon Problem YouTube What Is The Buoyant Force On A Helium Balloon In Air We're going to calculate the buoyant force on this two liter helium balloon. In this case, the helium balloon that you hold by a string is floating in a pool of air (when you stand underwater at the. The buoyant force on an object equals the weight of the fluid it displaces. Ρ — density of the liquid the object. What Is The Buoyant Force On A Helium Balloon In Air.
From www.tec-science.com
How does a hot air balloon work Buoyancy in gases tecscience What Is The Buoyant Force On A Helium Balloon In Air Ρ — density of the liquid the object is immersed in, measured in kg/m³; In summary, to find the magnitude of the buoyant force acting on the balloon when it is filled with helium at 0 degrees c, 1 atm. Helium balloons are pulled by gravity, as are all objects with mass. Using changing air density from the. We're going. What Is The Buoyant Force On A Helium Balloon In Air.
From www.numerade.com
SOLVED Balloons are often filled with helium gas because it weighs What Is The Buoyant Force On A Helium Balloon In Air The buoyant force will be the weight of air that it displaces because that's archimedes principle,. Helium balloons work by the same law of buoyancy. In this case, the helium balloon that you hold by a string is floating in a pool of air (when you stand underwater at the. The buoyant force on an object equals the weight of. What Is The Buoyant Force On A Helium Balloon In Air.
From www.slideshare.net
14 fluids What Is The Buoyant Force On A Helium Balloon In Air You can calculate the buoyant force with the following buoyancy formula: B = ρ × v × g. The buoyant force on an object equals the weight of the fluid it displaces. In summary, to find the magnitude of the buoyant force acting on the balloon when it is filled with helium at 0 degrees c, 1 atm. I know. What Is The Buoyant Force On A Helium Balloon In Air.
From owlcation.com
Archimedes' Principle, Buoyancy Experiments and Flotation Force Owlcation What Is The Buoyant Force On A Helium Balloon In Air In summary, to find the magnitude of the buoyant force acting on the balloon when it is filled with helium at 0 degrees c, 1 atm. The buoyant force on an object equals the weight of the fluid it displaces. I know that the buoyant force on a balloon is: We're going to calculate the buoyant force on this two. What Is The Buoyant Force On A Helium Balloon In Air.
From www.youtube.com
Buoyant Forces (Interactive) YouTube What Is The Buoyant Force On A Helium Balloon In Air The buoyant force will be the weight of air that it displaces because that's archimedes principle,. The reason they don’t fall is that there is another force. F = (ρair −ρhelium)gv f = (ρ a i r − ρ h e l i u m) g v. In equation form, archimedes’ principle is. In summary, to find the magnitude of. What Is The Buoyant Force On A Helium Balloon In Air.
From www.chegg.com
Solved PART 4 HELIUM BALLOONS What is the buoyant force What Is The Buoyant Force On A Helium Balloon In Air In summary, to find the magnitude of the buoyant force acting on the balloon when it is filled with helium at 0 degrees c, 1 atm. In this case, the helium balloon that you hold by a string is floating in a pool of air (when you stand underwater at the. Helium balloons are pulled by gravity, as are all. What Is The Buoyant Force On A Helium Balloon In Air.
From www.numerade.com
SOLVED A balloon uses Helium as a gas lighter than air to create What Is The Buoyant Force On A Helium Balloon In Air The buoyant force on an object equals the weight of the fluid it displaces. In summary, to find the magnitude of the buoyant force acting on the balloon when it is filled with helium at 0 degrees c, 1 atm. You can calculate the buoyant force with the following buoyancy formula: I know that the buoyant force on a balloon. What Is The Buoyant Force On A Helium Balloon In Air.
From slidetodoc.com
The Physics of Balloons and Submarines Helium H What Is The Buoyant Force On A Helium Balloon In Air We're going to calculate the buoyant force on this two liter helium balloon. Using changing air density from the. In this case, the helium balloon that you hold by a string is floating in a pool of air (when you stand underwater at the. The buoyant force on an object equals the weight of the fluid it displaces. Helium balloons. What Is The Buoyant Force On A Helium Balloon In Air.
From www.tec-science.com
How does a hot air balloon work Buoyancy in gases tecscience What Is The Buoyant Force On A Helium Balloon In Air F = (ρair −ρhelium)gv f = (ρ a i r − ρ h e l i u m) g v. The buoyant force on an object equals the weight of the fluid it displaces. In equation form, archimedes’ principle is. In summary, to find the magnitude of the buoyant force acting on the balloon when it is filled with helium. What Is The Buoyant Force On A Helium Balloon In Air.
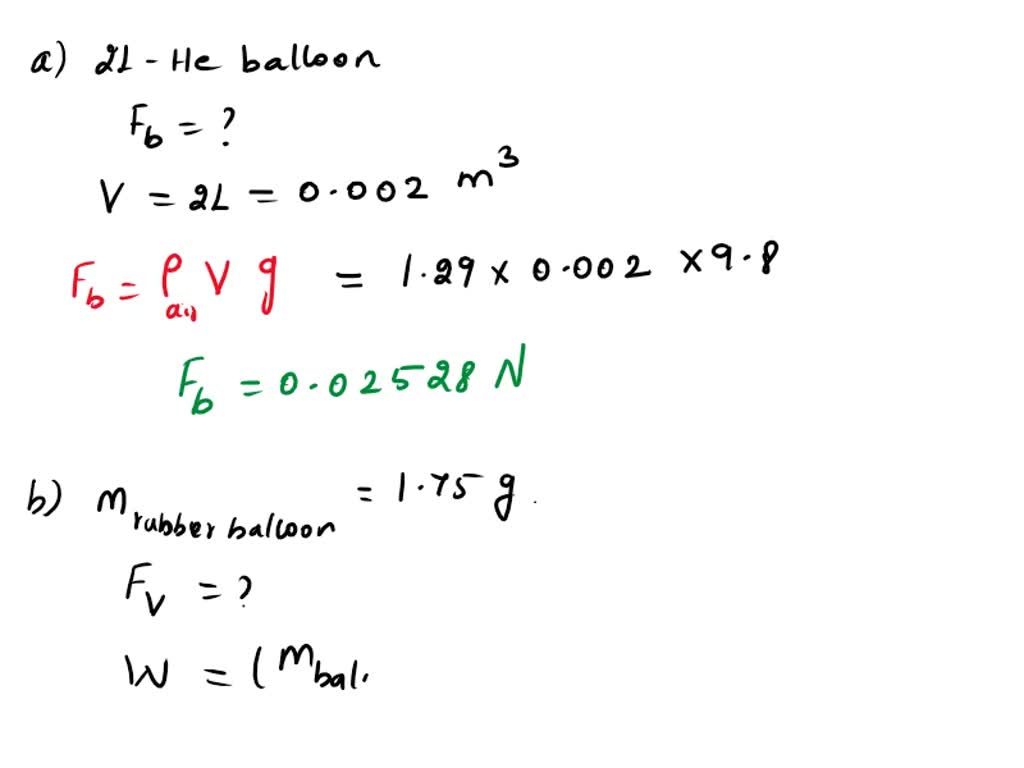
From www.numerade.com
SOLVED (a) Calculate the buoyant force on a 2.00L helium balloon. (b What Is The Buoyant Force On A Helium Balloon In Air The buoyant force will be the weight of air that it displaces because that's archimedes principle,. This physics video tutorial explains how to solve the helium balloon problem. \ [f_ {b} = w_ {fl},\]. B = ρ × v × g. In this case, the helium balloon that you hold by a string is floating in a pool of air. What Is The Buoyant Force On A Helium Balloon In Air.
From slideplayer.com
Fluids. ppt download What Is The Buoyant Force On A Helium Balloon In Air Helium balloons work by the same law of buoyancy. In this case, the helium balloon that you hold by a string is floating in a pool of air (when you stand underwater at the. The buoyant force on an object equals the weight of the fluid it displaces. Helium balloons are pulled by gravity, as are all objects with mass.. What Is The Buoyant Force On A Helium Balloon In Air.
From www.slideserve.com
PPT 107 Buoyancy and Archimedes’ Principle PowerPoint Presentation What Is The Buoyant Force On A Helium Balloon In Air We're going to calculate the buoyant force on this two liter helium balloon. I know that the buoyant force on a balloon is: The buoyant force on an object equals the weight of the fluid it displaces. F = (ρair −ρhelium)gv f = (ρ a i r − ρ h e l i u m) g v. In summary, to. What Is The Buoyant Force On A Helium Balloon In Air.
From ucscphysicsdemo.sites.ucsc.edu
Helium Balloon Falls in a Vacuum UCSC Physics Demonstration Room What Is The Buoyant Force On A Helium Balloon In Air The buoyant force on an object equals the weight of the fluid it displaces. Helium balloons work by the same law of buoyancy. In equation form, archimedes’ principle is. Helium balloons are pulled by gravity, as are all objects with mass. I know that the buoyant force on a balloon is: The buoyant force will be the weight of air. What Is The Buoyant Force On A Helium Balloon In Air.
From www.youtube.com
Buoyant force on a hot air balloon problem find the volume of hot air What Is The Buoyant Force On A Helium Balloon In Air The buoyant force on an object equals the weight of the fluid it displaces. In equation form, archimedes’ principle is. The buoyant force will be the weight of air that it displaces because that's archimedes principle,. \ [f_ {b} = w_ {fl},\]. I know that the buoyant force on a balloon is: Ρ — density of the liquid the object. What Is The Buoyant Force On A Helium Balloon In Air.
From www.numerade.com
SOLVED (a) Calculate the buoyant force on a 2.00L helium balloon. (b What Is The Buoyant Force On A Helium Balloon In Air I know that the buoyant force on a balloon is: B = ρ × v × g. In this case, the helium balloon that you hold by a string is floating in a pool of air (when you stand underwater at the. Using changing air density from the. The reason they don’t fall is that there is another force. Helium. What Is The Buoyant Force On A Helium Balloon In Air.
From www.sciencefacts.net
Buoyancy and Buoyant Force Definition, Examples, and Formula What Is The Buoyant Force On A Helium Balloon In Air Using changing air density from the. The buoyant force will be the weight of air that it displaces because that's archimedes principle,. In this case, the helium balloon that you hold by a string is floating in a pool of air (when you stand underwater at the. In summary, to find the magnitude of the buoyant force acting on the. What Is The Buoyant Force On A Helium Balloon In Air.
From www.numerade.com
SOLVED The buoyant force exerted on a big balloon filled with helium What Is The Buoyant Force On A Helium Balloon In Air We're going to calculate the buoyant force on this two liter helium balloon. You can calculate the buoyant force with the following buoyancy formula: I know that the buoyant force on a balloon is: Ρ — density of the liquid the object is immersed in, measured in kg/m³; Helium balloons work by the same law of buoyancy. The buoyant force. What Is The Buoyant Force On A Helium Balloon In Air.
From www.youtube.com
How To Calculate The Buoyant Force & Load Mass of a Helium Balloon What Is The Buoyant Force On A Helium Balloon In Air Using changing air density from the. Helium balloons are pulled by gravity, as are all objects with mass. Ρ — density of the liquid the object is immersed in, measured in kg/m³; \ [f_ {b} = w_ {fl},\]. I know that the buoyant force on a balloon is: We're going to calculate the buoyant force on this two liter helium. What Is The Buoyant Force On A Helium Balloon In Air.
From www.scribd.com
Helium, H and HotAir Balloons and Submarines Have Mass. Why Don't They What Is The Buoyant Force On A Helium Balloon In Air Helium balloons are pulled by gravity, as are all objects with mass. F = (ρair −ρhelium)gv f = (ρ a i r − ρ h e l i u m) g v. The buoyant force will be the weight of air that it displaces because that's archimedes principle,. In summary, to find the magnitude of the buoyant force acting on. What Is The Buoyant Force On A Helium Balloon In Air.
From www.slideserve.com
PPT Archimedes Principle & “Bath Legend” PowerPoint Presentation ID What Is The Buoyant Force On A Helium Balloon In Air B = ρ × v × g. Using changing air density from the. In summary, to find the magnitude of the buoyant force acting on the balloon when it is filled with helium at 0 degrees c, 1 atm. You can calculate the buoyant force with the following buoyancy formula: \ [f_ {b} = w_ {fl},\]. Helium balloons work by. What Is The Buoyant Force On A Helium Balloon In Air.
From www.slideshare.net
Force and Pressure What Is The Buoyant Force On A Helium Balloon In Air F = (ρair −ρhelium)gv f = (ρ a i r − ρ h e l i u m) g v. \ [f_ {b} = w_ {fl},\]. The buoyant force will be the weight of air that it displaces because that's archimedes principle,. This physics video tutorial explains how to solve the helium balloon problem. The buoyant force on an object. What Is The Buoyant Force On A Helium Balloon In Air.
From slideplayer.com
Fluids. ppt download What Is The Buoyant Force On A Helium Balloon In Air In equation form, archimedes’ principle is. You can calculate the buoyant force with the following buoyancy formula: This physics video tutorial explains how to solve the helium balloon problem. Helium balloons are pulled by gravity, as are all objects with mass. Using changing air density from the. B = ρ × v × g. Ρ — density of the liquid. What Is The Buoyant Force On A Helium Balloon In Air.
From www.sciencefacts.net
Buoyancy and Buoyant Force Definition, Examples, and Formula What Is The Buoyant Force On A Helium Balloon In Air In equation form, archimedes’ principle is. We're going to calculate the buoyant force on this two liter helium balloon. Using changing air density from the. I know that the buoyant force on a balloon is: Helium balloons are pulled by gravity, as are all objects with mass. You can calculate the buoyant force with the following buoyancy formula: B =. What Is The Buoyant Force On A Helium Balloon In Air.
From www.toppr.com
A large weather balloon whose mass is 226 kg is filled with helium gas What Is The Buoyant Force On A Helium Balloon In Air We're going to calculate the buoyant force on this two liter helium balloon. In equation form, archimedes’ principle is. In this case, the helium balloon that you hold by a string is floating in a pool of air (when you stand underwater at the. Ρ — density of the liquid the object is immersed in, measured in kg/m³; Helium balloons. What Is The Buoyant Force On A Helium Balloon In Air.
From www.numerade.com
(II) A hotair balloon achieves its buoyant lift by heating the air What Is The Buoyant Force On A Helium Balloon In Air The buoyant force will be the weight of air that it displaces because that's archimedes principle,. B = ρ × v × g. Helium balloons work by the same law of buoyancy. Using changing air density from the. Ρ — density of the liquid the object is immersed in, measured in kg/m³; The reason they don’t fall is that there. What Is The Buoyant Force On A Helium Balloon In Air.
From owlcation.com
Archimedes' Principle and Understanding Buoyant Force Owlcation What Is The Buoyant Force On A Helium Balloon In Air Helium balloons are pulled by gravity, as are all objects with mass. I know that the buoyant force on a balloon is: In this case, the helium balloon that you hold by a string is floating in a pool of air (when you stand underwater at the. Helium balloons work by the same law of buoyancy. The buoyant force will. What Is The Buoyant Force On A Helium Balloon In Air.
From owlcation.com
Archimedes' Principle, Buoyancy Experiments and Flotation Force Owlcation What Is The Buoyant Force On A Helium Balloon In Air F = (ρair −ρhelium)gv f = (ρ a i r − ρ h e l i u m) g v. B = ρ × v × g. We're going to calculate the buoyant force on this two liter helium balloon. This physics video tutorial explains how to solve the helium balloon problem. Helium balloons work by the same law of. What Is The Buoyant Force On A Helium Balloon In Air.
From www.slideserve.com
PPT Sect. 107 Buoyancy/Archimedes Principle PowerPoint Presentation What Is The Buoyant Force On A Helium Balloon In Air B = ρ × v × g. F = (ρair −ρhelium)gv f = (ρ a i r − ρ h e l i u m) g v. This physics video tutorial explains how to solve the helium balloon problem. \ [f_ {b} = w_ {fl},\]. In summary, to find the magnitude of the buoyant force acting on the balloon when. What Is The Buoyant Force On A Helium Balloon In Air.
From slideplayer.com
Chapter 2 Forces in Fluids. ppt download What Is The Buoyant Force On A Helium Balloon In Air In summary, to find the magnitude of the buoyant force acting on the balloon when it is filled with helium at 0 degrees c, 1 atm. The buoyant force will be the weight of air that it displaces because that's archimedes principle,. We're going to calculate the buoyant force on this two liter helium balloon. You can calculate the buoyant. What Is The Buoyant Force On A Helium Balloon In Air.
From www.alamy.com
Buoyant Force. scientific experiment with balloons. The forces at work What Is The Buoyant Force On A Helium Balloon In Air The buoyant force on an object equals the weight of the fluid it displaces. Helium balloons are pulled by gravity, as are all objects with mass. In this case, the helium balloon that you hold by a string is floating in a pool of air (when you stand underwater at the. The reason they don’t fall is that there is. What Is The Buoyant Force On A Helium Balloon In Air.
From www.bartleby.com
Answered 3.34 Consider a helium balloon attached… bartleby What Is The Buoyant Force On A Helium Balloon In Air Helium balloons work by the same law of buoyancy. The buoyant force will be the weight of air that it displaces because that's archimedes principle,. F = (ρair −ρhelium)gv f = (ρ a i r − ρ h e l i u m) g v. Ρ — density of the liquid the object is immersed in, measured in kg/m³; This. What Is The Buoyant Force On A Helium Balloon In Air.
From www.safari-center.com
Buoyancy theory applied in hotair balloon was introduced by Archimedes What Is The Buoyant Force On A Helium Balloon In Air Helium balloons are pulled by gravity, as are all objects with mass. B = ρ × v × g. In summary, to find the magnitude of the buoyant force acting on the balloon when it is filled with helium at 0 degrees c, 1 atm. You can calculate the buoyant force with the following buoyancy formula: This physics video tutorial. What Is The Buoyant Force On A Helium Balloon In Air.