How Much Current Does The Heater Draw . To calculate amps 3 phase heater draw. Here’s how many amps does it draw: Current (amps) = power (watts) / voltage (volts) = 1500 watts / 120 volts = 12.5 amps For example, if you divide 1250 watts by 110 volts, the amps will be 11.36. With this knowledge, you will avoid. Thus, the current draw of a 1500 space heater when plugged in a 120 volt outlet is: You can use this formula. This amp is the current the hair dryer draws when using it. Running time is a lot lower with the heater barely drawing over 2 amps. That can be anywhere up to 8 or 10 amps depending on the size of the heater. P = i x v x pf x 1.732 / 1000. How to calculate how many amps can a 3 phase heater draw? How much electricity does a space heater use? Assuming the heating element is a pure resistor, the power drawn will be defined by the voltage of the source (220v in your case),. Again, you don’t have to.
from www.toppr.com
With this knowledge, you will avoid. P = i x v x pf x 1.732 / 1000. Here’s how many amps does it draw: How much electricity does a space heater use? Current (amps) = power (watts) / voltage (volts) = 1500 watts / 120 volts = 12.5 amps Assuming the heating element is a pure resistor, the power drawn will be defined by the voltage of the source (220v in your case),. (watts = amps x voltage.) Thus, the current draw of a 1500 space heater when plugged in a 120 volt outlet is: That can be anywhere up to 8 or 10 amps depending on the size of the heater. To calculate amps 3 phase heater draw.
Household Wiring and Electrical Safety(46)An electric heater is rated 1.50 times 10^3 ,W, a
How Much Current Does The Heater Draw (watts = amps x voltage.) With this knowledge, you will avoid. How to calculate how many amps can a 3 phase heater draw? For example, if you divide 1250 watts by 110 volts, the amps will be 11.36. Again, you don’t have to. Thus, the current draw of a 1500 space heater when plugged in a 120 volt outlet is: Assuming the heating element is a pure resistor, the power drawn will be defined by the voltage of the source (220v in your case),. That can be anywhere up to 8 or 10 amps depending on the size of the heater. This amp is the current the hair dryer draws when using it. Current (amps) = power (watts) / voltage (volts) = 1500 watts / 120 volts = 12.5 amps You can use this formula. P = i x v x pf x 1.732 / 1000. To calculate amps 3 phase heater draw. Here’s how many amps does it draw: (watts = amps x voltage.) Running time is a lot lower with the heater barely drawing over 2 amps.
From www.numerade.com
SOLVED A 1.5kW electric heater is connected to a 120V source. (a) How much current does the How Much Current Does The Heater Draw Again, you don’t have to. Here’s how many amps does it draw: That can be anywhere up to 8 or 10 amps depending on the size of the heater. For example, if you divide 1250 watts by 110 volts, the amps will be 11.36. Assuming the heating element is a pure resistor, the power drawn will be defined by the. How Much Current Does The Heater Draw.
From brainly.com
how much current will an electric heater coil draw from a 220v source if the resistance of How Much Current Does The Heater Draw With this knowledge, you will avoid. How much electricity does a space heater use? Here’s how many amps does it draw: (watts = amps x voltage.) You can use this formula. Again, you don’t have to. This amp is the current the hair dryer draws when using it. Running time is a lot lower with the heater barely drawing over. How Much Current Does The Heater Draw.
From www.numerade.com
SOLVED 2.A 1.9 kW electric heater is connected to a 156 V source How much current (in ampere How Much Current Does The Heater Draw Again, you don’t have to. Assuming the heating element is a pure resistor, the power drawn will be defined by the voltage of the source (220v in your case),. Current (amps) = power (watts) / voltage (volts) = 1500 watts / 120 volts = 12.5 amps For example, if you divide 1250 watts by 110 volts, the amps will be. How Much Current Does The Heater Draw.
From www.youtube.com
Heater Current Draw YouTube How Much Current Does The Heater Draw Assuming the heating element is a pure resistor, the power drawn will be defined by the voltage of the source (220v in your case),. Again, you don’t have to. Here’s how many amps does it draw: (watts = amps x voltage.) This amp is the current the hair dryer draws when using it. To calculate amps 3 phase heater draw.. How Much Current Does The Heater Draw.
From www.numerade.com
SOLVEDA resistive heater is labeled 1600 W/120 V. How much current does the heater draw from a How Much Current Does The Heater Draw That can be anywhere up to 8 or 10 amps depending on the size of the heater. Here’s how many amps does it draw: Current (amps) = power (watts) / voltage (volts) = 1500 watts / 120 volts = 12.5 amps With this knowledge, you will avoid. How much electricity does a space heater use? Running time is a lot. How Much Current Does The Heater Draw.
From howtodrawforkids.com
How to Draw a Heater Easy Drawing Tutorial For Kids How Much Current Does The Heater Draw How much electricity does a space heater use? Here’s how many amps does it draw: With this knowledge, you will avoid. To calculate amps 3 phase heater draw. Again, you don’t have to. Assuming the heating element is a pure resistor, the power drawn will be defined by the voltage of the source (220v in your case),. That can be. How Much Current Does The Heater Draw.
From www.numerade.com
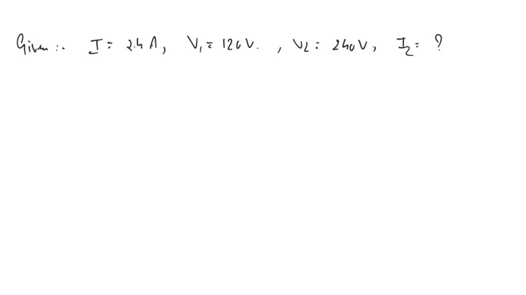
SOLVED An electric room heater draw a current of 2.4A from the 120V supply line. What current How Much Current Does The Heater Draw That can be anywhere up to 8 or 10 amps depending on the size of the heater. (watts = amps x voltage.) P = i x v x pf x 1.732 / 1000. How much electricity does a space heater use? To calculate amps 3 phase heater draw. You can use this formula. Running time is a lot lower with. How Much Current Does The Heater Draw.
From brainly.ph
A water heater is labeled 1700w/ 220v. How much current does the heater draw from a 220v outlet How Much Current Does The Heater Draw Assuming the heating element is a pure resistor, the power drawn will be defined by the voltage of the source (220v in your case),. How to calculate how many amps can a 3 phase heater draw? Current (amps) = power (watts) / voltage (volts) = 1500 watts / 120 volts = 12.5 amps Thus, the current draw of a 1500. How Much Current Does The Heater Draw.
From how-big-is-an-a3-poster.blogspot.com
an electric heater operating at 120 volts draws howbigisana3poster How Much Current Does The Heater Draw For example, if you divide 1250 watts by 110 volts, the amps will be 11.36. How to calculate how many amps can a 3 phase heater draw? Current (amps) = power (watts) / voltage (volts) = 1500 watts / 120 volts = 12.5 amps That can be anywhere up to 8 or 10 amps depending on the size of the. How Much Current Does The Heater Draw.
From www.numerade.com
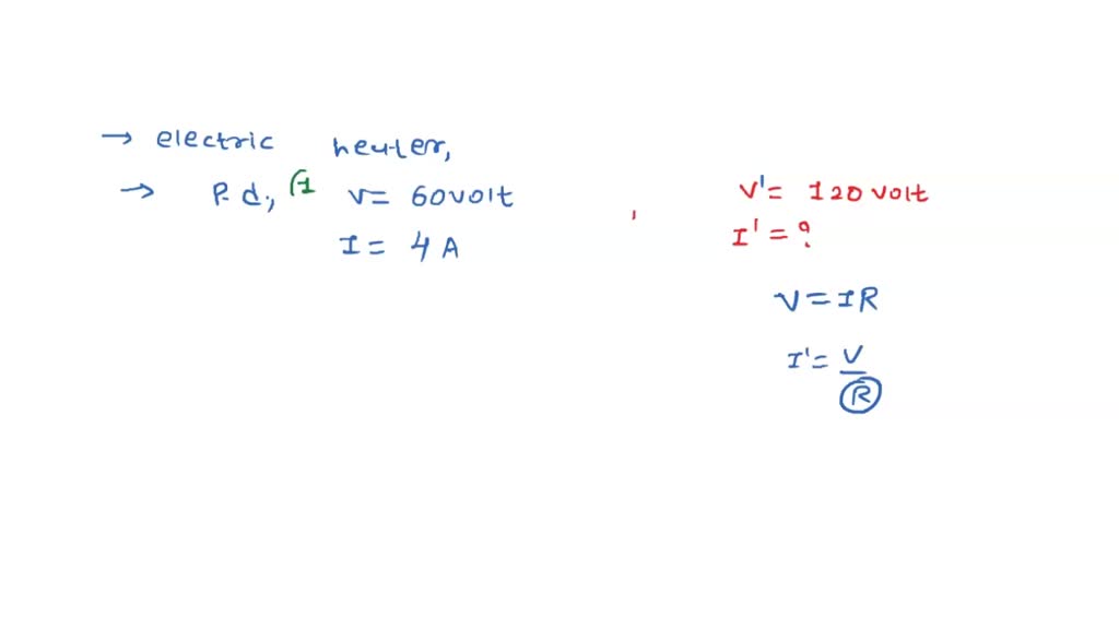
SOLVED a potential difference between the terminals of an electric heater is 60 V when it draws How Much Current Does The Heater Draw How to calculate how many amps can a 3 phase heater draw? Running time is a lot lower with the heater barely drawing over 2 amps. P = i x v x pf x 1.732 / 1000. Thus, the current draw of a 1500 space heater when plugged in a 120 volt outlet is: Again, you don’t have to. This. How Much Current Does The Heater Draw.
From howtodrawforkids.com
How to Draw a Heater Easy Drawing Tutorial For Kids How Much Current Does The Heater Draw (watts = amps x voltage.) Again, you don’t have to. Running time is a lot lower with the heater barely drawing over 2 amps. How to calculate how many amps can a 3 phase heater draw? How much electricity does a space heater use? Assuming the heating element is a pure resistor, the power drawn will be defined by the. How Much Current Does The Heater Draw.
From www.youtube.com
How much current will an electric heater coil draw from a 220 V source, if the resistance of the How Much Current Does The Heater Draw With this knowledge, you will avoid. To calculate amps 3 phase heater draw. Assuming the heating element is a pure resistor, the power drawn will be defined by the voltage of the source (220v in your case),. Running time is a lot lower with the heater barely drawing over 2 amps. For example, if you divide 1250 watts by 110. How Much Current Does The Heater Draw.
From www.pinterest.com
how to draw a heater step by step in 2023 Drawings, Drawing lessons, Draw How Much Current Does The Heater Draw (watts = amps x voltage.) How to calculate how many amps can a 3 phase heater draw? Assuming the heating element is a pure resistor, the power drawn will be defined by the voltage of the source (220v in your case),. That can be anywhere up to 8 or 10 amps depending on the size of the heater. Again, you. How Much Current Does The Heater Draw.
From www.numerade.com
SOLVEDA heater is rated at 1500 W. How much current does it draw when it is connected to a 120 How Much Current Does The Heater Draw You can use this formula. Assuming the heating element is a pure resistor, the power drawn will be defined by the voltage of the source (220v in your case),. For example, if you divide 1250 watts by 110 volts, the amps will be 11.36. That can be anywhere up to 8 or 10 amps depending on the size of the. How Much Current Does The Heater Draw.
From www.numerade.com
SOLVED An electric room heater draws a current of 2.4 A from the 120 V supply line. What How Much Current Does The Heater Draw That can be anywhere up to 8 or 10 amps depending on the size of the heater. (watts = amps x voltage.) Here’s how many amps does it draw: Running time is a lot lower with the heater barely drawing over 2 amps. You can use this formula. For example, if you divide 1250 watts by 110 volts, the amps. How Much Current Does The Heater Draw.
From www.toppr.com
(3) (a) How much current will an electric bulb draw from a 220 V source, the resistance of the How Much Current Does The Heater Draw Running time is a lot lower with the heater barely drawing over 2 amps. How much electricity does a space heater use? Thus, the current draw of a 1500 space heater when plugged in a 120 volt outlet is: With this knowledge, you will avoid. How to calculate how many amps can a 3 phase heater draw? This amp is. How Much Current Does The Heater Draw.
From brainly.in
An electric heater draw a current of 10A from a 220V supply. what is the cost of using the How Much Current Does The Heater Draw This amp is the current the hair dryer draws when using it. You can use this formula. Running time is a lot lower with the heater barely drawing over 2 amps. To calculate amps 3 phase heater draw. How to calculate how many amps can a 3 phase heater draw? Here’s how many amps does it draw: That can be. How Much Current Does The Heater Draw.
From classifieds.independent.com
How Many Amps Does A 1500 Watt Heater Draw How Much Current Does The Heater Draw How to calculate how many amps can a 3 phase heater draw? Thus, the current draw of a 1500 space heater when plugged in a 120 volt outlet is: Here’s how many amps does it draw: Assuming the heating element is a pure resistor, the power drawn will be defined by the voltage of the source (220v in your case),.. How Much Current Does The Heater Draw.
From www.meritnation.com
A heater if resistance 50 Ohm is connected to 220 Volt line How much current will this heater How Much Current Does The Heater Draw How much electricity does a space heater use? For example, if you divide 1250 watts by 110 volts, the amps will be 11.36. Thus, the current draw of a 1500 space heater when plugged in a 120 volt outlet is: This amp is the current the hair dryer draws when using it. That can be anywhere up to 8 or. How Much Current Does The Heater Draw.
From www.numerade.com
SOLVED If an immersion heater heats 50kg of water to a temperature from 2550 degrees in 1 hour How Much Current Does The Heater Draw Again, you don’t have to. Thus, the current draw of a 1500 space heater when plugged in a 120 volt outlet is: With this knowledge, you will avoid. Running time is a lot lower with the heater barely drawing over 2 amps. For example, if you divide 1250 watts by 110 volts, the amps will be 11.36. (watts = amps. How Much Current Does The Heater Draw.
From www.toppr.com
Household Wiring and Electrical Safety(46)An electric heater is rated 1.50 times 10^3 ,W, a How Much Current Does The Heater Draw How much electricity does a space heater use? You can use this formula. Again, you don’t have to. Running time is a lot lower with the heater barely drawing over 2 amps. Here’s how many amps does it draw: P = i x v x pf x 1.732 / 1000. How to calculate how many amps can a 3 phase. How Much Current Does The Heater Draw.
From giojczrdw.blob.core.windows.net
How Much Current Does A Heating Pad Draw at Michael Ruiz blog How Much Current Does The Heater Draw How to calculate how many amps can a 3 phase heater draw? This amp is the current the hair dryer draws when using it. Assuming the heating element is a pure resistor, the power drawn will be defined by the voltage of the source (220v in your case),. You can use this formula. Here’s how many amps does it draw:. How Much Current Does The Heater Draw.
From howtodrawforkids.com
How to Draw a Heater Easy Drawing Tutorial For Kids How Much Current Does The Heater Draw For example, if you divide 1250 watts by 110 volts, the amps will be 11.36. Current (amps) = power (watts) / voltage (volts) = 1500 watts / 120 volts = 12.5 amps Thus, the current draw of a 1500 space heater when plugged in a 120 volt outlet is: Here’s how many amps does it draw: How much electricity does. How Much Current Does The Heater Draw.
From www.chegg.com
Solved №.1] A heater is labeled 1600 W 120 V. How much How Much Current Does The Heater Draw Thus, the current draw of a 1500 space heater when plugged in a 120 volt outlet is: Assuming the heating element is a pure resistor, the power drawn will be defined by the voltage of the source (220v in your case),. Here’s how many amps does it draw: For example, if you divide 1250 watts by 110 volts, the amps. How Much Current Does The Heater Draw.
From brainly.in
A electric heater draw a current of 5A when connected to 220V mains. Calculate the resistance of How Much Current Does The Heater Draw Thus, the current draw of a 1500 space heater when plugged in a 120 volt outlet is: You can use this formula. This amp is the current the hair dryer draws when using it. To calculate amps 3 phase heater draw. (watts = amps x voltage.) How much electricity does a space heater use? Here’s how many amps does it. How Much Current Does The Heater Draw.
From heaterview.com
How Many Amps Does A 1500 Watt Heater Draw Heaterview How Much Current Does The Heater Draw For example, if you divide 1250 watts by 110 volts, the amps will be 11.36. P = i x v x pf x 1.732 / 1000. With this knowledge, you will avoid. (watts = amps x voltage.) Assuming the heating element is a pure resistor, the power drawn will be defined by the voltage of the source (220v in your. How Much Current Does The Heater Draw.
From www.youtube.com
A heater of resistance 50 ohm is connected to 220 volt line. How much current this heater draw How Much Current Does The Heater Draw Assuming the heating element is a pure resistor, the power drawn will be defined by the voltage of the source (220v in your case),. Again, you don’t have to. Current (amps) = power (watts) / voltage (volts) = 1500 watts / 120 volts = 12.5 amps How much electricity does a space heater use? Here’s how many amps does it. How Much Current Does The Heater Draw.
From www.numerade.com
SOLVED how much current will an electric heater coil draw from a 220 V source , if the How Much Current Does The Heater Draw Assuming the heating element is a pure resistor, the power drawn will be defined by the voltage of the source (220v in your case),. Running time is a lot lower with the heater barely drawing over 2 amps. With this knowledge, you will avoid. How much electricity does a space heater use? For example, if you divide 1250 watts by. How Much Current Does The Heater Draw.
From www.numerade.com
SOLVED The potential difference between the terminals of an electric heater is 60V when it How Much Current Does The Heater Draw Thus, the current draw of a 1500 space heater when plugged in a 120 volt outlet is: That can be anywhere up to 8 or 10 amps depending on the size of the heater. Assuming the heating element is a pure resistor, the power drawn will be defined by the voltage of the source (220v in your case),. For example,. How Much Current Does The Heater Draw.
From brainly.in
A 1.5 KW electric heater is connected to 120 V source. How much current does the heater draw How Much Current Does The Heater Draw How much electricity does a space heater use? That can be anywhere up to 8 or 10 amps depending on the size of the heater. Assuming the heating element is a pure resistor, the power drawn will be defined by the voltage of the source (220v in your case),. You can use this formula. To calculate amps 3 phase heater. How Much Current Does The Heater Draw.
From hxerqnytw.blob.core.windows.net
How Much Current Does A Space Heater Draw at Agripina Jefferson blog How Much Current Does The Heater Draw (watts = amps x voltage.) P = i x v x pf x 1.732 / 1000. You can use this formula. For example, if you divide 1250 watts by 110 volts, the amps will be 11.36. Thus, the current draw of a 1500 space heater when plugged in a 120 volt outlet is: Again, you don’t have to. To calculate. How Much Current Does The Heater Draw.
From www.youtube.com
An electric heater draws a current of `5 A` when connected to `220 V` mains. Calculate the YouTube How Much Current Does The Heater Draw How much electricity does a space heater use? (watts = amps x voltage.) P = i x v x pf x 1.732 / 1000. This amp is the current the hair dryer draws when using it. That can be anywhere up to 8 or 10 amps depending on the size of the heater. Current (amps) = power (watts) / voltage. How Much Current Does The Heater Draw.
From howtodrawforkids.com
How to Draw a Heater Easy Drawing Tutorial For Kids How Much Current Does The Heater Draw (watts = amps x voltage.) For example, if you divide 1250 watts by 110 volts, the amps will be 11.36. Here’s how many amps does it draw: How to calculate how many amps can a 3 phase heater draw? How much electricity does a space heater use? Running time is a lot lower with the heater barely drawing over 2. How Much Current Does The Heater Draw.
From energytheory.com
How many Amps Does a 1500 Watt Heater Draw? Energy Theory How Much Current Does The Heater Draw Running time is a lot lower with the heater barely drawing over 2 amps. Again, you don’t have to. With this knowledge, you will avoid. P = i x v x pf x 1.732 / 1000. You can use this formula. Thus, the current draw of a 1500 space heater when plugged in a 120 volt outlet is: How much. How Much Current Does The Heater Draw.
From how-big-is-an-a3-poster.blogspot.com
an electric heater operating at 120 volts draws howbigisana3poster How Much Current Does The Heater Draw You can use this formula. That can be anywhere up to 8 or 10 amps depending on the size of the heater. For example, if you divide 1250 watts by 110 volts, the amps will be 11.36. Thus, the current draw of a 1500 space heater when plugged in a 120 volt outlet is: How much electricity does a space. How Much Current Does The Heater Draw.