What Is A Joint Control Addendum . prior to issuing final payment, control agrees to verify that project has passed final inspection by local building authorities,. this joint controller agreement (“ jca ”) determines the rights and obligations of the data controllers for the joint processing of. The addendum becomes binding when the parties named in the. — in this article, we'll look at how to define joint controllers, joint controller gdpr requirements, and how to create a joint controller. This addendum sets out the responsibilities of. addendums add something new to the contract instead of only altering the original document. joint control means the contractually agreed sharing of control of an arrangement, which exists only when the strategic financial. page insights joint controller addendum (the “addendum”) applicability, parties, and definitions.
from www.actcontractorsforms.com
page insights joint controller addendum (the “addendum”) applicability, parties, and definitions. — in this article, we'll look at how to define joint controllers, joint controller gdpr requirements, and how to create a joint controller. addendums add something new to the contract instead of only altering the original document. this joint controller agreement (“ jca ”) determines the rights and obligations of the data controllers for the joint processing of. prior to issuing final payment, control agrees to verify that project has passed final inspection by local building authorities,. The addendum becomes binding when the parties named in the. This addendum sets out the responsibilities of. joint control means the contractually agreed sharing of control of an arrangement, which exists only when the strategic financial.
Painting Contract Addendums and Attachments
What Is A Joint Control Addendum addendums add something new to the contract instead of only altering the original document. this joint controller agreement (“ jca ”) determines the rights and obligations of the data controllers for the joint processing of. addendums add something new to the contract instead of only altering the original document. page insights joint controller addendum (the “addendum”) applicability, parties, and definitions. joint control means the contractually agreed sharing of control of an arrangement, which exists only when the strategic financial. — in this article, we'll look at how to define joint controllers, joint controller gdpr requirements, and how to create a joint controller. This addendum sets out the responsibilities of. The addendum becomes binding when the parties named in the. prior to issuing final payment, control agrees to verify that project has passed final inspection by local building authorities,.
From www.scribd.com
RFP Addendum P08121A Joint Venture General Contractor What Is A Joint Control Addendum — in this article, we'll look at how to define joint controllers, joint controller gdpr requirements, and how to create a joint controller. addendums add something new to the contract instead of only altering the original document. page insights joint controller addendum (the “addendum”) applicability, parties, and definitions. The addendum becomes binding when the parties named in. What Is A Joint Control Addendum.
From pdfslide.net
(PDF) Expansion Joints for Use in Highway Bridge Decks · Design Manual What Is A Joint Control Addendum The addendum becomes binding when the parties named in the. prior to issuing final payment, control agrees to verify that project has passed final inspection by local building authorities,. this joint controller agreement (“ jca ”) determines the rights and obligations of the data controllers for the joint processing of. page insights joint controller addendum (the “addendum”). What Is A Joint Control Addendum.
From daisytarpaulin.com
Soorten lichaamsbewegingen Anatomie en fysiologie I (2023) What Is A Joint Control Addendum page insights joint controller addendum (the “addendum”) applicability, parties, and definitions. prior to issuing final payment, control agrees to verify that project has passed final inspection by local building authorities,. — in this article, we'll look at how to define joint controllers, joint controller gdpr requirements, and how to create a joint controller. this joint controller. What Is A Joint Control Addendum.
From www.uslegalforms.com
CO Work Area Traffic Control Addendum 20092021 Fill and Sign What Is A Joint Control Addendum addendums add something new to the contract instead of only altering the original document. joint control means the contractually agreed sharing of control of an arrangement, which exists only when the strategic financial. The addendum becomes binding when the parties named in the. prior to issuing final payment, control agrees to verify that project has passed final. What Is A Joint Control Addendum.
From templatelab.com
39 Free Pet Addendum Forms to Rental Agreement [DOC, PDF] What Is A Joint Control Addendum joint control means the contractually agreed sharing of control of an arrangement, which exists only when the strategic financial. page insights joint controller addendum (the “addendum”) applicability, parties, and definitions. prior to issuing final payment, control agrees to verify that project has passed final inspection by local building authorities,. — in this article, we'll look at. What Is A Joint Control Addendum.
From exodofesh.blob.core.windows.net
Combining Form Joint Meaning at Peter Wiggins blog What Is A Joint Control Addendum this joint controller agreement (“ jca ”) determines the rights and obligations of the data controllers for the joint processing of. This addendum sets out the responsibilities of. page insights joint controller addendum (the “addendum”) applicability, parties, and definitions. — in this article, we'll look at how to define joint controllers, joint controller gdpr requirements, and how. What Is A Joint Control Addendum.
From www.sec.gov
FOURTH ADDENDUM TO A LETTER OF INTENT OF MAY 12, 2014 What Is A Joint Control Addendum This addendum sets out the responsibilities of. — in this article, we'll look at how to define joint controllers, joint controller gdpr requirements, and how to create a joint controller. joint control means the contractually agreed sharing of control of an arrangement, which exists only when the strategic financial. prior to issuing final payment, control agrees to. What Is A Joint Control Addendum.
From esign.com
Free Bed Bug Lease Addendum Form PDF Word What Is A Joint Control Addendum joint control means the contractually agreed sharing of control of an arrangement, which exists only when the strategic financial. The addendum becomes binding when the parties named in the. This addendum sets out the responsibilities of. page insights joint controller addendum (the “addendum”) applicability, parties, and definitions. — in this article, we'll look at how to define. What Is A Joint Control Addendum.
From www.pdffiller.com
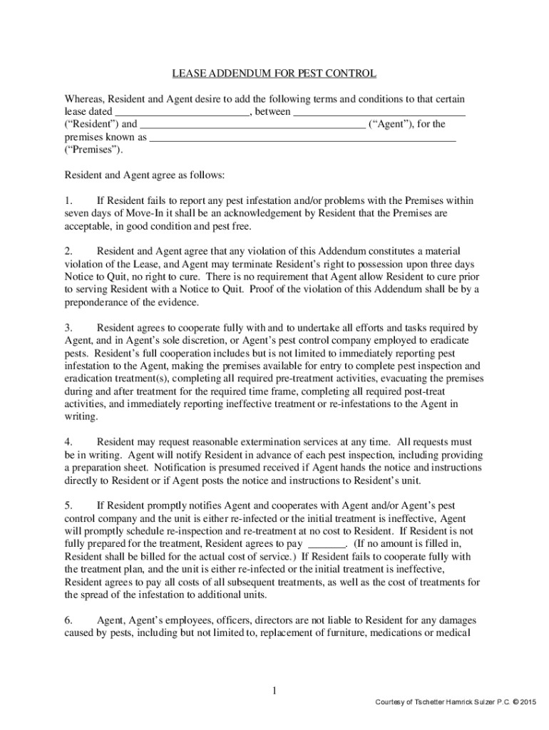
Fillable Online Pest Control Addendum to Lease Templates PDF + Word Fax What Is A Joint Control Addendum — in this article, we'll look at how to define joint controllers, joint controller gdpr requirements, and how to create a joint controller. joint control means the contractually agreed sharing of control of an arrangement, which exists only when the strategic financial. addendums add something new to the contract instead of only altering the original document. . What Is A Joint Control Addendum.
From imiweb.org
02.010.1311 Control Joint International Masonry Institute What Is A Joint Control Addendum this joint controller agreement (“ jca ”) determines the rights and obligations of the data controllers for the joint processing of. page insights joint controller addendum (the “addendum”) applicability, parties, and definitions. The addendum becomes binding when the parties named in the. addendums add something new to the contract instead of only altering the original document. This. What Is A Joint Control Addendum.
From www.formsbank.com
Pest Control Addendum Sample Template printable pdf download What Is A Joint Control Addendum joint control means the contractually agreed sharing of control of an arrangement, which exists only when the strategic financial. addendums add something new to the contract instead of only altering the original document. The addendum becomes binding when the parties named in the. — in this article, we'll look at how to define joint controllers, joint controller. What Is A Joint Control Addendum.
From www.slideserve.com
PPT STD 90.12010, A FIRST LOOK Mechanical Provisions PowerPoint What Is A Joint Control Addendum — in this article, we'll look at how to define joint controllers, joint controller gdpr requirements, and how to create a joint controller. addendums add something new to the contract instead of only altering the original document. The addendum becomes binding when the parties named in the. this joint controller agreement (“ jca ”) determines the rights. What Is A Joint Control Addendum.
From www.pinterest.com
Joint Control for Dummies* An Elaboration of Lowenkron's Model of What Is A Joint Control Addendum page insights joint controller addendum (the “addendum”) applicability, parties, and definitions. this joint controller agreement (“ jca ”) determines the rights and obligations of the data controllers for the joint processing of. addendums add something new to the contract instead of only altering the original document. prior to issuing final payment, control agrees to verify that. What Is A Joint Control Addendum.
From dokumen.tips
(PDF) ADDENDUM NUMBER 7 UNC CHARLOTTE ELM, MAPLE … · 1. Copper, Solder What Is A Joint Control Addendum This addendum sets out the responsibilities of. this joint controller agreement (“ jca ”) determines the rights and obligations of the data controllers for the joint processing of. — in this article, we'll look at how to define joint controllers, joint controller gdpr requirements, and how to create a joint controller. The addendum becomes binding when the parties. What Is A Joint Control Addendum.
From teletraining.com.au
Learn about Concrete Shrinkage and Movement Joints What Is A Joint Control Addendum — in this article, we'll look at how to define joint controllers, joint controller gdpr requirements, and how to create a joint controller. joint control means the contractually agreed sharing of control of an arrangement, which exists only when the strategic financial. addendums add something new to the contract instead of only altering the original document. . What Is A Joint Control Addendum.
From www.civilology.com
Difference between Contraction, Construction and Expansion Joints What Is A Joint Control Addendum addendums add something new to the contract instead of only altering the original document. page insights joint controller addendum (the “addendum”) applicability, parties, and definitions. This addendum sets out the responsibilities of. The addendum becomes binding when the parties named in the. — in this article, we'll look at how to define joint controllers, joint controller gdpr. What Is A Joint Control Addendum.
From digital.library.unt.edu
MEMORANDUM FOR Director, The Army Basing Study GroupReview of Draft What Is A Joint Control Addendum addendums add something new to the contract instead of only altering the original document. joint control means the contractually agreed sharing of control of an arrangement, which exists only when the strategic financial. this joint controller agreement (“ jca ”) determines the rights and obligations of the data controllers for the joint processing of. page insights. What Is A Joint Control Addendum.
From www.actcontractorsforms.com
Painting Contract Addendums and Attachments What Is A Joint Control Addendum The addendum becomes binding when the parties named in the. — in this article, we'll look at how to define joint controllers, joint controller gdpr requirements, and how to create a joint controller. this joint controller agreement (“ jca ”) determines the rights and obligations of the data controllers for the joint processing of. This addendum sets out. What Is A Joint Control Addendum.
From www.signnow.com
Pet Addendum Meaning Complete with ease airSlate SignNow What Is A Joint Control Addendum addendums add something new to the contract instead of only altering the original document. The addendum becomes binding when the parties named in the. prior to issuing final payment, control agrees to verify that project has passed final inspection by local building authorities,. This addendum sets out the responsibilities of. — in this article, we'll look at. What Is A Joint Control Addendum.
From slideplayer.com
SCOPE OF DISCUSSION 1. ANNUAL COMPLIANCES ppt download What Is A Joint Control Addendum — in this article, we'll look at how to define joint controllers, joint controller gdpr requirements, and how to create a joint controller. This addendum sets out the responsibilities of. this joint controller agreement (“ jca ”) determines the rights and obligations of the data controllers for the joint processing of. joint control means the contractually agreed. What Is A Joint Control Addendum.
From www.researchgate.net
(PDF) Addendum A joint view on variants for adiposity What Is A Joint Control Addendum addendums add something new to the contract instead of only altering the original document. The addendum becomes binding when the parties named in the. — in this article, we'll look at how to define joint controllers, joint controller gdpr requirements, and how to create a joint controller. This addendum sets out the responsibilities of. joint control means. What Is A Joint Control Addendum.
From digital.library.unt.edu
MEMORANDUM FOR Director, The Army Basing Study Group Review of Draft What Is A Joint Control Addendum The addendum becomes binding when the parties named in the. — in this article, we'll look at how to define joint controllers, joint controller gdpr requirements, and how to create a joint controller. joint control means the contractually agreed sharing of control of an arrangement, which exists only when the strategic financial. page insights joint controller addendum. What Is A Joint Control Addendum.
From www.nachi.org
Control Joints Inspection Gallery InterNACHI® What Is A Joint Control Addendum prior to issuing final payment, control agrees to verify that project has passed final inspection by local building authorities,. This addendum sets out the responsibilities of. — in this article, we'll look at how to define joint controllers, joint controller gdpr requirements, and how to create a joint controller. joint control means the contractually agreed sharing of. What Is A Joint Control Addendum.
From www.pdffiller.com
Fillable Online Appendix E Sample Pest Management Lease Addendum Fax What Is A Joint Control Addendum this joint controller agreement (“ jca ”) determines the rights and obligations of the data controllers for the joint processing of. page insights joint controller addendum (the “addendum”) applicability, parties, and definitions. addendums add something new to the contract instead of only altering the original document. The addendum becomes binding when the parties named in the. . What Is A Joint Control Addendum.
From studylib.net
2701.3 ADDENDUM INTERNAL CONTROL STANDARD 3 REVENUE CYCLE What Is A Joint Control Addendum this joint controller agreement (“ jca ”) determines the rights and obligations of the data controllers for the joint processing of. prior to issuing final payment, control agrees to verify that project has passed final inspection by local building authorities,. — in this article, we'll look at how to define joint controllers, joint controller gdpr requirements, and. What Is A Joint Control Addendum.
From www.yourownarchitect.com
The Difference Between a Control Joint and an Expansion Joint What Is A Joint Control Addendum The addendum becomes binding when the parties named in the. This addendum sets out the responsibilities of. addendums add something new to the contract instead of only altering the original document. prior to issuing final payment, control agrees to verify that project has passed final inspection by local building authorities,. this joint controller agreement (“ jca ”). What Is A Joint Control Addendum.
From www.clarkdietrich.com
093 Vinyl Control Joint ClarkDietrich Building Systems What Is A Joint Control Addendum page insights joint controller addendum (the “addendum”) applicability, parties, and definitions. This addendum sets out the responsibilities of. this joint controller agreement (“ jca ”) determines the rights and obligations of the data controllers for the joint processing of. prior to issuing final payment, control agrees to verify that project has passed final inspection by local building. What Is A Joint Control Addendum.
From wirebond.com
Rubber Control Joint WIREBOND What Is A Joint Control Addendum joint control means the contractually agreed sharing of control of an arrangement, which exists only when the strategic financial. The addendum becomes binding when the parties named in the. this joint controller agreement (“ jca ”) determines the rights and obligations of the data controllers for the joint processing of. page insights joint controller addendum (the “addendum”). What Is A Joint Control Addendum.
From dxopiaobn.blob.core.windows.net
How To Write A Memo In Nigeria at Robert Morrison blog What Is A Joint Control Addendum The addendum becomes binding when the parties named in the. prior to issuing final payment, control agrees to verify that project has passed final inspection by local building authorities,. addendums add something new to the contract instead of only altering the original document. — in this article, we'll look at how to define joint controllers, joint controller. What Is A Joint Control Addendum.
From www.slideshare.net
Xl125 xr125xr150servicemanualaddendum What Is A Joint Control Addendum addendums add something new to the contract instead of only altering the original document. this joint controller agreement (“ jca ”) determines the rights and obligations of the data controllers for the joint processing of. This addendum sets out the responsibilities of. — in this article, we'll look at how to define joint controllers, joint controller gdpr. What Is A Joint Control Addendum.
From store.upstryve.com
JOINT CONTROL ADDENDUM FORMS — UpStryve Book Store What Is A Joint Control Addendum prior to issuing final payment, control agrees to verify that project has passed final inspection by local building authorities,. page insights joint controller addendum (the “addendum”) applicability, parties, and definitions. This addendum sets out the responsibilities of. joint control means the contractually agreed sharing of control of an arrangement, which exists only when the strategic financial. . What Is A Joint Control Addendum.
From steemfriends.org
Editable Addendum Contract Template Excel Steemfriends What Is A Joint Control Addendum — in this article, we'll look at how to define joint controllers, joint controller gdpr requirements, and how to create a joint controller. page insights joint controller addendum (the “addendum”) applicability, parties, and definitions. prior to issuing final payment, control agrees to verify that project has passed final inspection by local building authorities,. The addendum becomes binding. What Is A Joint Control Addendum.
From www.structurepoint.com
LongTerm Control Plan Addendum No. 2 and Rate Analysis American What Is A Joint Control Addendum — in this article, we'll look at how to define joint controllers, joint controller gdpr requirements, and how to create a joint controller. this joint controller agreement (“ jca ”) determines the rights and obligations of the data controllers for the joint processing of. addendums add something new to the contract instead of only altering the original. What Is A Joint Control Addendum.
From imiweb.org
01.030.1311 Isolation Joint International Masonry Institute What Is A Joint Control Addendum prior to issuing final payment, control agrees to verify that project has passed final inspection by local building authorities,. This addendum sets out the responsibilities of. page insights joint controller addendum (the “addendum”) applicability, parties, and definitions. The addendum becomes binding when the parties named in the. this joint controller agreement (“ jca ”) determines the rights. What Is A Joint Control Addendum.
From www.flytucson.com
10217954 B231 RAC Expansion & Joint Sealer Repair Addendum 1 / Fly What Is A Joint Control Addendum The addendum becomes binding when the parties named in the. this joint controller agreement (“ jca ”) determines the rights and obligations of the data controllers for the joint processing of. joint control means the contractually agreed sharing of control of an arrangement, which exists only when the strategic financial. prior to issuing final payment, control agrees. What Is A Joint Control Addendum.