Differential Equations Openstax . A differential equation is an equation involving an unknown function \(y=f(x)\) and one or more of its derivatives. Homogeneous and nonhomogeneous linear equations. Study calculus online free by downloading volume 2 of openstax's college calculus textbook and using our accompanying online resources. Complete treatment of bessel functions is well beyond the scope of this course, but we get a little taste of the topic here so we can see how. Volume 2 covers integration, differential equations, sequences and series, and parametric equations and polar coordinates. In this chapter we study several types of differential equations and their corresponding methods of solution.
from www.studypool.com
Homogeneous and nonhomogeneous linear equations. A differential equation is an equation involving an unknown function \(y=f(x)\) and one or more of its derivatives. Study calculus online free by downloading volume 2 of openstax's college calculus textbook and using our accompanying online resources. Complete treatment of bessel functions is well beyond the scope of this course, but we get a little taste of the topic here so we can see how. In this chapter we study several types of differential equations and their corresponding methods of solution. Volume 2 covers integration, differential equations, sequences and series, and parametric equations and polar coordinates.
SOLUTION Introduction differential equation Studypool
Differential Equations Openstax Homogeneous and nonhomogeneous linear equations. Complete treatment of bessel functions is well beyond the scope of this course, but we get a little taste of the topic here so we can see how. A differential equation is an equation involving an unknown function \(y=f(x)\) and one or more of its derivatives. Study calculus online free by downloading volume 2 of openstax's college calculus textbook and using our accompanying online resources. Volume 2 covers integration, differential equations, sequences and series, and parametric equations and polar coordinates. In this chapter we study several types of differential equations and their corresponding methods of solution. Homogeneous and nonhomogeneous linear equations.
From www.studypool.com
SOLUTION Ode chapter 02 01 ordinary differential equation Studypool Differential Equations Openstax Homogeneous and nonhomogeneous linear equations. Complete treatment of bessel functions is well beyond the scope of this course, but we get a little taste of the topic here so we can see how. Study calculus online free by downloading volume 2 of openstax's college calculus textbook and using our accompanying online resources. A differential equation is an equation involving an. Differential Equations Openstax.
From www.wikihow.com
4 Ways to Solve Differential Equations wikiHow Differential Equations Openstax Volume 2 covers integration, differential equations, sequences and series, and parametric equations and polar coordinates. In this chapter we study several types of differential equations and their corresponding methods of solution. Study calculus online free by downloading volume 2 of openstax's college calculus textbook and using our accompanying online resources. Complete treatment of bessel functions is well beyond the scope. Differential Equations Openstax.
From www.studypool.com
SOLUTION Unit 5 differential equation Studypool Differential Equations Openstax Study calculus online free by downloading volume 2 of openstax's college calculus textbook and using our accompanying online resources. A differential equation is an equation involving an unknown function \(y=f(x)\) and one or more of its derivatives. Complete treatment of bessel functions is well beyond the scope of this course, but we get a little taste of the topic here. Differential Equations Openstax.
From www.studocu.com
Differential Equations Summary Differential Equations Summary Differential Equations Openstax Complete treatment of bessel functions is well beyond the scope of this course, but we get a little taste of the topic here so we can see how. Volume 2 covers integration, differential equations, sequences and series, and parametric equations and polar coordinates. Homogeneous and nonhomogeneous linear equations. A differential equation is an equation involving an unknown function \(y=f(x)\) and. Differential Equations Openstax.
From www.studypool.com
SOLUTION Exact equation method 2 example 2 differential equation Differential Equations Openstax Study calculus online free by downloading volume 2 of openstax's college calculus textbook and using our accompanying online resources. In this chapter we study several types of differential equations and their corresponding methods of solution. A differential equation is an equation involving an unknown function \(y=f(x)\) and one or more of its derivatives. Complete treatment of bessel functions is well. Differential Equations Openstax.
From querypointofficial.blogspot.com
Solve the given differential equation by separation of variables. `e^y Differential Equations Openstax Volume 2 covers integration, differential equations, sequences and series, and parametric equations and polar coordinates. Complete treatment of bessel functions is well beyond the scope of this course, but we get a little taste of the topic here so we can see how. In this chapter we study several types of differential equations and their corresponding methods of solution. A. Differential Equations Openstax.
From testbook.com
Exact Differential Equation Definition, Condition with Examples Differential Equations Openstax Homogeneous and nonhomogeneous linear equations. Volume 2 covers integration, differential equations, sequences and series, and parametric equations and polar coordinates. Study calculus online free by downloading volume 2 of openstax's college calculus textbook and using our accompanying online resources. A differential equation is an equation involving an unknown function \(y=f(x)\) and one or more of its derivatives. Complete treatment of. Differential Equations Openstax.
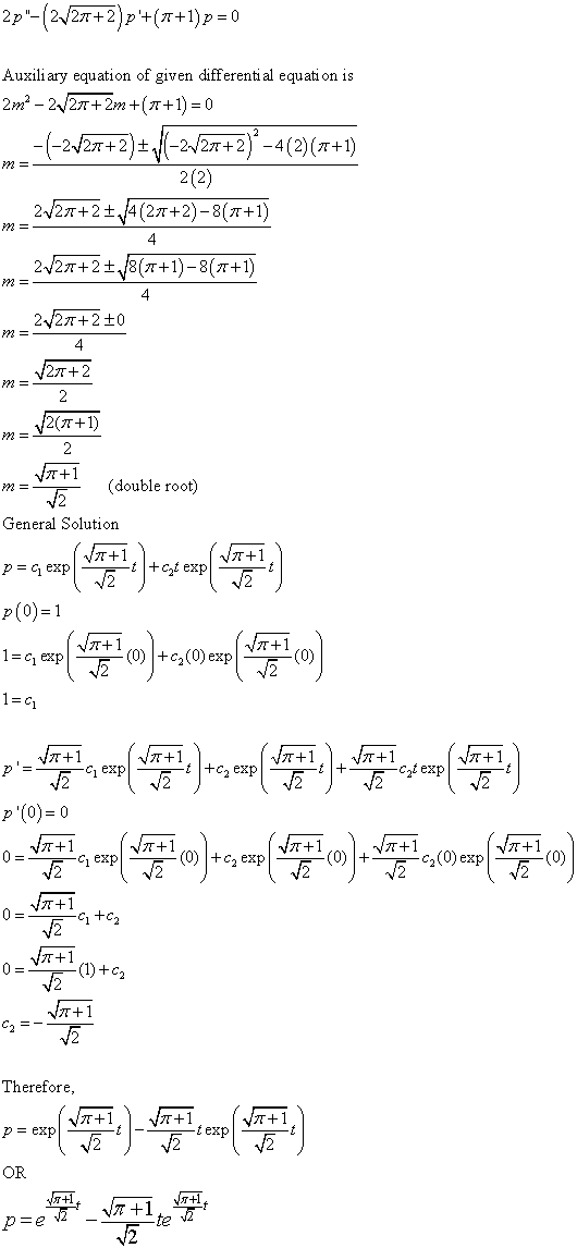
From differentialequationssolvedexamples.blogspot.com
Differential Equations Solved Examples 2p'' (2*sqrt(2Pi+2))p' +(Pi+1 Differential Equations Openstax Homogeneous and nonhomogeneous linear equations. Volume 2 covers integration, differential equations, sequences and series, and parametric equations and polar coordinates. Study calculus online free by downloading volume 2 of openstax's college calculus textbook and using our accompanying online resources. Complete treatment of bessel functions is well beyond the scope of this course, but we get a little taste of the. Differential Equations Openstax.
From www.studypool.com
SOLUTION Differential equation Studypool Differential Equations Openstax Complete treatment of bessel functions is well beyond the scope of this course, but we get a little taste of the topic here so we can see how. Study calculus online free by downloading volume 2 of openstax's college calculus textbook and using our accompanying online resources. A differential equation is an equation involving an unknown function \(y=f(x)\) and one. Differential Equations Openstax.
From www.studypool.com
SOLUTION Solution Differential Equation Studypool Differential Equations Openstax In this chapter we study several types of differential equations and their corresponding methods of solution. Study calculus online free by downloading volume 2 of openstax's college calculus textbook and using our accompanying online resources. Complete treatment of bessel functions is well beyond the scope of this course, but we get a little taste of the topic here so we. Differential Equations Openstax.
From www.studypool.com
SOLUTION Exact equation method 3 example 3 differential equation Differential Equations Openstax Homogeneous and nonhomogeneous linear equations. Complete treatment of bessel functions is well beyond the scope of this course, but we get a little taste of the topic here so we can see how. Study calculus online free by downloading volume 2 of openstax's college calculus textbook and using our accompanying online resources. Volume 2 covers integration, differential equations, sequences and. Differential Equations Openstax.
From www.studypool.com
SOLUTION Introduction to differential equation Studypool Differential Equations Openstax In this chapter we study several types of differential equations and their corresponding methods of solution. Homogeneous and nonhomogeneous linear equations. Volume 2 covers integration, differential equations, sequences and series, and parametric equations and polar coordinates. A differential equation is an equation involving an unknown function \(y=f(x)\) and one or more of its derivatives. Study calculus online free by downloading. Differential Equations Openstax.
From www.studypool.com
SOLUTION 1 differential equation Studypool Differential Equations Openstax Volume 2 covers integration, differential equations, sequences and series, and parametric equations and polar coordinates. A differential equation is an equation involving an unknown function \(y=f(x)\) and one or more of its derivatives. Complete treatment of bessel functions is well beyond the scope of this course, but we get a little taste of the topic here so we can see. Differential Equations Openstax.
From www.numerade.com
SOLVED Consider the following differential equation y" 2y' +y = 12xe Differential Equations Openstax Study calculus online free by downloading volume 2 of openstax's college calculus textbook and using our accompanying online resources. In this chapter we study several types of differential equations and their corresponding methods of solution. Complete treatment of bessel functions is well beyond the scope of this course, but we get a little taste of the topic here so we. Differential Equations Openstax.
From www.studypool.com
SOLUTION Exact differential equation Studypool Differential Equations Openstax Complete treatment of bessel functions is well beyond the scope of this course, but we get a little taste of the topic here so we can see how. Homogeneous and nonhomogeneous linear equations. A differential equation is an equation involving an unknown function \(y=f(x)\) and one or more of its derivatives. Volume 2 covers integration, differential equations, sequences and series,. Differential Equations Openstax.
From www.numerade.com
SOLVEDThe differential equation is separable. Find the general Differential Equations Openstax Volume 2 covers integration, differential equations, sequences and series, and parametric equations and polar coordinates. Homogeneous and nonhomogeneous linear equations. Complete treatment of bessel functions is well beyond the scope of this course, but we get a little taste of the topic here so we can see how. Study calculus online free by downloading volume 2 of openstax's college calculus. Differential Equations Openstax.
From www.studypool.com
SOLUTION Differential equation exact equation method 1 example 1 Differential Equations Openstax Study calculus online free by downloading volume 2 of openstax's college calculus textbook and using our accompanying online resources. Volume 2 covers integration, differential equations, sequences and series, and parametric equations and polar coordinates. In this chapter we study several types of differential equations and their corresponding methods of solution. A differential equation is an equation involving an unknown function. Differential Equations Openstax.
From www.studypool.com
SOLUTION Introduction of differential equation Studypool Differential Equations Openstax In this chapter we study several types of differential equations and their corresponding methods of solution. Complete treatment of bessel functions is well beyond the scope of this course, but we get a little taste of the topic here so we can see how. Volume 2 covers integration, differential equations, sequences and series, and parametric equations and polar coordinates. Homogeneous. Differential Equations Openstax.
From www.studypool.com
SOLUTION Differential equation Studypool Differential Equations Openstax Complete treatment of bessel functions is well beyond the scope of this course, but we get a little taste of the topic here so we can see how. In this chapter we study several types of differential equations and their corresponding methods of solution. Study calculus online free by downloading volume 2 of openstax's college calculus textbook and using our. Differential Equations Openstax.
From pdfslide.net
(PDF) Bernoulli's Equation OpenStax CNX7.pdf... · for an Differential Equations Openstax Study calculus online free by downloading volume 2 of openstax's college calculus textbook and using our accompanying online resources. Homogeneous and nonhomogeneous linear equations. In this chapter we study several types of differential equations and their corresponding methods of solution. A differential equation is an equation involving an unknown function \(y=f(x)\) and one or more of its derivatives. Volume 2. Differential Equations Openstax.
From www.youtube.com
Particular Solutions to Separable Differential Equations Practice Differential Equations Openstax Homogeneous and nonhomogeneous linear equations. Complete treatment of bessel functions is well beyond the scope of this course, but we get a little taste of the topic here so we can see how. A differential equation is an equation involving an unknown function \(y=f(x)\) and one or more of its derivatives. In this chapter we study several types of differential. Differential Equations Openstax.
From www.youtube.com
Openstax Calculus Ch 4.2 part 2 Differential YouTube Differential Equations Openstax In this chapter we study several types of differential equations and their corresponding methods of solution. Homogeneous and nonhomogeneous linear equations. Complete treatment of bessel functions is well beyond the scope of this course, but we get a little taste of the topic here so we can see how. Study calculus online free by downloading volume 2 of openstax's college. Differential Equations Openstax.
From www.coursehero.com
[Solved] Ordinary Differential equation. Use the power series method to Differential Equations Openstax Complete treatment of bessel functions is well beyond the scope of this course, but we get a little taste of the topic here so we can see how. In this chapter we study several types of differential equations and their corresponding methods of solution. A differential equation is an equation involving an unknown function \(y=f(x)\) and one or more of. Differential Equations Openstax.
From www.studypool.com
SOLUTION Introduction differential equation Studypool Differential Equations Openstax In this chapter we study several types of differential equations and their corresponding methods of solution. Volume 2 covers integration, differential equations, sequences and series, and parametric equations and polar coordinates. Study calculus online free by downloading volume 2 of openstax's college calculus textbook and using our accompanying online resources. Homogeneous and nonhomogeneous linear equations. A differential equation is an. Differential Equations Openstax.
From www.coursehero.com
[Solved] Differential Equation Pls show solution.. . 1. Find the Differential Equations Openstax Study calculus online free by downloading volume 2 of openstax's college calculus textbook and using our accompanying online resources. Homogeneous and nonhomogeneous linear equations. In this chapter we study several types of differential equations and their corresponding methods of solution. Volume 2 covers integration, differential equations, sequences and series, and parametric equations and polar coordinates. Complete treatment of bessel functions. Differential Equations Openstax.
From www.studypool.com
SOLUTION Differential equation Studypool Differential Equations Openstax A differential equation is an equation involving an unknown function \(y=f(x)\) and one or more of its derivatives. In this chapter we study several types of differential equations and their corresponding methods of solution. Study calculus online free by downloading volume 2 of openstax's college calculus textbook and using our accompanying online resources. Volume 2 covers integration, differential equations, sequences. Differential Equations Openstax.
From www.youtube.com
OpenStax College Algebra Ch 6.6 Log equation 3 YouTube Differential Equations Openstax Study calculus online free by downloading volume 2 of openstax's college calculus textbook and using our accompanying online resources. In this chapter we study several types of differential equations and their corresponding methods of solution. Homogeneous and nonhomogeneous linear equations. A differential equation is an equation involving an unknown function \(y=f(x)\) and one or more of its derivatives. Volume 2. Differential Equations Openstax.
From www.coursehero.com
[Solved] Verify that the given differential equation is exact; then Differential Equations Openstax A differential equation is an equation involving an unknown function \(y=f(x)\) and one or more of its derivatives. Homogeneous and nonhomogeneous linear equations. Complete treatment of bessel functions is well beyond the scope of this course, but we get a little taste of the topic here so we can see how. Study calculus online free by downloading volume 2 of. Differential Equations Openstax.
From www.studypool.com
SOLUTION Differential equation Studypool Differential Equations Openstax Complete treatment of bessel functions is well beyond the scope of this course, but we get a little taste of the topic here so we can see how. In this chapter we study several types of differential equations and their corresponding methods of solution. Volume 2 covers integration, differential equations, sequences and series, and parametric equations and polar coordinates. A. Differential Equations Openstax.
From www.studypool.com
SOLUTION Differential equation notes Studypool Differential Equations Openstax Homogeneous and nonhomogeneous linear equations. A differential equation is an equation involving an unknown function \(y=f(x)\) and one or more of its derivatives. Complete treatment of bessel functions is well beyond the scope of this course, but we get a little taste of the topic here so we can see how. Study calculus online free by downloading volume 2 of. Differential Equations Openstax.
From www.studypool.com
SOLUTION Solution of a differential equation Studypool Differential Equations Openstax Study calculus online free by downloading volume 2 of openstax's college calculus textbook and using our accompanying online resources. Homogeneous and nonhomogeneous linear equations. In this chapter we study several types of differential equations and their corresponding methods of solution. Volume 2 covers integration, differential equations, sequences and series, and parametric equations and polar coordinates. Complete treatment of bessel functions. Differential Equations Openstax.
From www.studypool.com
SOLUTION Differential equation exact equation method 1 example 2 Differential Equations Openstax In this chapter we study several types of differential equations and their corresponding methods of solution. Homogeneous and nonhomogeneous linear equations. Complete treatment of bessel functions is well beyond the scope of this course, but we get a little taste of the topic here so we can see how. A differential equation is an equation involving an unknown function \(y=f(x)\). Differential Equations Openstax.
From www.youtube.com
Basics of Differential Equations (OpenStax Calculus, Vol. 2, Section 4. Differential Equations Openstax Complete treatment of bessel functions is well beyond the scope of this course, but we get a little taste of the topic here so we can see how. A differential equation is an equation involving an unknown function \(y=f(x)\) and one or more of its derivatives. In this chapter we study several types of differential equations and their corresponding methods. Differential Equations Openstax.
From blog.wolfram.com
Learning Differential Equations in 10 Hours or Fewer with the Wolfram Differential Equations Openstax Complete treatment of bessel functions is well beyond the scope of this course, but we get a little taste of the topic here so we can see how. Homogeneous and nonhomogeneous linear equations. In this chapter we study several types of differential equations and their corresponding methods of solution. Volume 2 covers integration, differential equations, sequences and series, and parametric. Differential Equations Openstax.
From www.studypool.com
SOLUTION 3 differential equation Studypool Differential Equations Openstax A differential equation is an equation involving an unknown function \(y=f(x)\) and one or more of its derivatives. Study calculus online free by downloading volume 2 of openstax's college calculus textbook and using our accompanying online resources. In this chapter we study several types of differential equations and their corresponding methods of solution. Volume 2 covers integration, differential equations, sequences. Differential Equations Openstax.