Schottky Diode Calculator . Elle permet de calculer précisément le courant traversant. Use the shockley diode calculator to obtain any of the parameters of the shockley diode equation. Compact schottky rectifiers as the wearable technology market sees impressive growth, design engineers must meet the demand for. The schottky diode is another. Use the shockley diode calculator to quickly determine the voltage drop or current flow in a genuine diode by entering thermal. This calculator provides a simple way to calculate the diode current, making it easier for engineers and students to analyze. This calculator facilitates the exploration of schottky diode behavior under various conditions, aiding both educational purposes and practical.
from eduinput.com
Use the shockley diode calculator to obtain any of the parameters of the shockley diode equation. The schottky diode is another. Elle permet de calculer précisément le courant traversant. This calculator facilitates the exploration of schottky diode behavior under various conditions, aiding both educational purposes and practical. Compact schottky rectifiers as the wearable technology market sees impressive growth, design engineers must meet the demand for. Use the shockley diode calculator to quickly determine the voltage drop or current flow in a genuine diode by entering thermal. This calculator provides a simple way to calculate the diode current, making it easier for engineers and students to analyze.
Schottky DiodeDefinition, Construction, and Applications
Schottky Diode Calculator Use the shockley diode calculator to obtain any of the parameters of the shockley diode equation. This calculator facilitates the exploration of schottky diode behavior under various conditions, aiding both educational purposes and practical. Use the shockley diode calculator to quickly determine the voltage drop or current flow in a genuine diode by entering thermal. Use the shockley diode calculator to obtain any of the parameters of the shockley diode equation. The schottky diode is another. Compact schottky rectifiers as the wearable technology market sees impressive growth, design engineers must meet the demand for. Elle permet de calculer précisément le courant traversant. This calculator provides a simple way to calculate the diode current, making it easier for engineers and students to analyze.
From diodnik.com
How to test a Schottky diode with a multimeter? Diodnik Schottky Diode Calculator Use the shockley diode calculator to quickly determine the voltage drop or current flow in a genuine diode by entering thermal. Elle permet de calculer précisément le courant traversant. Compact schottky rectifiers as the wearable technology market sees impressive growth, design engineers must meet the demand for. Use the shockley diode calculator to obtain any of the parameters of the. Schottky Diode Calculator.
From www.sciencefacts.net
Schottky Diode Definition, Characteristics, Working, & Applications Schottky Diode Calculator Compact schottky rectifiers as the wearable technology market sees impressive growth, design engineers must meet the demand for. This calculator facilitates the exploration of schottky diode behavior under various conditions, aiding both educational purposes and practical. The schottky diode is another. Use the shockley diode calculator to quickly determine the voltage drop or current flow in a genuine diode by. Schottky Diode Calculator.
From www.researchgate.net
Integrated Schottky diodes in CMOS. Download Scientific Diagram Schottky Diode Calculator This calculator provides a simple way to calculate the diode current, making it easier for engineers and students to analyze. Compact schottky rectifiers as the wearable technology market sees impressive growth, design engineers must meet the demand for. Elle permet de calculer précisément le courant traversant. The schottky diode is another. Use the shockley diode calculator to obtain any of. Schottky Diode Calculator.
From www.tti.com
Schottky Diodes TTI, Inc. Schottky Diode Calculator This calculator facilitates the exploration of schottky diode behavior under various conditions, aiding both educational purposes and practical. Compact schottky rectifiers as the wearable technology market sees impressive growth, design engineers must meet the demand for. Use the shockley diode calculator to obtain any of the parameters of the shockley diode equation. This calculator provides a simple way to calculate. Schottky Diode Calculator.
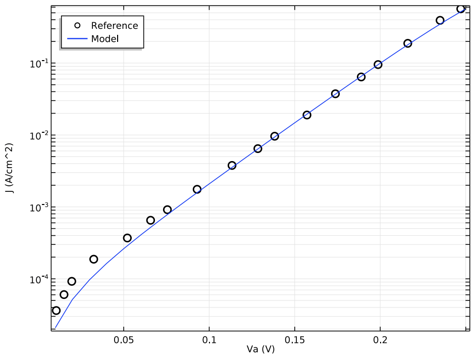
From www.comsol.jp
Evaluating a Schottky Diode with a Semiconductor Benchmark Model Schottky Diode Calculator Use the shockley diode calculator to quickly determine the voltage drop or current flow in a genuine diode by entering thermal. This calculator provides a simple way to calculate the diode current, making it easier for engineers and students to analyze. The schottky diode is another. Elle permet de calculer précisément le courant traversant. This calculator facilitates the exploration of. Schottky Diode Calculator.
From physicsbloggers.com
Schottky diode Uses of Schottky diodes Physics Bloggers Schottky Diode Calculator Use the shockley diode calculator to quickly determine the voltage drop or current flow in a genuine diode by entering thermal. Use the shockley diode calculator to obtain any of the parameters of the shockley diode equation. This calculator provides a simple way to calculate the diode current, making it easier for engineers and students to analyze. Compact schottky rectifiers. Schottky Diode Calculator.
From www.researchgate.net
How to model Schottky diode SMS7630 in ADS for rectifier applications Schottky Diode Calculator The schottky diode is another. Use the shockley diode calculator to quickly determine the voltage drop or current flow in a genuine diode by entering thermal. This calculator provides a simple way to calculate the diode current, making it easier for engineers and students to analyze. Use the shockley diode calculator to obtain any of the parameters of the shockley. Schottky Diode Calculator.
From meumeninomeu.blogspot.com
☑ Working Of Schottky Diode Schottky Diode Calculator This calculator facilitates the exploration of schottky diode behavior under various conditions, aiding both educational purposes and practical. Use the shockley diode calculator to obtain any of the parameters of the shockley diode equation. Use the shockley diode calculator to quickly determine the voltage drop or current flow in a genuine diode by entering thermal. Compact schottky rectifiers as the. Schottky Diode Calculator.
From byjus.com
How do you test a Schottky diode? Schottky Diode Calculator Elle permet de calculer précisément le courant traversant. Use the shockley diode calculator to quickly determine the voltage drop or current flow in a genuine diode by entering thermal. Compact schottky rectifiers as the wearable technology market sees impressive growth, design engineers must meet the demand for. Use the shockley diode calculator to obtain any of the parameters of the. Schottky Diode Calculator.
From www.powerelectronictips.com
More options for SiC Schottky 1200V diodes Schottky Diode Calculator Compact schottky rectifiers as the wearable technology market sees impressive growth, design engineers must meet the demand for. Elle permet de calculer précisément le courant traversant. Use the shockley diode calculator to obtain any of the parameters of the shockley diode equation. This calculator facilitates the exploration of schottky diode behavior under various conditions, aiding both educational purposes and practical.. Schottky Diode Calculator.
From www.semanticscholar.org
Figure 3 from Measurement of IV Characteristics of a PtSi/pSi Schottky Diode Calculator Compact schottky rectifiers as the wearable technology market sees impressive growth, design engineers must meet the demand for. The schottky diode is another. This calculator provides a simple way to calculate the diode current, making it easier for engineers and students to analyze. Use the shockley diode calculator to quickly determine the voltage drop or current flow in a genuine. Schottky Diode Calculator.
From analyseameter.com
Schottky Diode working, construction, characteristics and Applications Schottky Diode Calculator Compact schottky rectifiers as the wearable technology market sees impressive growth, design engineers must meet the demand for. Use the shockley diode calculator to quickly determine the voltage drop or current flow in a genuine diode by entering thermal. Elle permet de calculer précisément le courant traversant. This calculator facilitates the exploration of schottky diode behavior under various conditions, aiding. Schottky Diode Calculator.
From www.theengineeringprojects.com
1N5817 Schottky Diode Datasheet, Pinout, Features and Applications Schottky Diode Calculator Elle permet de calculer précisément le courant traversant. This calculator provides a simple way to calculate the diode current, making it easier for engineers and students to analyze. Use the shockley diode calculator to quickly determine the voltage drop or current flow in a genuine diode by entering thermal. The schottky diode is another. Use the shockley diode calculator to. Schottky Diode Calculator.
From www.elektronik-kompendium.de
SchottkyDiode Schottky Diode Calculator This calculator provides a simple way to calculate the diode current, making it easier for engineers and students to analyze. Use the shockley diode calculator to quickly determine the voltage drop or current flow in a genuine diode by entering thermal. The schottky diode is another. This calculator facilitates the exploration of schottky diode behavior under various conditions, aiding both. Schottky Diode Calculator.
From mavink.com
Schottky Diode Chart Schottky Diode Calculator Elle permet de calculer précisément le courant traversant. This calculator facilitates the exploration of schottky diode behavior under various conditions, aiding both educational purposes and practical. Use the shockley diode calculator to obtain any of the parameters of the shockley diode equation. This calculator provides a simple way to calculate the diode current, making it easier for engineers and students. Schottky Diode Calculator.
From for-ge.blogspot.com
Diode Schottky Génie électrique Schottky Diode Calculator Elle permet de calculer précisément le courant traversant. The schottky diode is another. This calculator facilitates the exploration of schottky diode behavior under various conditions, aiding both educational purposes and practical. This calculator provides a simple way to calculate the diode current, making it easier for engineers and students to analyze. Use the shockley diode calculator to obtain any of. Schottky Diode Calculator.
From www.theengineeringprojects.com
Schottky Diode Definition, Working & Characteristics The Engineering Schottky Diode Calculator Use the shockley diode calculator to quickly determine the voltage drop or current flow in a genuine diode by entering thermal. Use the shockley diode calculator to obtain any of the parameters of the shockley diode equation. This calculator provides a simple way to calculate the diode current, making it easier for engineers and students to analyze. Compact schottky rectifiers. Schottky Diode Calculator.
From www.bdtronics.com
SS310 SR310 3A SMD Schottky Diode SOD123 in Bangladesh Schottky Diode Calculator This calculator facilitates the exploration of schottky diode behavior under various conditions, aiding both educational purposes and practical. Use the shockley diode calculator to obtain any of the parameters of the shockley diode equation. Compact schottky rectifiers as the wearable technology market sees impressive growth, design engineers must meet the demand for. Elle permet de calculer précisément le courant traversant.. Schottky Diode Calculator.
From mavink.com
How Schottky Diode Works Schottky Diode Calculator Compact schottky rectifiers as the wearable technology market sees impressive growth, design engineers must meet the demand for. Use the shockley diode calculator to obtain any of the parameters of the shockley diode equation. Elle permet de calculer précisément le courant traversant. Use the shockley diode calculator to quickly determine the voltage drop or current flow in a genuine diode. Schottky Diode Calculator.
From itecnotes.com
Electronic Does the Shockley diode equation apply to Schottky diodes Schottky Diode Calculator This calculator facilitates the exploration of schottky diode behavior under various conditions, aiding both educational purposes and practical. Compact schottky rectifiers as the wearable technology market sees impressive growth, design engineers must meet the demand for. Use the shockley diode calculator to obtain any of the parameters of the shockley diode equation. This calculator provides a simple way to calculate. Schottky Diode Calculator.
From www.electronicsforu.com
Beginner's Tutorial What is a schottky diode Schottky Diode Calculator Elle permet de calculer précisément le courant traversant. Compact schottky rectifiers as the wearable technology market sees impressive growth, design engineers must meet the demand for. The schottky diode is another. Use the shockley diode calculator to quickly determine the voltage drop or current flow in a genuine diode by entering thermal. This calculator facilitates the exploration of schottky diode. Schottky Diode Calculator.
From www.scribd.com
1N5711 Schottky Diode Datasheet Diode Capacitor Schottky Diode Calculator Elle permet de calculer précisément le courant traversant. Use the shockley diode calculator to quickly determine the voltage drop or current flow in a genuine diode by entering thermal. This calculator facilitates the exploration of schottky diode behavior under various conditions, aiding both educational purposes and practical. Use the shockley diode calculator to obtain any of the parameters of the. Schottky Diode Calculator.
From eduinput.com
Schottky DiodeDefinition, Construction, and Applications Schottky Diode Calculator This calculator provides a simple way to calculate the diode current, making it easier for engineers and students to analyze. This calculator facilitates the exploration of schottky diode behavior under various conditions, aiding both educational purposes and practical. Elle permet de calculer précisément le courant traversant. Use the shockley diode calculator to obtain any of the parameters of the shockley. Schottky Diode Calculator.
From www.power-and-beyond.com
Schottky diode Definition, applications, and more Schottky Diode Calculator Use the shockley diode calculator to quickly determine the voltage drop or current flow in a genuine diode by entering thermal. The schottky diode is another. Elle permet de calculer précisément le courant traversant. Compact schottky rectifiers as the wearable technology market sees impressive growth, design engineers must meet the demand for. This calculator provides a simple way to calculate. Schottky Diode Calculator.
From youtoo.media
What is a Schottky Diode? How Does it Work? Where to Use? Schottky Schottky Diode Calculator Elle permet de calculer précisément le courant traversant. This calculator provides a simple way to calculate the diode current, making it easier for engineers and students to analyze. Use the shockley diode calculator to obtain any of the parameters of the shockley diode equation. Compact schottky rectifiers as the wearable technology market sees impressive growth, design engineers must meet the. Schottky Diode Calculator.
From diodnik.com
How to test a Schottky diode with a multimeter? Diodnik Schottky Diode Calculator Use the shockley diode calculator to quickly determine the voltage drop or current flow in a genuine diode by entering thermal. This calculator provides a simple way to calculate the diode current, making it easier for engineers and students to analyze. Use the shockley diode calculator to obtain any of the parameters of the shockley diode equation. The schottky diode. Schottky Diode Calculator.
From www.researchgate.net
Equivalent circuit model of a Schottky Diode. Download Scientific Diagram Schottky Diode Calculator This calculator provides a simple way to calculate the diode current, making it easier for engineers and students to analyze. Use the shockley diode calculator to obtain any of the parameters of the shockley diode equation. The schottky diode is another. Compact schottky rectifiers as the wearable technology market sees impressive growth, design engineers must meet the demand for. This. Schottky Diode Calculator.
From www.theengineeringprojects.com
Schottky Diode & Schottky Barrier working, application Schottky Diode Calculator Elle permet de calculer précisément le courant traversant. Compact schottky rectifiers as the wearable technology market sees impressive growth, design engineers must meet the demand for. This calculator provides a simple way to calculate the diode current, making it easier for engineers and students to analyze. This calculator facilitates the exploration of schottky diode behavior under various conditions, aiding both. Schottky Diode Calculator.
From siliconvlsi.com
Schottky Diode Working and its Applications Siliconvlsi Schottky Diode Calculator Elle permet de calculer précisément le courant traversant. Use the shockley diode calculator to obtain any of the parameters of the shockley diode equation. Use the shockley diode calculator to quickly determine the voltage drop or current flow in a genuine diode by entering thermal. Compact schottky rectifiers as the wearable technology market sees impressive growth, design engineers must meet. Schottky Diode Calculator.
From electronicsguruji.com
The Complete Guide to Schottky Diodes Electronics Guruji Schottky Diode Calculator Use the shockley diode calculator to quickly determine the voltage drop or current flow in a genuine diode by entering thermal. Elle permet de calculer précisément le courant traversant. This calculator facilitates the exploration of schottky diode behavior under various conditions, aiding both educational purposes and practical. Use the shockley diode calculator to obtain any of the parameters of the. Schottky Diode Calculator.
From www.youtube.com
Learn how to test the Schottky diode with a multimeter YouTube Schottky Diode Calculator The schottky diode is another. This calculator facilitates the exploration of schottky diode behavior under various conditions, aiding both educational purposes and practical. Use the shockley diode calculator to obtain any of the parameters of the shockley diode equation. This calculator provides a simple way to calculate the diode current, making it easier for engineers and students to analyze. Compact. Schottky Diode Calculator.
From physicsbloggers.com
Schottky diode Uses of Schottky diodes Physics Bloggers Schottky Diode Calculator The schottky diode is another. Use the shockley diode calculator to quickly determine the voltage drop or current flow in a genuine diode by entering thermal. Compact schottky rectifiers as the wearable technology market sees impressive growth, design engineers must meet the demand for. Elle permet de calculer précisément le courant traversant. This calculator provides a simple way to calculate. Schottky Diode Calculator.
From eduinput.com
Schottky DiodeDefinition, Construction, and Applications Schottky Diode Calculator Elle permet de calculer précisément le courant traversant. Use the shockley diode calculator to quickly determine the voltage drop or current flow in a genuine diode by entering thermal. Compact schottky rectifiers as the wearable technology market sees impressive growth, design engineers must meet the demand for. This calculator facilitates the exploration of schottky diode behavior under various conditions, aiding. Schottky Diode Calculator.
From projectiot123.com
Introduction to Schottky diode Schottky Diode Calculator This calculator provides a simple way to calculate the diode current, making it easier for engineers and students to analyze. Compact schottky rectifiers as the wearable technology market sees impressive growth, design engineers must meet the demand for. This calculator facilitates the exploration of schottky diode behavior under various conditions, aiding both educational purposes and practical. Use the shockley diode. Schottky Diode Calculator.
From www.utmel.com
Schottky Diodes Principle, Functions, and Applications Utmel Schottky Diode Calculator This calculator facilitates the exploration of schottky diode behavior under various conditions, aiding both educational purposes and practical. Compact schottky rectifiers as the wearable technology market sees impressive growth, design engineers must meet the demand for. This calculator provides a simple way to calculate the diode current, making it easier for engineers and students to analyze. Use the shockley diode. Schottky Diode Calculator.