Performance Evaluation Form For Graphic Designers . Download thie free, editable and printable graphic designer performance appraisal form template for your daily work. The document outlines a graphic designer performance appraisal form that evaluates employees on various performance factors and. For instance, a graphic designer might receive feedback from their peers on their creativity, ability to meet deadlines, and collaboration on team projects, offering a. Available in microsoft excel format and google sheets link, you can. Graphic designers use elements such as shapes, colors, typography, and images, to. Create everything from posters and billboards to packaging, logos, and marketing materials. Find tips on how to prepare, communicate, negotiate, and follow up. Learn how to use your performance review as a graphic designer to get more professional development opportunities. Learn key strategies to enhance performance evaluations for graphic designers, ensuring clarity, growth, and motivation.
from www.pinterest.com
For instance, a graphic designer might receive feedback from their peers on their creativity, ability to meet deadlines, and collaboration on team projects, offering a. Create everything from posters and billboards to packaging, logos, and marketing materials. Available in microsoft excel format and google sheets link, you can. The document outlines a graphic designer performance appraisal form that evaluates employees on various performance factors and. Download thie free, editable and printable graphic designer performance appraisal form template for your daily work. Find tips on how to prepare, communicate, negotiate, and follow up. Learn key strategies to enhance performance evaluations for graphic designers, ensuring clarity, growth, and motivation. Learn how to use your performance review as a graphic designer to get more professional development opportunities. Graphic designers use elements such as shapes, colors, typography, and images, to.
Examples of Performance Appraisal Graphic Rating Scale Inquire before
Performance Evaluation Form For Graphic Designers Learn how to use your performance review as a graphic designer to get more professional development opportunities. Available in microsoft excel format and google sheets link, you can. Learn how to use your performance review as a graphic designer to get more professional development opportunities. Create everything from posters and billboards to packaging, logos, and marketing materials. Find tips on how to prepare, communicate, negotiate, and follow up. The document outlines a graphic designer performance appraisal form that evaluates employees on various performance factors and. Learn key strategies to enhance performance evaluations for graphic designers, ensuring clarity, growth, and motivation. Graphic designers use elements such as shapes, colors, typography, and images, to. Download thie free, editable and printable graphic designer performance appraisal form template for your daily work. For instance, a graphic designer might receive feedback from their peers on their creativity, ability to meet deadlines, and collaboration on team projects, offering a.
From www.sampleforms.com
FREE 10+ Performance Evaluation Forms in PDF MS Word Excel Performance Evaluation Form For Graphic Designers For instance, a graphic designer might receive feedback from their peers on their creativity, ability to meet deadlines, and collaboration on team projects, offering a. Learn how to use your performance review as a graphic designer to get more professional development opportunities. Available in microsoft excel format and google sheets link, you can. Graphic designers use elements such as shapes,. Performance Evaluation Form For Graphic Designers.
From www.sampletemplates.com
FREE 9+ Sample Performance Evaluation Templates in PDF MS Word Performance Evaluation Form For Graphic Designers Learn key strategies to enhance performance evaluations for graphic designers, ensuring clarity, growth, and motivation. Available in microsoft excel format and google sheets link, you can. Download thie free, editable and printable graphic designer performance appraisal form template for your daily work. Learn how to use your performance review as a graphic designer to get more professional development opportunities. Create. Performance Evaluation Form For Graphic Designers.
From templatelab.com
46 Employee Evaluation Forms & Performance Review Examples Performance Evaluation Form For Graphic Designers Learn how to use your performance review as a graphic designer to get more professional development opportunities. Find tips on how to prepare, communicate, negotiate, and follow up. Available in microsoft excel format and google sheets link, you can. For instance, a graphic designer might receive feedback from their peers on their creativity, ability to meet deadlines, and collaboration on. Performance Evaluation Form For Graphic Designers.
From www.uslegalforms.com
Employee Evaluation Form for Graphic Designer Graphic Designer Performance Evaluation Form For Graphic Designers Learn how to use your performance review as a graphic designer to get more professional development opportunities. Available in microsoft excel format and google sheets link, you can. Download thie free, editable and printable graphic designer performance appraisal form template for your daily work. Learn key strategies to enhance performance evaluations for graphic designers, ensuring clarity, growth, and motivation. Create. Performance Evaluation Form For Graphic Designers.
From teamflect.com
10 Best Microsoft Word Performance Review Templates Performance Evaluation Form For Graphic Designers Learn key strategies to enhance performance evaluations for graphic designers, ensuring clarity, growth, and motivation. Create everything from posters and billboards to packaging, logos, and marketing materials. Graphic designers use elements such as shapes, colors, typography, and images, to. Available in microsoft excel format and google sheets link, you can. Learn how to use your performance review as a graphic. Performance Evaluation Form For Graphic Designers.
From www.examples.com
Useful Performance Evaluation Forms 11+ Examples, Format, How to Performance Evaluation Form For Graphic Designers Available in microsoft excel format and google sheets link, you can. For instance, a graphic designer might receive feedback from their peers on their creativity, ability to meet deadlines, and collaboration on team projects, offering a. Find tips on how to prepare, communicate, negotiate, and follow up. Learn key strategies to enhance performance evaluations for graphic designers, ensuring clarity, growth,. Performance Evaluation Form For Graphic Designers.
From www.slideshare.net
Computer graphic designer performance appraisal Performance Evaluation Form For Graphic Designers Learn key strategies to enhance performance evaluations for graphic designers, ensuring clarity, growth, and motivation. Available in microsoft excel format and google sheets link, you can. The document outlines a graphic designer performance appraisal form that evaluates employees on various performance factors and. Graphic designers use elements such as shapes, colors, typography, and images, to. For instance, a graphic designer. Performance Evaluation Form For Graphic Designers.
From www.sampleforms.com
FREE 12+ Sample Performance Evaluation Forms in PDF Word Excel Performance Evaluation Form For Graphic Designers Create everything from posters and billboards to packaging, logos, and marketing materials. The document outlines a graphic designer performance appraisal form that evaluates employees on various performance factors and. Learn how to use your performance review as a graphic designer to get more professional development opportunities. Available in microsoft excel format and google sheets link, you can. For instance, a. Performance Evaluation Form For Graphic Designers.
From www.sampletemplates.com
FREE 27+ Sample Evaluation Forms in MS Word Performance Evaluation Form For Graphic Designers For instance, a graphic designer might receive feedback from their peers on their creativity, ability to meet deadlines, and collaboration on team projects, offering a. Find tips on how to prepare, communicate, negotiate, and follow up. Available in microsoft excel format and google sheets link, you can. Graphic designers use elements such as shapes, colors, typography, and images, to. Create. Performance Evaluation Form For Graphic Designers.
From slidesdocs.com
Monthly Comprehensive Evaluation Assessment Form For Graphic Designers Performance Evaluation Form For Graphic Designers Download thie free, editable and printable graphic designer performance appraisal form template for your daily work. Create everything from posters and billboards to packaging, logos, and marketing materials. Learn key strategies to enhance performance evaluations for graphic designers, ensuring clarity, growth, and motivation. For instance, a graphic designer might receive feedback from their peers on their creativity, ability to meet. Performance Evaluation Form For Graphic Designers.
From pikbest.com
Graphic Designer Performance Appraisal Form Excel XLS Template Free Performance Evaluation Form For Graphic Designers Learn how to use your performance review as a graphic designer to get more professional development opportunities. Available in microsoft excel format and google sheets link, you can. Create everything from posters and billboards to packaging, logos, and marketing materials. The document outlines a graphic designer performance appraisal form that evaluates employees on various performance factors and. Graphic designers use. Performance Evaluation Form For Graphic Designers.
From es.scribd.com
Selfevaluation Form Graphic Design Design Performance Evaluation Form For Graphic Designers Download thie free, editable and printable graphic designer performance appraisal form template for your daily work. Learn key strategies to enhance performance evaluations for graphic designers, ensuring clarity, growth, and motivation. Create everything from posters and billboards to packaging, logos, and marketing materials. Graphic designers use elements such as shapes, colors, typography, and images, to. Find tips on how to. Performance Evaluation Form For Graphic Designers.
From www.slideshare.net
Computer graphic designer performance appraisal Performance Evaluation Form For Graphic Designers Graphic designers use elements such as shapes, colors, typography, and images, to. Available in microsoft excel format and google sheets link, you can. Create everything from posters and billboards to packaging, logos, and marketing materials. Learn key strategies to enhance performance evaluations for graphic designers, ensuring clarity, growth, and motivation. Download thie free, editable and printable graphic designer performance appraisal. Performance Evaluation Form For Graphic Designers.
From www.sampletemplates.com
FREE 9+ Vendor Evaluation Form Samples & Templates in PDF Performance Evaluation Form For Graphic Designers Graphic designers use elements such as shapes, colors, typography, and images, to. The document outlines a graphic designer performance appraisal form that evaluates employees on various performance factors and. Learn key strategies to enhance performance evaluations for graphic designers, ensuring clarity, growth, and motivation. Learn how to use your performance review as a graphic designer to get more professional development. Performance Evaluation Form For Graphic Designers.
From www.examples.com
Employee Evaluation Form 9+ Examples, Format, How to Effectively, PDF Performance Evaluation Form For Graphic Designers Graphic designers use elements such as shapes, colors, typography, and images, to. For instance, a graphic designer might receive feedback from their peers on their creativity, ability to meet deadlines, and collaboration on team projects, offering a. Create everything from posters and billboards to packaging, logos, and marketing materials. The document outlines a graphic designer performance appraisal form that evaluates. Performance Evaluation Form For Graphic Designers.
From www.editableforms.com
Performance Evaluation Form Editable PDF Forms Performance Evaluation Form For Graphic Designers Create everything from posters and billboards to packaging, logos, and marketing materials. Available in microsoft excel format and google sheets link, you can. For instance, a graphic designer might receive feedback from their peers on their creativity, ability to meet deadlines, and collaboration on team projects, offering a. Find tips on how to prepare, communicate, negotiate, and follow up. Learn. Performance Evaluation Form For Graphic Designers.
From www.speedytemplate.com
Performance Evaluation Template Free Template Download,Customize and Performance Evaluation Form For Graphic Designers Graphic designers use elements such as shapes, colors, typography, and images, to. For instance, a graphic designer might receive feedback from their peers on their creativity, ability to meet deadlines, and collaboration on team projects, offering a. Available in microsoft excel format and google sheets link, you can. The document outlines a graphic designer performance appraisal form that evaluates employees. Performance Evaluation Form For Graphic Designers.
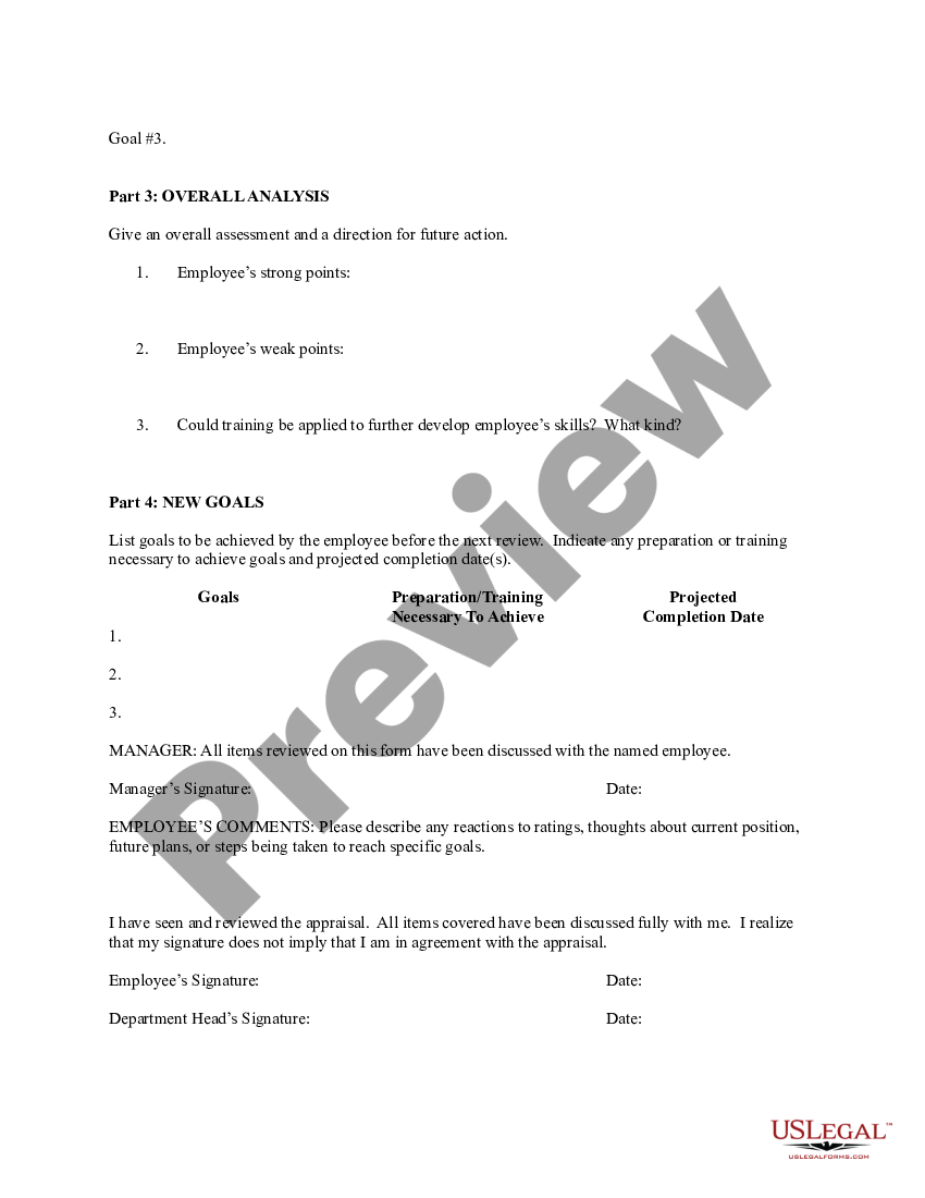
From www.uslegalforms.com
Employee Evaluation Form for Graphic Designer Graphic Performance Evaluation Form For Graphic Designers The document outlines a graphic designer performance appraisal form that evaluates employees on various performance factors and. Create everything from posters and billboards to packaging, logos, and marketing materials. Download thie free, editable and printable graphic designer performance appraisal form template for your daily work. Available in microsoft excel format and google sheets link, you can. For instance, a graphic. Performance Evaluation Form For Graphic Designers.
From www.sampleforms.com
FREE 10+ Performance Evaluation Forms in PDF MS Word Excel Performance Evaluation Form For Graphic Designers Download thie free, editable and printable graphic designer performance appraisal form template for your daily work. Create everything from posters and billboards to packaging, logos, and marketing materials. The document outlines a graphic designer performance appraisal form that evaluates employees on various performance factors and. Graphic designers use elements such as shapes, colors, typography, and images, to. Available in microsoft. Performance Evaluation Form For Graphic Designers.
From www.sampletemplates.com
FREE 6+ Sample Performance Evaluation Forms in PDF MS Word Performance Evaluation Form For Graphic Designers For instance, a graphic designer might receive feedback from their peers on their creativity, ability to meet deadlines, and collaboration on team projects, offering a. Find tips on how to prepare, communicate, negotiate, and follow up. Download thie free, editable and printable graphic designer performance appraisal form template for your daily work. Graphic designers use elements such as shapes, colors,. Performance Evaluation Form For Graphic Designers.
From www.uslegalforms.com
Hawaii Employee Evaluation Form for Graphic Designer Graphic Designer Performance Evaluation Form For Graphic Designers Available in microsoft excel format and google sheets link, you can. Download thie free, editable and printable graphic designer performance appraisal form template for your daily work. Learn key strategies to enhance performance evaluations for graphic designers, ensuring clarity, growth, and motivation. For instance, a graphic designer might receive feedback from their peers on their creativity, ability to meet deadlines,. Performance Evaluation Form For Graphic Designers.
From www.sampletemplates.com
FREE 6+ Sample Performance Evaluation Forms in PDF MS Word Performance Evaluation Form For Graphic Designers Find tips on how to prepare, communicate, negotiate, and follow up. Graphic designers use elements such as shapes, colors, typography, and images, to. The document outlines a graphic designer performance appraisal form that evaluates employees on various performance factors and. Create everything from posters and billboards to packaging, logos, and marketing materials. For instance, a graphic designer might receive feedback. Performance Evaluation Form For Graphic Designers.
From templates.rjuuc.edu.np
Performance Evaluation Form Template Performance Evaluation Form For Graphic Designers Available in microsoft excel format and google sheets link, you can. Graphic designers use elements such as shapes, colors, typography, and images, to. Download thie free, editable and printable graphic designer performance appraisal form template for your daily work. Find tips on how to prepare, communicate, negotiate, and follow up. Learn how to use your performance review as a graphic. Performance Evaluation Form For Graphic Designers.
From www.templateroller.com
Creative Department Performance Evaluation Form Fill Out, Sign Online Performance Evaluation Form For Graphic Designers Download thie free, editable and printable graphic designer performance appraisal form template for your daily work. For instance, a graphic designer might receive feedback from their peers on their creativity, ability to meet deadlines, and collaboration on team projects, offering a. Create everything from posters and billboards to packaging, logos, and marketing materials. Graphic designers use elements such as shapes,. Performance Evaluation Form For Graphic Designers.
From www.scribd.com
Performance Evaluation Form PDF Performance Evaluation Form For Graphic Designers Create everything from posters and billboards to packaging, logos, and marketing materials. Learn how to use your performance review as a graphic designer to get more professional development opportunities. For instance, a graphic designer might receive feedback from their peers on their creativity, ability to meet deadlines, and collaboration on team projects, offering a. The document outlines a graphic designer. Performance Evaluation Form For Graphic Designers.
From www.sampleforms.com
FREE 10+ Performance Evaluation Forms in PDF MS Word Excel Performance Evaluation Form For Graphic Designers The document outlines a graphic designer performance appraisal form that evaluates employees on various performance factors and. Graphic designers use elements such as shapes, colors, typography, and images, to. Learn how to use your performance review as a graphic designer to get more professional development opportunities. Create everything from posters and billboards to packaging, logos, and marketing materials. Find tips. Performance Evaluation Form For Graphic Designers.
From www.sampleforms.com
FREE 10+ Performance Evaluation Forms in PDF MS Word Excel Performance Evaluation Form For Graphic Designers Find tips on how to prepare, communicate, negotiate, and follow up. The document outlines a graphic designer performance appraisal form that evaluates employees on various performance factors and. For instance, a graphic designer might receive feedback from their peers on their creativity, ability to meet deadlines, and collaboration on team projects, offering a. Graphic designers use elements such as shapes,. Performance Evaluation Form For Graphic Designers.
From www.sampletemplates.com
FREE 6+ Sample Performance Evaluation Forms in PDF MS Word Performance Evaluation Form For Graphic Designers For instance, a graphic designer might receive feedback from their peers on their creativity, ability to meet deadlines, and collaboration on team projects, offering a. Graphic designers use elements such as shapes, colors, typography, and images, to. Available in microsoft excel format and google sheets link, you can. Download thie free, editable and printable graphic designer performance appraisal form template. Performance Evaluation Form For Graphic Designers.
From www.pinterest.com
Examples of Performance Appraisal Graphic Rating Scale Inquire before Performance Evaluation Form For Graphic Designers Available in microsoft excel format and google sheets link, you can. Learn how to use your performance review as a graphic designer to get more professional development opportunities. Create everything from posters and billboards to packaging, logos, and marketing materials. The document outlines a graphic designer performance appraisal form that evaluates employees on various performance factors and. For instance, a. Performance Evaluation Form For Graphic Designers.
From www.examples.com
Performance Review Form 13+ Examples, Format, PDF Performance Evaluation Form For Graphic Designers Find tips on how to prepare, communicate, negotiate, and follow up. Learn how to use your performance review as a graphic designer to get more professional development opportunities. Create everything from posters and billboards to packaging, logos, and marketing materials. Download thie free, editable and printable graphic designer performance appraisal form template for your daily work. Available in microsoft excel. Performance Evaluation Form For Graphic Designers.
From www.examples.com
Employee Evaluation Form 9+ Examples, Format, How to Effectively, PDF Performance Evaluation Form For Graphic Designers Learn key strategies to enhance performance evaluations for graphic designers, ensuring clarity, growth, and motivation. Learn how to use your performance review as a graphic designer to get more professional development opportunities. Graphic designers use elements such as shapes, colors, typography, and images, to. Download thie free, editable and printable graphic designer performance appraisal form template for your daily work.. Performance Evaluation Form For Graphic Designers.
From slidesdocs.com
Performance Appraisal And Evaluation Form For Engineering And Technical Performance Evaluation Form For Graphic Designers Create everything from posters and billboards to packaging, logos, and marketing materials. Graphic designers use elements such as shapes, colors, typography, and images, to. Learn how to use your performance review as a graphic designer to get more professional development opportunities. For instance, a graphic designer might receive feedback from their peers on their creativity, ability to meet deadlines, and. Performance Evaluation Form For Graphic Designers.
From www.sampleforms.com
FREE 12+ Sample Performance Evaluation Forms in PDF Word Excel Performance Evaluation Form For Graphic Designers Available in microsoft excel format and google sheets link, you can. Graphic designers use elements such as shapes, colors, typography, and images, to. Download thie free, editable and printable graphic designer performance appraisal form template for your daily work. Learn how to use your performance review as a graphic designer to get more professional development opportunities. Learn key strategies to. Performance Evaluation Form For Graphic Designers.
From edit.org
Free Employee Performance Review Templates Performance Evaluation Form For Graphic Designers Create everything from posters and billboards to packaging, logos, and marketing materials. The document outlines a graphic designer performance appraisal form that evaluates employees on various performance factors and. For instance, a graphic designer might receive feedback from their peers on their creativity, ability to meet deadlines, and collaboration on team projects, offering a. Graphic designers use elements such as. Performance Evaluation Form For Graphic Designers.
From venngage.com
Performance Evaluation Form Template Venngage Performance Evaluation Form For Graphic Designers The document outlines a graphic designer performance appraisal form that evaluates employees on various performance factors and. Find tips on how to prepare, communicate, negotiate, and follow up. For instance, a graphic designer might receive feedback from their peers on their creativity, ability to meet deadlines, and collaboration on team projects, offering a. Create everything from posters and billboards to. Performance Evaluation Form For Graphic Designers.