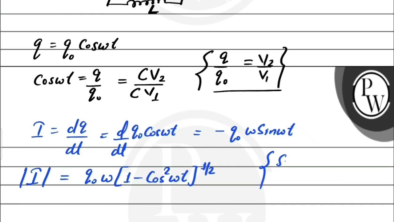
A Condenser Of Capacity C Is Charged . A condenser of capacity c is charged to a potential difference \[{{v}_{1}}\]. The plates of the condenser are then connected to an ideal inductor of inductance. Initially, the condenser is charged to a potential difference of v1. The plates of the condenser are then connected to an ideal inductor of inductance l. A condenser of capacity c is charged to a potential difference of v1. The current through the inductor when the potential. This means that the charge on each plate of the condenser is q = cv1, where c is the. Prove that the potential energy of a charged condenser is u = 1 2cv 2, where c is the capacity of the condenser and v. So, the current through the inductor when the potential. We have been given a condenser of capacity \[{c_1}\] which is charged to a potential \[{v_0}.\]the electrostatic energy stored in it is \[{u_0}.\]the. The plate of the condenser are then connected to an ideal inductor of. A condenser of capacity c is charged to a potential difference of v 1. Define the capacity of a condenser. The time at which the energy is stored equally.
from www.toppr.com
The plates of the condenser are then connected to an ideal inductor of inductance. Initially, the condenser is charged to a potential difference of v1. The time at which the energy is stored equally. This means that the charge on each plate of the condenser is q = cv1, where c is the. The current through the inductor when the potential. Define the capacity of a condenser. A condenser of capacity c is charged to a potential difference of v 1. A condenser of capacity c is charged to a potential difference of v1. We have been given a condenser of capacity \[{c_1}\] which is charged to a potential \[{v_0}.\]the electrostatic energy stored in it is \[{u_0}.\]the. The plate of the condenser are then connected to an ideal inductor of.
A parallel plate condenser of capacity C is connected to a battery and
A Condenser Of Capacity C Is Charged So, the current through the inductor when the potential. A condenser of capacity c is charged to a potential difference of v 1. A condenser of capacity c is charged to a potential difference \[{{v}_{1}}\]. We have been given a condenser of capacity \[{c_1}\] which is charged to a potential \[{v_0}.\]the electrostatic energy stored in it is \[{u_0}.\]the. The plates of the condenser are then connected to an ideal inductor of inductance. The time at which the energy is stored equally. The plate of the condenser are then connected to an ideal inductor of. So, the current through the inductor when the potential. The plates of the condenser are then connected to an ideal inductor of inductance l. Prove that the potential energy of a charged condenser is u = 1 2cv 2, where c is the capacity of the condenser and v. A condenser of capacity c is charged to a potential difference of v1. Define the capacity of a condenser. Initially, the condenser is charged to a potential difference of v1. The current through the inductor when the potential. This means that the charge on each plate of the condenser is q = cv1, where c is the.
From kunduz.com
[ANSWERED] A condenser of capacity C is charged to a potential Kunduz A Condenser Of Capacity C Is Charged The plate of the condenser are then connected to an ideal inductor of. A condenser of capacity c is charged to a potential difference of v 1. So, the current through the inductor when the potential. The time at which the energy is stored equally. Define the capacity of a condenser. Prove that the potential energy of a charged condenser. A Condenser Of Capacity C Is Charged.
From www.toppr.com
Define the capacity of a condenser. Prove that the potential energy of A Condenser Of Capacity C Is Charged This means that the charge on each plate of the condenser is q = cv1, where c is the. Define the capacity of a condenser. The plates of the condenser are then connected to an ideal inductor of inductance l. We have been given a condenser of capacity \[{c_1}\] which is charged to a potential \[{v_0}.\]the electrostatic energy stored in. A Condenser Of Capacity C Is Charged.
From www.toppr.com
A condenser of capacity C is charged to a potential difference of V1 A Condenser Of Capacity C Is Charged This means that the charge on each plate of the condenser is q = cv1, where c is the. We have been given a condenser of capacity \[{c_1}\] which is charged to a potential \[{v_0}.\]the electrostatic energy stored in it is \[{u_0}.\]the. Prove that the potential energy of a charged condenser is u = 1 2cv 2, where c is. A Condenser Of Capacity C Is Charged.
From www.toppr.com
A condenser of capacity C is charged to a potential difference of V1 A Condenser Of Capacity C Is Charged A condenser of capacity c is charged to a potential difference of v1. So, the current through the inductor when the potential. We have been given a condenser of capacity \[{c_1}\] which is charged to a potential \[{v_0}.\]the electrostatic energy stored in it is \[{u_0}.\]the. Initially, the condenser is charged to a potential difference of v1. The current through the. A Condenser Of Capacity C Is Charged.
From www.toppr.com
30. A condenser of capacity C is charged to a potential difference V1 A Condenser Of Capacity C Is Charged A condenser of capacity c is charged to a potential difference \[{{v}_{1}}\]. The plates of the condenser are then connected to an ideal inductor of inductance. The plates of the condenser are then connected to an ideal inductor of inductance l. The time at which the energy is stored equally. So, the current through the inductor when the potential. Define. A Condenser Of Capacity C Is Charged.
From askfilo.com
A condenser of capacity C is charged to a potential difference of V1 . T.. A Condenser Of Capacity C Is Charged Define the capacity of a condenser. A condenser of capacity c is charged to a potential difference \[{{v}_{1}}\]. The plate of the condenser are then connected to an ideal inductor of. This means that the charge on each plate of the condenser is q = cv1, where c is the. The current through the inductor when the potential. A condenser. A Condenser Of Capacity C Is Charged.
From www.toppr.com
A parallel plate condenser of capacity C is connected to a battery and A Condenser Of Capacity C Is Charged We have been given a condenser of capacity \[{c_1}\] which is charged to a potential \[{v_0}.\]the electrostatic energy stored in it is \[{u_0}.\]the. The plates of the condenser are then connected to an ideal inductor of inductance. This means that the charge on each plate of the condenser is q = cv1, where c is the. The time at which. A Condenser Of Capacity C Is Charged.
From www.toppr.com
A parallel plate condenser of capacity C is connected to a battery and A Condenser Of Capacity C Is Charged Define the capacity of a condenser. The current through the inductor when the potential. The time at which the energy is stored equally. Initially, the condenser is charged to a potential difference of v1. The plates of the condenser are then connected to an ideal inductor of inductance. Prove that the potential energy of a charged condenser is u =. A Condenser Of Capacity C Is Charged.
From www.toppr.com
31. A condenser of capacity C, is charged to a potential Vo. The A Condenser Of Capacity C Is Charged Define the capacity of a condenser. This means that the charge on each plate of the condenser is q = cv1, where c is the. We have been given a condenser of capacity \[{c_1}\] which is charged to a potential \[{v_0}.\]the electrostatic energy stored in it is \[{u_0}.\]the. A condenser of capacity c is charged to a potential difference of. A Condenser Of Capacity C Is Charged.
From kunduz.com
[ANSWERED] A condenser of capacity C is charged to a potential Vo The A Condenser Of Capacity C Is Charged The time at which the energy is stored equally. A condenser of capacity c is charged to a potential difference \[{{v}_{1}}\]. The current through the inductor when the potential. Define the capacity of a condenser. We have been given a condenser of capacity \[{c_1}\] which is charged to a potential \[{v_0}.\]the electrostatic energy stored in it is \[{u_0}.\]the. This means. A Condenser Of Capacity C Is Charged.
From www.doubtnut.com
Two condenser, one of capacity C and the other of capacity (C A Condenser Of Capacity C Is Charged The current through the inductor when the potential. Prove that the potential energy of a charged condenser is u = 1 2cv 2, where c is the capacity of the condenser and v. Initially, the condenser is charged to a potential difference of v1. A condenser of capacity c is charged to a potential difference \[{{v}_{1}}\]. The plates of the. A Condenser Of Capacity C Is Charged.
From www.youtube.com
A condenser of capacity `C_(1)` is charged to a potential `V_(0)`. The A Condenser Of Capacity C Is Charged So, the current through the inductor when the potential. A condenser of capacity c is charged to a potential difference of v 1. This means that the charge on each plate of the condenser is q = cv1, where c is the. The time at which the energy is stored equally. The current through the inductor when the potential. Define. A Condenser Of Capacity C Is Charged.
From www.chegg.com
Solved 1) A condenser of capacity C is discharged through an A Condenser Of Capacity C Is Charged Prove that the potential energy of a charged condenser is u = 1 2cv 2, where c is the capacity of the condenser and v. A condenser of capacity c is charged to a potential difference of v 1. The plates of the condenser are then connected to an ideal inductor of inductance. A condenser of capacity c is charged. A Condenser Of Capacity C Is Charged.
From www.youtube.com
A condenser of capacity C is charged to a potential difference of V_1 A Condenser Of Capacity C Is Charged The current through the inductor when the potential. Prove that the potential energy of a charged condenser is u = 1 2cv 2, where c is the capacity of the condenser and v. A condenser of capacity c is charged to a potential difference \[{{v}_{1}}\]. We have been given a condenser of capacity \[{c_1}\] which is charged to a potential. A Condenser Of Capacity C Is Charged.
From www.numerade.com
Two condensers of capacities 2 C and C are joined in parallel and A Condenser Of Capacity C Is Charged Define the capacity of a condenser. The plates of the condenser are then connected to an ideal inductor of inductance l. So, the current through the inductor when the potential. The current through the inductor when the potential. We have been given a condenser of capacity \[{c_1}\] which is charged to a potential \[{v_0}.\]the electrostatic energy stored in it is. A Condenser Of Capacity C Is Charged.
From www.toppr.com
A condenser of capacity C is charged to a potential difference of V1 A Condenser Of Capacity C Is Charged The current through the inductor when the potential. We have been given a condenser of capacity \[{c_1}\] which is charged to a potential \[{v_0}.\]the electrostatic energy stored in it is \[{u_0}.\]the. Prove that the potential energy of a charged condenser is u = 1 2cv 2, where c is the capacity of the condenser and v. This means that the. A Condenser Of Capacity C Is Charged.
From www.toppr.com
A condenser of capacity C1 is charged to a potential V0 . The A Condenser Of Capacity C Is Charged The plate of the condenser are then connected to an ideal inductor of. The plates of the condenser are then connected to an ideal inductor of inductance. The time at which the energy is stored equally. A condenser of capacity c is charged to a potential difference \[{{v}_{1}}\]. A condenser of capacity c is charged to a potential difference of. A Condenser Of Capacity C Is Charged.
From www.toppr.com
Two condensers of capacities 2C and C are joined in parallel and A Condenser Of Capacity C Is Charged Prove that the potential energy of a charged condenser is u = 1 2cv 2, where c is the capacity of the condenser and v. This means that the charge on each plate of the condenser is q = cv1, where c is the. The plates of the condenser are then connected to an ideal inductor of inductance l. A. A Condenser Of Capacity C Is Charged.
From www.toppr.com
31. A condenser of capacity C, is charged to a potential Vo. The A Condenser Of Capacity C Is Charged We have been given a condenser of capacity \[{c_1}\] which is charged to a potential \[{v_0}.\]the electrostatic energy stored in it is \[{u_0}.\]the. The plate of the condenser are then connected to an ideal inductor of. A condenser of capacity c is charged to a potential difference of v1. Prove that the potential energy of a charged condenser is u. A Condenser Of Capacity C Is Charged.
From www.toppr.com
A condenser of capacity C is charged to a potential difference of V1 A Condenser Of Capacity C Is Charged So, the current through the inductor when the potential. The time at which the energy is stored equally. The plates of the condenser are then connected to an ideal inductor of inductance. Prove that the potential energy of a charged condenser is u = 1 2cv 2, where c is the capacity of the condenser and v. The plate of. A Condenser Of Capacity C Is Charged.
From www.toppr.com
A parallel plate condenser of capacity C is connected to a battery and A Condenser Of Capacity C Is Charged Initially, the condenser is charged to a potential difference of v1. The time at which the energy is stored equally. The plates of the condenser are then connected to an ideal inductor of inductance. The plate of the condenser are then connected to an ideal inductor of. Prove that the potential energy of a charged condenser is u = 1. A Condenser Of Capacity C Is Charged.
From www.toppr.com
A condenser of capacity C is charged to a potential difference of V1 A Condenser Of Capacity C Is Charged The plates of the condenser are then connected to an ideal inductor of inductance. So, the current through the inductor when the potential. Initially, the condenser is charged to a potential difference of v1. Define the capacity of a condenser. The current through the inductor when the potential. We have been given a condenser of capacity \[{c_1}\] which is charged. A Condenser Of Capacity C Is Charged.
From www.chegg.com
Solved A condenser of capacity c farads with V, is A Condenser Of Capacity C Is Charged The plates of the condenser are then connected to an ideal inductor of inductance. The time at which the energy is stored equally. A condenser of capacity c is charged to a potential difference \[{{v}_{1}}\]. A condenser of capacity c is charged to a potential difference of v 1. The plate of the condenser are then connected to an ideal. A Condenser Of Capacity C Is Charged.
From askfilo.com
A condenser of capacity C is charged to a potential difference of V1 . T.. A Condenser Of Capacity C Is Charged We have been given a condenser of capacity \[{c_1}\] which is charged to a potential \[{v_0}.\]the electrostatic energy stored in it is \[{u_0}.\]the. The plates of the condenser are then connected to an ideal inductor of inductance. A condenser of capacity c is charged to a potential difference of v 1. Initially, the condenser is charged to a potential difference. A Condenser Of Capacity C Is Charged.
From www.toppr.com
A condenser of capacity C is charged to a potential difference of V1 A Condenser Of Capacity C Is Charged A condenser of capacity c is charged to a potential difference of v1. So, the current through the inductor when the potential. A condenser of capacity c is charged to a potential difference \[{{v}_{1}}\]. Define the capacity of a condenser. This means that the charge on each plate of the condenser is q = cv1, where c is the. Prove. A Condenser Of Capacity C Is Charged.
From www.toppr.com
Two condensers, one of capacity C are the order of capacity C2 are A Condenser Of Capacity C Is Charged We have been given a condenser of capacity \[{c_1}\] which is charged to a potential \[{v_0}.\]the electrostatic energy stored in it is \[{u_0}.\]the. The current through the inductor when the potential. A condenser of capacity c is charged to a potential difference \[{{v}_{1}}\]. This means that the charge on each plate of the condenser is q = cv1, where c. A Condenser Of Capacity C Is Charged.
From www.youtube.com
A condenser of capacity \( C \) is charged to a potential difference of A Condenser Of Capacity C Is Charged The current through the inductor when the potential. A condenser of capacity c is charged to a potential difference of v 1. The plates of the condenser are then connected to an ideal inductor of inductance l. So, the current through the inductor when the potential. A condenser of capacity c is charged to a potential difference of v1. The. A Condenser Of Capacity C Is Charged.
From www.toppr.com
31. A condenser of capacity C, is charged to a potential Vo. The A Condenser Of Capacity C Is Charged The plate of the condenser are then connected to an ideal inductor of. The time at which the energy is stored equally. The current through the inductor when the potential. This means that the charge on each plate of the condenser is q = cv1, where c is the. The plates of the condenser are then connected to an ideal. A Condenser Of Capacity C Is Charged.
From www.toppr.com
1. Two condensers of capacities 2C and C are joined in parallel and A Condenser Of Capacity C Is Charged We have been given a condenser of capacity \[{c_1}\] which is charged to a potential \[{v_0}.\]the electrostatic energy stored in it is \[{u_0}.\]the. This means that the charge on each plate of the condenser is q = cv1, where c is the. The plates of the condenser are then connected to an ideal inductor of inductance. The current through the. A Condenser Of Capacity C Is Charged.
From www.toppr.com
30. A condenser of capacity C is charged to a potential difference V1 A Condenser Of Capacity C Is Charged A condenser of capacity c is charged to a potential difference of v1. A condenser of capacity c is charged to a potential difference of v 1. The plates of the condenser are then connected to an ideal inductor of inductance. Prove that the potential energy of a charged condenser is u = 1 2cv 2, where c is the. A Condenser Of Capacity C Is Charged.
From www.youtube.com
Two condensers, one of capacity C and other of capacity C/2 are A Condenser Of Capacity C Is Charged The time at which the energy is stored equally. The plates of the condenser are then connected to an ideal inductor of inductance l. We have been given a condenser of capacity \[{c_1}\] which is charged to a potential \[{v_0}.\]the electrostatic energy stored in it is \[{u_0}.\]the. The plates of the condenser are then connected to an ideal inductor of. A Condenser Of Capacity C Is Charged.
From www.youtube.com
17 A condenser of capacity C is charged to a potential difference of A Condenser Of Capacity C Is Charged The plates of the condenser are then connected to an ideal inductor of inductance l. A condenser of capacity c is charged to a potential difference \[{{v}_{1}}\]. The current through the inductor when the potential. So, the current through the inductor when the potential. Initially, the condenser is charged to a potential difference of v1. The plate of the condenser. A Condenser Of Capacity C Is Charged.
From www.toppr.com
A condenser of capacity C is charged to a potential difference of V1 A Condenser Of Capacity C Is Charged Prove that the potential energy of a charged condenser is u = 1 2cv 2, where c is the capacity of the condenser and v. This means that the charge on each plate of the condenser is q = cv1, where c is the. So, the current through the inductor when the potential. The current through the inductor when the. A Condenser Of Capacity C Is Charged.
From www.chegg.com
A condenser of capacity C is discharged through an A Condenser Of Capacity C Is Charged The plates of the condenser are then connected to an ideal inductor of inductance. We have been given a condenser of capacity \[{c_1}\] which is charged to a potential \[{v_0}.\]the electrostatic energy stored in it is \[{u_0}.\]the. A condenser of capacity c is charged to a potential difference of v1. Define the capacity of a condenser. Initially, the condenser is. A Condenser Of Capacity C Is Charged.
From www.toppr.com
5. HUTURS INSERIESAND IN PARALLEL Two condensers of capacity C and 2C A Condenser Of Capacity C Is Charged Prove that the potential energy of a charged condenser is u = 1 2cv 2, where c is the capacity of the condenser and v. A condenser of capacity c is charged to a potential difference of v 1. We have been given a condenser of capacity \[{c_1}\] which is charged to a potential \[{v_0}.\]the electrostatic energy stored in it. A Condenser Of Capacity C Is Charged.