What Temperature Does Acetone Burn At . So, it’s vital that you store acetone. You'll get the most bang for your buck, relatively. In gas form, it can be a serious explosion hazard as well. Acetone is a highly flammable organic chemical that easily ignites at room temperature. D(ln(k h))/d(1/t) temperature dependence parameter for henry's. A material is flammable if it ignites. A combustible material is a material that can burn (i.e., sustain a flame) in air under certain conditions. Which flame is the hottest? The autoignition temperature for acetone is 869° f, which is low enough to be reached by all common ignition sources. For all these values, the initial temperature of air, gas, and oxygen is 20 degrees celsius.
from lumenlearning-2000.blogspot.com
So, it’s vital that you store acetone. A material is flammable if it ignites. In gas form, it can be a serious explosion hazard as well. For all these values, the initial temperature of air, gas, and oxygen is 20 degrees celsius. You'll get the most bang for your buck, relatively. A combustible material is a material that can burn (i.e., sustain a flame) in air under certain conditions. Acetone is a highly flammable organic chemical that easily ignites at room temperature. D(ln(k h))/d(1/t) temperature dependence parameter for henry's. The autoignition temperature for acetone is 869° f, which is low enough to be reached by all common ignition sources. Which flame is the hottest?
Viscosity Of Acetone Lumen Learning
What Temperature Does Acetone Burn At For all these values, the initial temperature of air, gas, and oxygen is 20 degrees celsius. For all these values, the initial temperature of air, gas, and oxygen is 20 degrees celsius. Acetone is a highly flammable organic chemical that easily ignites at room temperature. Which flame is the hottest? You'll get the most bang for your buck, relatively. A material is flammable if it ignites. D(ln(k h))/d(1/t) temperature dependence parameter for henry's. The autoignition temperature for acetone is 869° f, which is low enough to be reached by all common ignition sources. So, it’s vital that you store acetone. In gas form, it can be a serious explosion hazard as well. A combustible material is a material that can burn (i.e., sustain a flame) in air under certain conditions.
From www.youtube.com
when you burn acetone and Styrofoam. YouTube What Temperature Does Acetone Burn At A combustible material is a material that can burn (i.e., sustain a flame) in air under certain conditions. The autoignition temperature for acetone is 869° f, which is low enough to be reached by all common ignition sources. A material is flammable if it ignites. Acetone is a highly flammable organic chemical that easily ignites at room temperature. So, it’s. What Temperature Does Acetone Burn At.
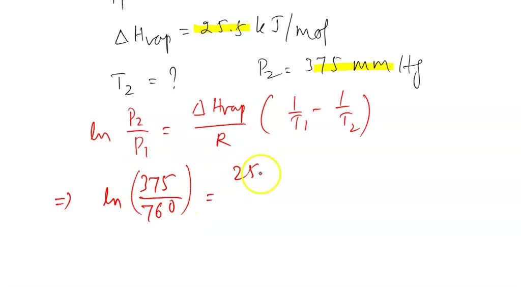
From www.numerade.com
A mixture of water and acetone at 0.9 atm boils at 70°C. Calculate the What Temperature Does Acetone Burn At D(ln(k h))/d(1/t) temperature dependence parameter for henry's. For all these values, the initial temperature of air, gas, and oxygen is 20 degrees celsius. So, it’s vital that you store acetone. The autoignition temperature for acetone is 869° f, which is low enough to be reached by all common ignition sources. Which flame is the hottest? Acetone is a highly flammable. What Temperature Does Acetone Burn At.
From slideplayer.com
Unit 2 Classification of Matter Updated 3/25/11 ppt download What Temperature Does Acetone Burn At Acetone is a highly flammable organic chemical that easily ignites at room temperature. A material is flammable if it ignites. For all these values, the initial temperature of air, gas, and oxygen is 20 degrees celsius. So, it’s vital that you store acetone. A combustible material is a material that can burn (i.e., sustain a flame) in air under certain. What Temperature Does Acetone Burn At.
From www.researchgate.net
The luminescence intensity of acetone changed with different What Temperature Does Acetone Burn At So, it’s vital that you store acetone. A combustible material is a material that can burn (i.e., sustain a flame) in air under certain conditions. Which flame is the hottest? For all these values, the initial temperature of air, gas, and oxygen is 20 degrees celsius. A material is flammable if it ignites. Acetone is a highly flammable organic chemical. What Temperature Does Acetone Burn At.
From www.researchgate.net
Logistic function that describes the fraction of burning acetone on the What Temperature Does Acetone Burn At The autoignition temperature for acetone is 869° f, which is low enough to be reached by all common ignition sources. Which flame is the hottest? So, it’s vital that you store acetone. A combustible material is a material that can burn (i.e., sustain a flame) in air under certain conditions. In gas form, it can be a serious explosion hazard. What Temperature Does Acetone Burn At.
From www.researchgate.net
Temperature dependence of the sensitivity to 20 ppm acetone and What Temperature Does Acetone Burn At A material is flammable if it ignites. Which flame is the hottest? Acetone is a highly flammable organic chemical that easily ignites at room temperature. So, it’s vital that you store acetone. In gas form, it can be a serious explosion hazard as well. D(ln(k h))/d(1/t) temperature dependence parameter for henry's. You'll get the most bang for your buck, relatively.. What Temperature Does Acetone Burn At.
From www.youtube.com
Burning of Acetone risk YouTube What Temperature Does Acetone Burn At Acetone is a highly flammable organic chemical that easily ignites at room temperature. In gas form, it can be a serious explosion hazard as well. D(ln(k h))/d(1/t) temperature dependence parameter for henry's. The autoignition temperature for acetone is 869° f, which is low enough to be reached by all common ignition sources. A combustible material is a material that can. What Temperature Does Acetone Burn At.
From www.researchgate.net
Acetone evaporation rate as a function of time for three different What Temperature Does Acetone Burn At D(ln(k h))/d(1/t) temperature dependence parameter for henry's. So, it’s vital that you store acetone. For all these values, the initial temperature of air, gas, and oxygen is 20 degrees celsius. Acetone is a highly flammable organic chemical that easily ignites at room temperature. The autoignition temperature for acetone is 869° f, which is low enough to be reached by all. What Temperature Does Acetone Burn At.
From www.researchgate.net
Cooling process with acetone at different borehole temperatures in a What Temperature Does Acetone Burn At Which flame is the hottest? You'll get the most bang for your buck, relatively. So, it’s vital that you store acetone. D(ln(k h))/d(1/t) temperature dependence parameter for henry's. In gas form, it can be a serious explosion hazard as well. A combustible material is a material that can burn (i.e., sustain a flame) in air under certain conditions. The autoignition. What Temperature Does Acetone Burn At.
From thechemistrynotes.com
Acetone Preparation, Properties, Reactions, Health hazards What Temperature Does Acetone Burn At Which flame is the hottest? A material is flammable if it ignites. D(ln(k h))/d(1/t) temperature dependence parameter for henry's. For all these values, the initial temperature of air, gas, and oxygen is 20 degrees celsius. So, it’s vital that you store acetone. The autoignition temperature for acetone is 869° f, which is low enough to be reached by all common. What Temperature Does Acetone Burn At.
From www.engineeringtoolbox.com
Acetone Thermophysical Properties What Temperature Does Acetone Burn At So, it’s vital that you store acetone. Acetone is a highly flammable organic chemical that easily ignites at room temperature. A material is flammable if it ignites. For all these values, the initial temperature of air, gas, and oxygen is 20 degrees celsius. D(ln(k h))/d(1/t) temperature dependence parameter for henry's. The autoignition temperature for acetone is 869° f, which is. What Temperature Does Acetone Burn At.
From www.numerade.com
SOLVED The normal boiling point of acetone, an important laboratory What Temperature Does Acetone Burn At Which flame is the hottest? You'll get the most bang for your buck, relatively. D(ln(k h))/d(1/t) temperature dependence parameter for henry's. The autoignition temperature for acetone is 869° f, which is low enough to be reached by all common ignition sources. A combustible material is a material that can burn (i.e., sustain a flame) in air under certain conditions. A. What Temperature Does Acetone Burn At.
From www.youtube.com
What happen if you burn a ACETONE dipped cotton? Must Watch What Temperature Does Acetone Burn At So, it’s vital that you store acetone. For all these values, the initial temperature of air, gas, and oxygen is 20 degrees celsius. You'll get the most bang for your buck, relatively. Acetone is a highly flammable organic chemical that easily ignites at room temperature. D(ln(k h))/d(1/t) temperature dependence parameter for henry's. Which flame is the hottest? A combustible material. What Temperature Does Acetone Burn At.
From www.mysafetysign.com
Acetone History and Hazards MySafetySign Blog What Temperature Does Acetone Burn At A combustible material is a material that can burn (i.e., sustain a flame) in air under certain conditions. For all these values, the initial temperature of air, gas, and oxygen is 20 degrees celsius. A material is flammable if it ignites. Which flame is the hottest? Acetone is a highly flammable organic chemical that easily ignites at room temperature. So,. What Temperature Does Acetone Burn At.
From www.numerade.com
SOLVED This graph shows how the vapor pressure of three liquids varies What Temperature Does Acetone Burn At D(ln(k h))/d(1/t) temperature dependence parameter for henry's. Which flame is the hottest? A material is flammable if it ignites. For all these values, the initial temperature of air, gas, and oxygen is 20 degrees celsius. In gas form, it can be a serious explosion hazard as well. A combustible material is a material that can burn (i.e., sustain a flame). What Temperature Does Acetone Burn At.
From www.alamy.com
Acetylene from a cutting tip burning in air Stock Photo Alamy What Temperature Does Acetone Burn At A combustible material is a material that can burn (i.e., sustain a flame) in air under certain conditions. D(ln(k h))/d(1/t) temperature dependence parameter for henry's. Acetone is a highly flammable organic chemical that easily ignites at room temperature. So, it’s vital that you store acetone. In gas form, it can be a serious explosion hazard as well. You'll get the. What Temperature Does Acetone Burn At.
From www.researchgate.net
Effect of adsorption temperature on removal efficiency of acetone What Temperature Does Acetone Burn At Acetone is a highly flammable organic chemical that easily ignites at room temperature. So, it’s vital that you store acetone. A material is flammable if it ignites. The autoignition temperature for acetone is 869° f, which is low enough to be reached by all common ignition sources. You'll get the most bang for your buck, relatively. A combustible material is. What Temperature Does Acetone Burn At.
From www.researchgate.net
The temperature dependence of response to different concentrations of What Temperature Does Acetone Burn At Acetone is a highly flammable organic chemical that easily ignites at room temperature. The autoignition temperature for acetone is 869° f, which is low enough to be reached by all common ignition sources. You'll get the most bang for your buck, relatively. D(ln(k h))/d(1/t) temperature dependence parameter for henry's. So, it’s vital that you store acetone. A material is flammable. What Temperature Does Acetone Burn At.
From www.icliniq.com
Acetone Toxicity Causes Diagnosis Treatment What Temperature Does Acetone Burn At A combustible material is a material that can burn (i.e., sustain a flame) in air under certain conditions. For all these values, the initial temperature of air, gas, and oxygen is 20 degrees celsius. The autoignition temperature for acetone is 869° f, which is low enough to be reached by all common ignition sources. Acetone is a highly flammable organic. What Temperature Does Acetone Burn At.
From www.numerade.com
SOLVED (10 points) Acetone (CaHs0), common laboratory solvent (and What Temperature Does Acetone Burn At A material is flammable if it ignites. For all these values, the initial temperature of air, gas, and oxygen is 20 degrees celsius. In gas form, it can be a serious explosion hazard as well. You'll get the most bang for your buck, relatively. A combustible material is a material that can burn (i.e., sustain a flame) in air under. What Temperature Does Acetone Burn At.
From chemistnotes.com
Acetone Definition, Preparation, Properties, and 8 Important Uses What Temperature Does Acetone Burn At D(ln(k h))/d(1/t) temperature dependence parameter for henry's. In gas form, it can be a serious explosion hazard as well. Acetone is a highly flammable organic chemical that easily ignites at room temperature. You'll get the most bang for your buck, relatively. A material is flammable if it ignites. A combustible material is a material that can burn (i.e., sustain a. What Temperature Does Acetone Burn At.
From www.numerade.com
SOLVEDAcetone, a common laboratory solvent, has ΔHvap =29.1 kJ / mol What Temperature Does Acetone Burn At D(ln(k h))/d(1/t) temperature dependence parameter for henry's. A combustible material is a material that can burn (i.e., sustain a flame) in air under certain conditions. In gas form, it can be a serious explosion hazard as well. Acetone is a highly flammable organic chemical that easily ignites at room temperature. So, it’s vital that you store acetone. Which flame is. What Temperature Does Acetone Burn At.
From www.numerade.com
SOLVED Question 5 (20 marks) The normal boiling point of acetone, an What Temperature Does Acetone Burn At A combustible material is a material that can burn (i.e., sustain a flame) in air under certain conditions. For all these values, the initial temperature of air, gas, and oxygen is 20 degrees celsius. D(ln(k h))/d(1/t) temperature dependence parameter for henry's. The autoignition temperature for acetone is 869° f, which is low enough to be reached by all common ignition. What Temperature Does Acetone Burn At.
From www.researchgate.net
Variable temperature conductivity of 1·5(acetone). Download What Temperature Does Acetone Burn At You'll get the most bang for your buck, relatively. In gas form, it can be a serious explosion hazard as well. Acetone is a highly flammable organic chemical that easily ignites at room temperature. D(ln(k h))/d(1/t) temperature dependence parameter for henry's. A material is flammable if it ignites. So, it’s vital that you store acetone. A combustible material is a. What Temperature Does Acetone Burn At.
From www.researchgate.net
Acetone evaporation rate as a function of time for three different What Temperature Does Acetone Burn At A combustible material is a material that can burn (i.e., sustain a flame) in air under certain conditions. A material is flammable if it ignites. The autoignition temperature for acetone is 869° f, which is low enough to be reached by all common ignition sources. D(ln(k h))/d(1/t) temperature dependence parameter for henry's. You'll get the most bang for your buck,. What Temperature Does Acetone Burn At.
From www.researchgate.net
Responses to 50 ppm acetone at (a) different temperature and (b) the What Temperature Does Acetone Burn At You'll get the most bang for your buck, relatively. A combustible material is a material that can burn (i.e., sustain a flame) in air under certain conditions. The autoignition temperature for acetone is 869° f, which is low enough to be reached by all common ignition sources. So, it’s vital that you store acetone. A material is flammable if it. What Temperature Does Acetone Burn At.
From www.chegg.com
Thermodynamics Vapor Pressure of Acetone using What Temperature Does Acetone Burn At You'll get the most bang for your buck, relatively. D(ln(k h))/d(1/t) temperature dependence parameter for henry's. In gas form, it can be a serious explosion hazard as well. A material is flammable if it ignites. Which flame is the hottest? So, it’s vital that you store acetone. A combustible material is a material that can burn (i.e., sustain a flame). What Temperature Does Acetone Burn At.
From www.numerade.com
SOLVED The normal boiling point of acetone, an important laboratory What Temperature Does Acetone Burn At Which flame is the hottest? For all these values, the initial temperature of air, gas, and oxygen is 20 degrees celsius. D(ln(k h))/d(1/t) temperature dependence parameter for henry's. The autoignition temperature for acetone is 869° f, which is low enough to be reached by all common ignition sources. In gas form, it can be a serious explosion hazard as well.. What Temperature Does Acetone Burn At.
From safrole.com
The Ultimate Guide to Acetone Uses, Synthesis and Safety Precautions What Temperature Does Acetone Burn At Which flame is the hottest? Acetone is a highly flammable organic chemical that easily ignites at room temperature. For all these values, the initial temperature of air, gas, and oxygen is 20 degrees celsius. In gas form, it can be a serious explosion hazard as well. So, it’s vital that you store acetone. A combustible material is a material that. What Temperature Does Acetone Burn At.
From guides.co
Flammable Liquids FD202 Fundamentals of Fire and Combustion on Guides What Temperature Does Acetone Burn At In gas form, it can be a serious explosion hazard as well. So, it’s vital that you store acetone. D(ln(k h))/d(1/t) temperature dependence parameter for henry's. You'll get the most bang for your buck, relatively. A combustible material is a material that can burn (i.e., sustain a flame) in air under certain conditions. Acetone is a highly flammable organic chemical. What Temperature Does Acetone Burn At.
From www.youtube.com
Is Acetone Flammable? How safe is Acetone? YouTube What Temperature Does Acetone Burn At In gas form, it can be a serious explosion hazard as well. Acetone is a highly flammable organic chemical that easily ignites at room temperature. So, it’s vital that you store acetone. For all these values, the initial temperature of air, gas, and oxygen is 20 degrees celsius. A combustible material is a material that can burn (i.e., sustain a. What Temperature Does Acetone Burn At.
From www.researchgate.net
Energy level diagram for acetone dissociation adapted from Ref. 19 What Temperature Does Acetone Burn At D(ln(k h))/d(1/t) temperature dependence parameter for henry's. Which flame is the hottest? The autoignition temperature for acetone is 869° f, which is low enough to be reached by all common ignition sources. For all these values, the initial temperature of air, gas, and oxygen is 20 degrees celsius. A material is flammable if it ignites. A combustible material is a. What Temperature Does Acetone Burn At.
From scienceforlifeamp.blogspot.com
Science for life! Session 7 Evaporation Investigation What Temperature Does Acetone Burn At A combustible material is a material that can burn (i.e., sustain a flame) in air under certain conditions. D(ln(k h))/d(1/t) temperature dependence parameter for henry's. For all these values, the initial temperature of air, gas, and oxygen is 20 degrees celsius. A material is flammable if it ignites. So, it’s vital that you store acetone. In gas form, it can. What Temperature Does Acetone Burn At.
From lumenlearning-2000.blogspot.com
Viscosity Of Acetone Lumen Learning What Temperature Does Acetone Burn At You'll get the most bang for your buck, relatively. Which flame is the hottest? A material is flammable if it ignites. In gas form, it can be a serious explosion hazard as well. So, it’s vital that you store acetone. The autoignition temperature for acetone is 869° f, which is low enough to be reached by all common ignition sources.. What Temperature Does Acetone Burn At.
From www.researchgate.net
Logistic function that describes the fraction of burning acetone on the What Temperature Does Acetone Burn At A material is flammable if it ignites. Acetone is a highly flammable organic chemical that easily ignites at room temperature. In gas form, it can be a serious explosion hazard as well. The autoignition temperature for acetone is 869° f, which is low enough to be reached by all common ignition sources. For all these values, the initial temperature of. What Temperature Does Acetone Burn At.