Acceleration Of Km/Hr . 27 rows acceleration is the rate of change of velocity with time. M/s/s mi/hr/s km/hr/s m/s 2. Learn the definition, formula, and examples of acceleration, the change in velocity divided by time. Learn how to find acceleration using three different methods based on speed difference, distance traveled, or mass and force. Learn how to calculate and describe acceleration, a vector quantity that changes when velocity changes in magnitude or direction. Learn what acceleration is, how to calculate it, and see examples of different types of acceleration. Acceleration values are expressed in units of velocity/time. It can be positive, negative, or zero depending on whether the velocity is. Define and distinguish between instantaneous acceleration, average. Use the online calculator to perform calculations and. Typical acceleration units include the following: By the end of this section, you will be able to: Explore positive, negative, and zero.
from www.youtube.com
Learn how to find acceleration using three different methods based on speed difference, distance traveled, or mass and force. Typical acceleration units include the following: Define and distinguish between instantaneous acceleration, average. It can be positive, negative, or zero depending on whether the velocity is. 27 rows acceleration is the rate of change of velocity with time. Learn how to calculate and describe acceleration, a vector quantity that changes when velocity changes in magnitude or direction. Explore positive, negative, and zero. Learn the definition, formula, and examples of acceleration, the change in velocity divided by time. Use the online calculator to perform calculations and. Learn what acceleration is, how to calculate it, and see examples of different types of acceleration.
The velocity graph of car accelerating from rest to a speed of 120 km/h over a period of 30
Acceleration Of Km/Hr It can be positive, negative, or zero depending on whether the velocity is. Learn the definition, formula, and examples of acceleration, the change in velocity divided by time. Learn how to find acceleration using three different methods based on speed difference, distance traveled, or mass and force. Learn what acceleration is, how to calculate it, and see examples of different types of acceleration. 27 rows acceleration is the rate of change of velocity with time. It can be positive, negative, or zero depending on whether the velocity is. Use the online calculator to perform calculations and. Explore positive, negative, and zero. Acceleration values are expressed in units of velocity/time. Typical acceleration units include the following: By the end of this section, you will be able to: Learn how to calculate and describe acceleration, a vector quantity that changes when velocity changes in magnitude or direction. Define and distinguish between instantaneous acceleration, average. M/s/s mi/hr/s km/hr/s m/s 2.
From exohyszky.blob.core.windows.net
Can Acceleration Be In Km/H at Lillie Shabazz blog Acceleration Of Km/Hr It can be positive, negative, or zero depending on whether the velocity is. Explore positive, negative, and zero. Learn how to find acceleration using three different methods based on speed difference, distance traveled, or mass and force. M/s/s mi/hr/s km/hr/s m/s 2. By the end of this section, you will be able to: Learn what acceleration is, how to calculate. Acceleration Of Km/Hr.
From byjus.com
8.A bicycle increase its velocity from 10 km/h to 15km/h in 6 seconds.Calculate its acceleration Acceleration Of Km/Hr Acceleration values are expressed in units of velocity/time. Learn how to find acceleration using three different methods based on speed difference, distance traveled, or mass and force. Explore positive, negative, and zero. Use the online calculator to perform calculations and. It can be positive, negative, or zero depending on whether the velocity is. Typical acceleration units include the following: By. Acceleration Of Km/Hr.
From edurev.in
A car moves with a speed of 40 km/h for 15 minutes and then with a speed of 60 km/hr for the Acceleration Of Km/Hr Explore positive, negative, and zero. Learn how to find acceleration using three different methods based on speed difference, distance traveled, or mass and force. Use the online calculator to perform calculations and. Define and distinguish between instantaneous acceleration, average. Acceleration values are expressed in units of velocity/time. M/s/s mi/hr/s km/hr/s m/s 2. By the end of this section, you will. Acceleration Of Km/Hr.
From studylib.net
Calculating acceleration Acceleration Of Km/Hr Learn how to find acceleration using three different methods based on speed difference, distance traveled, or mass and force. Explore positive, negative, and zero. Learn the definition, formula, and examples of acceleration, the change in velocity divided by time. Typical acceleration units include the following: Learn what acceleration is, how to calculate it, and see examples of different types of. Acceleration Of Km/Hr.
From www.youtube.com
The velocity graph of car accelerating from rest to a speed of 120 km/h over a period of 30 Acceleration Of Km/Hr 27 rows acceleration is the rate of change of velocity with time. Define and distinguish between instantaneous acceleration, average. Typical acceleration units include the following: Learn the definition, formula, and examples of acceleration, the change in velocity divided by time. By the end of this section, you will be able to: Explore positive, negative, and zero. M/s/s mi/hr/s km/hr/s m/s. Acceleration Of Km/Hr.
From www.numerade.com
SOLVED A car accelerates uniformly from 20 km/h to 35 km/h in 5 seconds. Find the acceleration. Acceleration Of Km/Hr 27 rows acceleration is the rate of change of velocity with time. M/s/s mi/hr/s km/hr/s m/s 2. Define and distinguish between instantaneous acceleration, average. Learn what acceleration is, how to calculate it, and see examples of different types of acceleration. Acceleration values are expressed in units of velocity/time. Explore positive, negative, and zero. Learn how to calculate and describe acceleration,. Acceleration Of Km/Hr.
From www.youtube.com
How to Calculate the Average Speed in Kilometers per Hour YouTube Acceleration Of Km/Hr Define and distinguish between instantaneous acceleration, average. M/s/s mi/hr/s km/hr/s m/s 2. 27 rows acceleration is the rate of change of velocity with time. Use the online calculator to perform calculations and. Explore positive, negative, and zero. Learn the definition, formula, and examples of acceleration, the change in velocity divided by time. Learn what acceleration is, how to calculate it,. Acceleration Of Km/Hr.
From www.toppr.com
A train starting from a railway station and moving with uniform acceleration attains a speed of Acceleration Of Km/Hr 27 rows acceleration is the rate of change of velocity with time. Acceleration values are expressed in units of velocity/time. Use the online calculator to perform calculations and. By the end of this section, you will be able to: M/s/s mi/hr/s km/hr/s m/s 2. Explore positive, negative, and zero. It can be positive, negative, or zero depending on whether the. Acceleration Of Km/Hr.
From www.numerade.com
SOLVED A car overtaking a trailer uniformly accelerated its speed from 40 km/hr to 90 km/hr in Acceleration Of Km/Hr 27 rows acceleration is the rate of change of velocity with time. Learn the definition, formula, and examples of acceleration, the change in velocity divided by time. M/s/s mi/hr/s km/hr/s m/s 2. Define and distinguish between instantaneous acceleration, average. Acceleration values are expressed in units of velocity/time. Typical acceleration units include the following: By the end of this section, you. Acceleration Of Km/Hr.
From brainly.in
A bus starts from rest and attains a speed of 36 km/hr in 10 minutes while moving with uniform Acceleration Of Km/Hr Learn how to calculate and describe acceleration, a vector quantity that changes when velocity changes in magnitude or direction. Typical acceleration units include the following: Learn what acceleration is, how to calculate it, and see examples of different types of acceleration. By the end of this section, you will be able to: Explore positive, negative, and zero. Learn the definition,. Acceleration Of Km/Hr.
From brainly.in
a car accelerates uniformly from 18 km/h to 36 km/h in 5 minutes . calculate the acceleration in Acceleration Of Km/Hr Learn what acceleration is, how to calculate it, and see examples of different types of acceleration. Define and distinguish between instantaneous acceleration, average. M/s/s mi/hr/s km/hr/s m/s 2. Use the online calculator to perform calculations and. Learn how to find acceleration using three different methods based on speed difference, distance traveled, or mass and force. Acceleration values are expressed in. Acceleration Of Km/Hr.
From www.numerade.com
SOLVED a) What is the magnitude of the centripetal acceleration of a car following curve of Acceleration Of Km/Hr Learn how to find acceleration using three different methods based on speed difference, distance traveled, or mass and force. Acceleration values are expressed in units of velocity/time. Typical acceleration units include the following: M/s/s mi/hr/s km/hr/s m/s 2. It can be positive, negative, or zero depending on whether the velocity is. Explore positive, negative, and zero. Use the online calculator. Acceleration Of Km/Hr.
From www.youtube.com
A car travelling at 20 km/h speeds up to 60 km/h in 6 seconds. What is its acceleration ? YouTube Acceleration Of Km/Hr 27 rows acceleration is the rate of change of velocity with time. Define and distinguish between instantaneous acceleration, average. Use the online calculator to perform calculations and. Explore positive, negative, and zero. Learn what acceleration is, how to calculate it, and see examples of different types of acceleration. Acceleration values are expressed in units of velocity/time. Typical acceleration units include. Acceleration Of Km/Hr.
From www.slideserve.com
PPT Acceleration PowerPoint Presentation, free download ID5957192 Acceleration Of Km/Hr It can be positive, negative, or zero depending on whether the velocity is. Learn how to calculate and describe acceleration, a vector quantity that changes when velocity changes in magnitude or direction. Use the online calculator to perform calculations and. 27 rows acceleration is the rate of change of velocity with time. Define and distinguish between instantaneous acceleration, average. M/s/s. Acceleration Of Km/Hr.
From www.teachoo.com
Q2 Page 103 A bus decreases its speed from 80 km/h to 60 km/h in 5 s Acceleration Of Km/Hr Learn how to find acceleration using three different methods based on speed difference, distance traveled, or mass and force. Explore positive, negative, and zero. Acceleration values are expressed in units of velocity/time. Learn the definition, formula, and examples of acceleration, the change in velocity divided by time. Define and distinguish between instantaneous acceleration, average. M/s/s mi/hr/s km/hr/s m/s 2. Typical. Acceleration Of Km/Hr.
From www.youtube.com
A car accelerates uniformly from 18 km/h to 36 km/h in 5 seconds . Calculate the acceleration Acceleration Of Km/Hr Use the online calculator to perform calculations and. Learn how to calculate and describe acceleration, a vector quantity that changes when velocity changes in magnitude or direction. By the end of this section, you will be able to: Typical acceleration units include the following: Learn the definition, formula, and examples of acceleration, the change in velocity divided by time. M/s/s. Acceleration Of Km/Hr.
From haipernews.com
How To Calculate Distance Covered During Acceleration Haiper Acceleration Of Km/Hr It can be positive, negative, or zero depending on whether the velocity is. Learn how to calculate and describe acceleration, a vector quantity that changes when velocity changes in magnitude or direction. Typical acceleration units include the following: Learn the definition, formula, and examples of acceleration, the change in velocity divided by time. By the end of this section, you. Acceleration Of Km/Hr.
From www.youtube.com
2. A bus decreases its speed from 80 km h−1 to 60 km h−1 in 5 s. Find the acceleration of the Acceleration Of Km/Hr Learn how to find acceleration using three different methods based on speed difference, distance traveled, or mass and force. Acceleration values are expressed in units of velocity/time. M/s/s mi/hr/s km/hr/s m/s 2. Learn what acceleration is, how to calculate it, and see examples of different types of acceleration. It can be positive, negative, or zero depending on whether the velocity. Acceleration Of Km/Hr.
From www.numerade.com
SOLVED A car accelerates from rest to a speed of 36 km/hr in 20 seconds. What is the Acceleration Of Km/Hr Learn how to calculate and describe acceleration, a vector quantity that changes when velocity changes in magnitude or direction. Acceleration values are expressed in units of velocity/time. By the end of this section, you will be able to: It can be positive, negative, or zero depending on whether the velocity is. Explore positive, negative, and zero. M/s/s mi/hr/s km/hr/s m/s. Acceleration Of Km/Hr.
From www.numerade.com
The car A has a forward speed of 18 km / h and is accelerating at 3 m / s^2. Determine the Acceleration Of Km/Hr Typical acceleration units include the following: It can be positive, negative, or zero depending on whether the velocity is. Use the online calculator to perform calculations and. Explore positive, negative, and zero. Learn what acceleration is, how to calculate it, and see examples of different types of acceleration. Acceleration values are expressed in units of velocity/time. 27 rows acceleration is. Acceleration Of Km/Hr.
From slideplayer.com
Acceleration. ppt download Acceleration Of Km/Hr M/s/s mi/hr/s km/hr/s m/s 2. 27 rows acceleration is the rate of change of velocity with time. It can be positive, negative, or zero depending on whether the velocity is. Learn how to find acceleration using three different methods based on speed difference, distance traveled, or mass and force. Learn the definition, formula, and examples of acceleration, the change in. Acceleration Of Km/Hr.
From www.toppr.com
A car increases its speed from 20 km/hr to 30 km/hr in 10 seconds. Its acceleration is Acceleration Of Km/Hr Learn what acceleration is, how to calculate it, and see examples of different types of acceleration. Learn how to find acceleration using three different methods based on speed difference, distance traveled, or mass and force. Use the online calculator to perform calculations and. Learn how to calculate and describe acceleration, a vector quantity that changes when velocity changes in magnitude. Acceleration Of Km/Hr.
From brainly.in
a car start from rest and acquires a velocity of 90 km/hr in 15s. calculate acceleration Acceleration Of Km/Hr Learn what acceleration is, how to calculate it, and see examples of different types of acceleration. By the end of this section, you will be able to: Use the online calculator to perform calculations and. Explore positive, negative, and zero. Learn the definition, formula, and examples of acceleration, the change in velocity divided by time. Acceleration values are expressed in. Acceleration Of Km/Hr.
From www.numerade.com
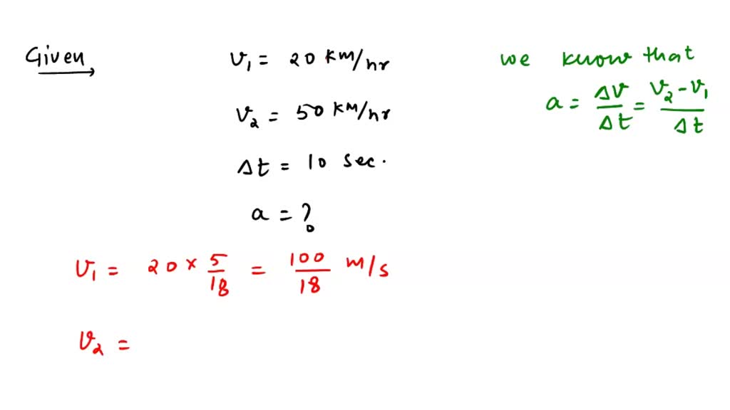
SOLVED '1. The speed of a motorcycle increases from 10 km/hr to 50 km/hr in 9 seconds. What is Acceleration Of Km/Hr Learn how to calculate and describe acceleration, a vector quantity that changes when velocity changes in magnitude or direction. It can be positive, negative, or zero depending on whether the velocity is. Learn the definition, formula, and examples of acceleration, the change in velocity divided by time. M/s/s mi/hr/s km/hr/s m/s 2. Explore positive, negative, and zero. By the end. Acceleration Of Km/Hr.
From www.youtube.com
Convert an acceleration of 10 m/s2 to km/hr 2 YouTube Acceleration Of Km/Hr Typical acceleration units include the following: Explore positive, negative, and zero. Acceleration values are expressed in units of velocity/time. Learn the definition, formula, and examples of acceleration, the change in velocity divided by time. By the end of this section, you will be able to: Learn how to find acceleration using three different methods based on speed difference, distance traveled,. Acceleration Of Km/Hr.
From www.youtube.com
How To Convert From Km/hr to m/s and m/s to Km/hr With Shortcut! YouTube Acceleration Of Km/Hr Learn what acceleration is, how to calculate it, and see examples of different types of acceleration. M/s/s mi/hr/s km/hr/s m/s 2. It can be positive, negative, or zero depending on whether the velocity is. Use the online calculator to perform calculations and. Learn how to find acceleration using three different methods based on speed difference, distance traveled, or mass and. Acceleration Of Km/Hr.
From brainly.in
A train starting from a railway station and moving with uniform acceleration attains a speed 40 Acceleration Of Km/Hr Define and distinguish between instantaneous acceleration, average. Typical acceleration units include the following: Learn how to find acceleration using three different methods based on speed difference, distance traveled, or mass and force. Learn the definition, formula, and examples of acceleration, the change in velocity divided by time. M/s/s mi/hr/s km/hr/s m/s 2. By the end of this section, you will. Acceleration Of Km/Hr.
From www.numerade.com
SOLVED A car increases its speed from 20 km/h to 50 km/h in 10 seconds. What is its acceleration? Acceleration Of Km/Hr Acceleration values are expressed in units of velocity/time. By the end of this section, you will be able to: Learn how to find acceleration using three different methods based on speed difference, distance traveled, or mass and force. Learn how to calculate and describe acceleration, a vector quantity that changes when velocity changes in magnitude or direction. 27 rows acceleration. Acceleration Of Km/Hr.
From aloysiusilenna.blogspot.com
How Fast Is 20 Km Per Hour AloysiusIlenna Acceleration Of Km/Hr Learn how to calculate and describe acceleration, a vector quantity that changes when velocity changes in magnitude or direction. Learn how to find acceleration using three different methods based on speed difference, distance traveled, or mass and force. Explore positive, negative, and zero. Acceleration values are expressed in units of velocity/time. Define and distinguish between instantaneous acceleration, average. 27 rows. Acceleration Of Km/Hr.
From www.toppr.com
A car accelerates uniformly from 18 km/h to 36 km/h in 5s . The distance covered by the car will be Acceleration Of Km/Hr 27 rows acceleration is the rate of change of velocity with time. Use the online calculator to perform calculations and. M/s/s mi/hr/s km/hr/s m/s 2. Explore positive, negative, and zero. Define and distinguish between instantaneous acceleration, average. Learn the definition, formula, and examples of acceleration, the change in velocity divided by time. Learn how to find acceleration using three different. Acceleration Of Km/Hr.
From www.youtube.com
The value of acceleration due to gravity at a place is `9.8ms^(2)`. Find its value in `km h^(2 Acceleration Of Km/Hr Acceleration values are expressed in units of velocity/time. Learn what acceleration is, how to calculate it, and see examples of different types of acceleration. M/s/s mi/hr/s km/hr/s m/s 2. Typical acceleration units include the following: Define and distinguish between instantaneous acceleration, average. Learn the definition, formula, and examples of acceleration, the change in velocity divided by time. Learn how to. Acceleration Of Km/Hr.
From www.slideserve.com
PPT Speed, Velocity and Acceleration PowerPoint Presentation, free download ID3068166 Acceleration Of Km/Hr Define and distinguish between instantaneous acceleration, average. Typical acceleration units include the following: Learn how to find acceleration using three different methods based on speed difference, distance traveled, or mass and force. 27 rows acceleration is the rate of change of velocity with time. Learn how to calculate and describe acceleration, a vector quantity that changes when velocity changes in. Acceleration Of Km/Hr.
From www.teachoo.com
Example 8.5 A train starting from rest attains a velocity of 72 km/h Acceleration Of Km/Hr It can be positive, negative, or zero depending on whether the velocity is. Use the online calculator to perform calculations and. By the end of this section, you will be able to: Learn how to find acceleration using three different methods based on speed difference, distance traveled, or mass and force. 27 rows acceleration is the rate of change of. Acceleration Of Km/Hr.
From www.toppr.com
A car accelerates uniformly from 18 km/h to 36 km/h in 5 sec, calculate the acceleration. Acceleration Of Km/Hr M/s/s mi/hr/s km/hr/s m/s 2. Use the online calculator to perform calculations and. Learn what acceleration is, how to calculate it, and see examples of different types of acceleration. Learn how to find acceleration using three different methods based on speed difference, distance traveled, or mass and force. Define and distinguish between instantaneous acceleration, average. Learn the definition, formula, and. Acceleration Of Km/Hr.
From www.youtube.com
A car accelerates uniformly from 18 km h^1 to 36 km h^1 in 5 s. Calculate (i) the acceleration Acceleration Of Km/Hr Acceleration values are expressed in units of velocity/time. Use the online calculator to perform calculations and. 27 rows acceleration is the rate of change of velocity with time. Learn how to calculate and describe acceleration, a vector quantity that changes when velocity changes in magnitude or direction. M/s/s mi/hr/s km/hr/s m/s 2. Learn how to find acceleration using three different. Acceleration Of Km/Hr.