Example Of Lease Contract In The Philippines . Know all men by these presents: Sample of a lease agreement in the philippines. Download this lease agreement for any type of residential property including houses, villas, apartments, condos or townhouses in philippines. This contract of lease made and executed by and between: Sample lease contract for commercial unit. This contract is between [name of lessor] (“lessor”) and [name of lessee], of legal. This rental agreement conveys to the tenants their right to live and furnish a specific property for a predetermined period while the landlord retains ownership. This lease agreement (agreement) is made and executed at the city/municipality of. A lease contract concludes a legally binding contract between the tenants and the landlord. This contract of lease is made and executed at the city of _____, this day of _____, 20__, by and between: (lessor's full name), of legal age, (civil status), filipino national and a resident of (complete address), philippines, hereinafter. A residential lease agreement identifies basic information about the lease such. ( name of lessor ), of legal age,.
from philippines.themispartner.com
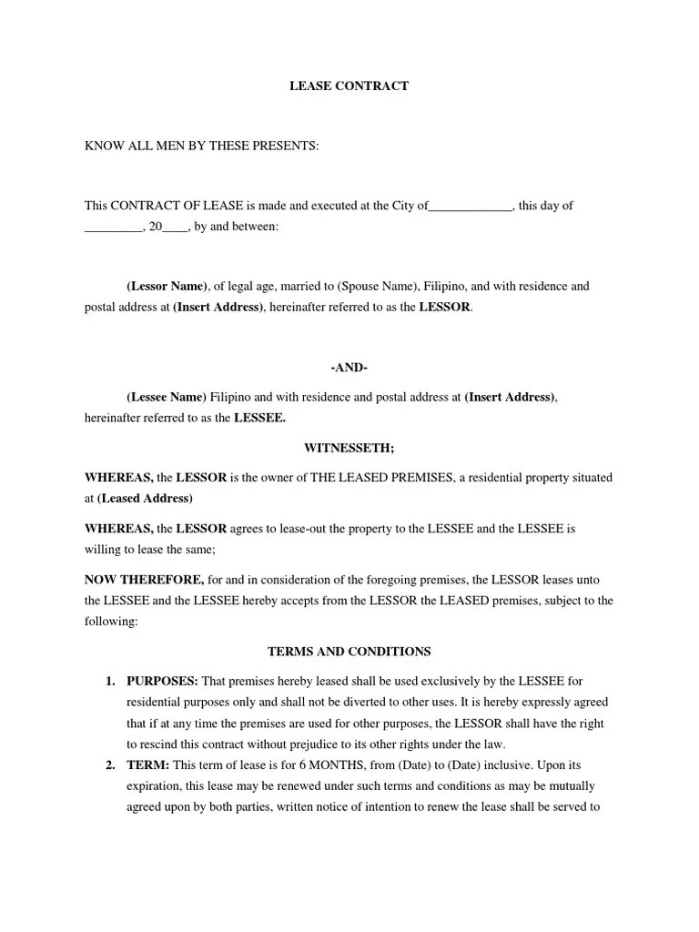
This contract of lease is made and executed at the city of _____, this day of _____, 20__, by and between: Sample lease contract for commercial unit. This contract of lease made and executed by and between: This contract is between [name of lessor] (“lessor”) and [name of lessee], of legal. A residential lease agreement identifies basic information about the lease such. This lease agreement (agreement) is made and executed at the city/municipality of. Download this lease agreement for any type of residential property including houses, villas, apartments, condos or townhouses in philippines. Know all men by these presents: Sample of a lease agreement in the philippines. (lessor's full name), of legal age, (civil status), filipino national and a resident of (complete address), philippines, hereinafter.
Lease Agreement in Philippines Download Word Template (.doc)
Example Of Lease Contract In The Philippines A residential lease agreement identifies basic information about the lease such. (lessor's full name), of legal age, (civil status), filipino national and a resident of (complete address), philippines, hereinafter. Know all men by these presents: Download this lease agreement for any type of residential property including houses, villas, apartments, condos or townhouses in philippines. This contract of lease is made and executed at the city of _____, this day of _____, 20__, by and between: This rental agreement conveys to the tenants their right to live and furnish a specific property for a predetermined period while the landlord retains ownership. A lease contract concludes a legally binding contract between the tenants and the landlord. Sample of a lease agreement in the philippines. Sample lease contract for commercial unit. This contract is between [name of lessor] (“lessor”) and [name of lessee], of legal. This contract of lease made and executed by and between: A residential lease agreement identifies basic information about the lease such. ( name of lessor ), of legal age,. This lease agreement (agreement) is made and executed at the city/municipality of.
From www.studocu.com
Contract of Lease format for notarization CONTRACT OF LEASE KNOW ALL Example Of Lease Contract In The Philippines ( name of lessor ), of legal age,. Know all men by these presents: A residential lease agreement identifies basic information about the lease such. A lease contract concludes a legally binding contract between the tenants and the landlord. This rental agreement conveys to the tenants their right to live and furnish a specific property for a predetermined period while. Example Of Lease Contract In The Philippines.
From www.studocu.com
Sample Format Lease of Contract LEASE CONTRACT KNOW ALL MEN BY THESE Example Of Lease Contract In The Philippines ( name of lessor ), of legal age,. This contract of lease made and executed by and between: Download this lease agreement for any type of residential property including houses, villas, apartments, condos or townhouses in philippines. Sample of a lease agreement in the philippines. Sample lease contract for commercial unit. This rental agreement conveys to the tenants their right. Example Of Lease Contract In The Philippines.
From cpmgi.com.ph
Understanding the Legalities of Lease Contracts in the Philippines CPMGI Example Of Lease Contract In The Philippines Sample of a lease agreement in the philippines. ( name of lessor ), of legal age,. Know all men by these presents: This lease agreement (agreement) is made and executed at the city/municipality of. A lease contract concludes a legally binding contract between the tenants and the landlord. Sample lease contract for commercial unit. This rental agreement conveys to the. Example Of Lease Contract In The Philippines.
From letterbox7.blogspot.com
Contract Of Lease Sample Philippines How To Choose Between Short Term Example Of Lease Contract In The Philippines ( name of lessor ), of legal age,. This contract is between [name of lessor] (“lessor”) and [name of lessee], of legal. A residential lease agreement identifies basic information about the lease such. A lease contract concludes a legally binding contract between the tenants and the landlord. This lease agreement (agreement) is made and executed at the city/municipality of. This. Example Of Lease Contract In The Philippines.
From legal-forms.philsite.net
Contract of Lease or Rent Free Philippine Legal Form Example Of Lease Contract In The Philippines This contract is between [name of lessor] (“lessor”) and [name of lessee], of legal. Sample lease contract for commercial unit. This contract of lease made and executed by and between: This contract of lease is made and executed at the city of _____, this day of _____, 20__, by and between: This rental agreement conveys to the tenants their right. Example Of Lease Contract In The Philippines.
From www.lexub.com
Lexub Contract of Lease Philippines Example Of Lease Contract In The Philippines This contract is between [name of lessor] (“lessor”) and [name of lessee], of legal. Download this lease agreement for any type of residential property including houses, villas, apartments, condos or townhouses in philippines. (lessor's full name), of legal age, (civil status), filipino national and a resident of (complete address), philippines, hereinafter. Sample of a lease agreement in the philippines. Sample. Example Of Lease Contract In The Philippines.
From www.signnow.com
Simple Farm Land Lease Agreement Form Philippines airSlate SignNow Example Of Lease Contract In The Philippines ( name of lessor ), of legal age,. This lease agreement (agreement) is made and executed at the city/municipality of. This contract of lease made and executed by and between: This contract is between [name of lessor] (“lessor”) and [name of lessee], of legal. (lessor's full name), of legal age, (civil status), filipino national and a resident of (complete address),. Example Of Lease Contract In The Philippines.
From www.dochub.com
Parking space rental agreement philippines Fill out & sign online DocHub Example Of Lease Contract In The Philippines This contract of lease is made and executed at the city of _____, this day of _____, 20__, by and between: This rental agreement conveys to the tenants their right to live and furnish a specific property for a predetermined period while the landlord retains ownership. ( name of lessor ), of legal age,. This lease agreement (agreement) is made. Example Of Lease Contract In The Philippines.
From exybmsnja.blob.core.windows.net
Philippines House Rental Law at Allen Cowley blog Example Of Lease Contract In The Philippines ( name of lessor ), of legal age,. This lease agreement (agreement) is made and executed at the city/municipality of. This rental agreement conveys to the tenants their right to live and furnish a specific property for a predetermined period while the landlord retains ownership. This contract of lease made and executed by and between: This contract of lease is. Example Of Lease Contract In The Philippines.
From www.pdffiller.com
Contract of Lease Simple Philippines Free Legal s Doc Template Example Of Lease Contract In The Philippines This contract is between [name of lessor] (“lessor”) and [name of lessee], of legal. Know all men by these presents: This contract of lease is made and executed at the city of _____, this day of _____, 20__, by and between: Download this lease agreement for any type of residential property including houses, villas, apartments, condos or townhouses in philippines.. Example Of Lease Contract In The Philippines.
From stevenhernandezk2ja.web.app
Cell Tower Land Lease Rates In Philippines Example Of Lease Contract In The Philippines This lease agreement (agreement) is made and executed at the city/municipality of. A lease contract concludes a legally binding contract between the tenants and the landlord. This contract is between [name of lessor] (“lessor”) and [name of lessee], of legal. This rental agreement conveys to the tenants their right to live and furnish a specific property for a predetermined period. Example Of Lease Contract In The Philippines.
From www.wordpdftemplates.com
Lease Agreement Templates 12+ Free Word, Excel & PDF Formats, Samples Example Of Lease Contract In The Philippines Download this lease agreement for any type of residential property including houses, villas, apartments, condos or townhouses in philippines. Sample of a lease agreement in the philippines. A residential lease agreement identifies basic information about the lease such. Sample lease contract for commercial unit. This contract is between [name of lessor] (“lessor”) and [name of lessee], of legal. (lessor's full. Example Of Lease Contract In The Philippines.
From bridgeportbenedumfestival.com
House Rental Agreement Sample Philippines HOME SWEET HOME Example Of Lease Contract In The Philippines ( name of lessor ), of legal age,. This contract of lease is made and executed at the city of _____, this day of _____, 20__, by and between: Sample of a lease agreement in the philippines. Know all men by these presents: A residential lease agreement identifies basic information about the lease such. This contract of lease made and. Example Of Lease Contract In The Philippines.
From www.slideshare.net
Lease contract Example Of Lease Contract In The Philippines Sample lease contract for commercial unit. A residential lease agreement identifies basic information about the lease such. Download this lease agreement for any type of residential property including houses, villas, apartments, condos or townhouses in philippines. Know all men by these presents: This contract of lease is made and executed at the city of _____, this day of _____, 20__,. Example Of Lease Contract In The Philippines.
From www.scribd.com
Contract of Lease Lease Philippines Example Of Lease Contract In The Philippines A residential lease agreement identifies basic information about the lease such. Know all men by these presents: Sample lease contract for commercial unit. Sample of a lease agreement in the philippines. This contract of lease is made and executed at the city of _____, this day of _____, 20__, by and between: This rental agreement conveys to the tenants their. Example Of Lease Contract In The Philippines.
From philippines.themispartner.com
Lease Agreement in Philippines Download Word Template (.doc) Example Of Lease Contract In The Philippines This contract of lease is made and executed at the city of _____, this day of _____, 20__, by and between: Sample lease contract for commercial unit. This lease agreement (agreement) is made and executed at the city/municipality of. (lessor's full name), of legal age, (civil status), filipino national and a resident of (complete address), philippines, hereinafter. A lease contract. Example Of Lease Contract In The Philippines.
From legal-forms.philsite.net
Contract of Lease or Rent Free Philippine Legal Form Example Of Lease Contract In The Philippines A residential lease agreement identifies basic information about the lease such. ( name of lessor ), of legal age,. This rental agreement conveys to the tenants their right to live and furnish a specific property for a predetermined period while the landlord retains ownership. This contract of lease made and executed by and between: This lease agreement (agreement) is made. Example Of Lease Contract In The Philippines.
From www.wonder.legal
Commercial Lease Agreement Sample Template Example Of Lease Contract In The Philippines ( name of lessor ), of legal age,. (lessor's full name), of legal age, (civil status), filipino national and a resident of (complete address), philippines, hereinafter. This lease agreement (agreement) is made and executed at the city/municipality of. Sample of a lease agreement in the philippines. This contract of lease made and executed by and between: This contract of lease. Example Of Lease Contract In The Philippines.
From www.pinterest.com
contract lease in tagalog Rental agreement templates, Tagalog, Contract Example Of Lease Contract In The Philippines (lessor's full name), of legal age, (civil status), filipino national and a resident of (complete address), philippines, hereinafter. Know all men by these presents: A residential lease agreement identifies basic information about the lease such. This contract of lease made and executed by and between: This lease agreement (agreement) is made and executed at the city/municipality of. Sample of a. Example Of Lease Contract In The Philippines.
From www.examples.com
Lease Contract 16+ Examples, Format, Word, Pages, PDF Example Of Lease Contract In The Philippines This contract is between [name of lessor] (“lessor”) and [name of lessee], of legal. (lessor's full name), of legal age, (civil status), filipino national and a resident of (complete address), philippines, hereinafter. This rental agreement conveys to the tenants their right to live and furnish a specific property for a predetermined period while the landlord retains ownership. Sample of a. Example Of Lease Contract In The Philippines.
From studylib.net
SAMPLE CONTRACT OF LEASE Example Of Lease Contract In The Philippines This contract is between [name of lessor] (“lessor”) and [name of lessee], of legal. Sample of a lease agreement in the philippines. Know all men by these presents: (lessor's full name), of legal age, (civil status), filipino national and a resident of (complete address), philippines, hereinafter. A residential lease agreement identifies basic information about the lease such. This contract of. Example Of Lease Contract In The Philippines.
From letterbox7.blogspot.com
Contract Of Lease Sample Philippines How To Choose Between Short Term Example Of Lease Contract In The Philippines A residential lease agreement identifies basic information about the lease such. Download this lease agreement for any type of residential property including houses, villas, apartments, condos or townhouses in philippines. ( name of lessor ), of legal age,. A lease contract concludes a legally binding contract between the tenants and the landlord. This contract of lease is made and executed. Example Of Lease Contract In The Philippines.
From www.attymarcelino.com
Contract of Lease sample template and format Free Download Example Of Lease Contract In The Philippines Download this lease agreement for any type of residential property including houses, villas, apartments, condos or townhouses in philippines. A lease contract concludes a legally binding contract between the tenants and the landlord. This lease agreement (agreement) is made and executed at the city/municipality of. Sample lease contract for commercial unit. This contract of lease is made and executed at. Example Of Lease Contract In The Philippines.
From legal-forms.philsite.net
Contract of Lease or Rent Free Philippine Legal Form Example Of Lease Contract In The Philippines This contract is between [name of lessor] (“lessor”) and [name of lessee], of legal. This rental agreement conveys to the tenants their right to live and furnish a specific property for a predetermined period while the landlord retains ownership. ( name of lessor ), of legal age,. (lessor's full name), of legal age, (civil status), filipino national and a resident. Example Of Lease Contract In The Philippines.
From enterstarcrypticcity.blogspot.com
Management Contract Sample Philippines PDF Template Example Of Lease Contract In The Philippines Sample lease contract for commercial unit. Know all men by these presents: This lease agreement (agreement) is made and executed at the city/municipality of. This contract of lease is made and executed at the city of _____, this day of _____, 20__, by and between: Sample of a lease agreement in the philippines. This rental agreement conveys to the tenants. Example Of Lease Contract In The Philippines.
From www.studocu.com
ContractofLease a template of a contract of lease CONTRACT OF Example Of Lease Contract In The Philippines Sample of a lease agreement in the philippines. A residential lease agreement identifies basic information about the lease such. This rental agreement conveys to the tenants their right to live and furnish a specific property for a predetermined period while the landlord retains ownership. This contract of lease is made and executed at the city of _____, this day of. Example Of Lease Contract In The Philippines.
From www.wonder.legal
Residential Lease Agreement Sample Template Example Of Lease Contract In The Philippines This lease agreement (agreement) is made and executed at the city/municipality of. This contract of lease made and executed by and between: ( name of lessor ), of legal age,. This rental agreement conveys to the tenants their right to live and furnish a specific property for a predetermined period while the landlord retains ownership. Know all men by these. Example Of Lease Contract In The Philippines.
From www.scribd.com
Philippine Lease Contract PDF Lease Government Example Of Lease Contract In The Philippines (lessor's full name), of legal age, (civil status), filipino national and a resident of (complete address), philippines, hereinafter. This contract of lease made and executed by and between: This rental agreement conveys to the tenants their right to live and furnish a specific property for a predetermined period while the landlord retains ownership. A residential lease agreement identifies basic information. Example Of Lease Contract In The Philippines.
From www.scribd.com
Contract of Lease (Office Space) sample Lease Contract Law Example Of Lease Contract In The Philippines A residential lease agreement identifies basic information about the lease such. Sample lease contract for commercial unit. This contract of lease is made and executed at the city of _____, this day of _____, 20__, by and between: (lessor's full name), of legal age, (civil status), filipino national and a resident of (complete address), philippines, hereinafter. This lease agreement (agreement). Example Of Lease Contract In The Philippines.
From es.scribd.com
Lease Contract Sample Lease Common Law Example Of Lease Contract In The Philippines This lease agreement (agreement) is made and executed at the city/municipality of. Sample of a lease agreement in the philippines. This contract is between [name of lessor] (“lessor”) and [name of lessee], of legal. ( name of lessor ), of legal age,. Know all men by these presents: Sample lease contract for commercial unit. This contract of lease made and. Example Of Lease Contract In The Philippines.
From www.scribd.com
Contract of lease tagalog.docx Example Of Lease Contract In The Philippines This contract of lease made and executed by and between: (lessor's full name), of legal age, (civil status), filipino national and a resident of (complete address), philippines, hereinafter. Sample lease contract for commercial unit. A lease contract concludes a legally binding contract between the tenants and the landlord. A residential lease agreement identifies basic information about the lease such. Sample. Example Of Lease Contract In The Philippines.
From anthopofagos.blogspot.com
Contract Of Lease Apartment Sample Philippines HQ Template Documents Example Of Lease Contract In The Philippines Sample of a lease agreement in the philippines. (lessor's full name), of legal age, (civil status), filipino national and a resident of (complete address), philippines, hereinafter. This lease agreement (agreement) is made and executed at the city/municipality of. Sample lease contract for commercial unit. This contract is between [name of lessor] (“lessor”) and [name of lessee], of legal. This rental. Example Of Lease Contract In The Philippines.
From projectopenletter.com
Residential Lease Agreement Template Philippines Printable Form Example Of Lease Contract In The Philippines A lease contract concludes a legally binding contract between the tenants and the landlord. A residential lease agreement identifies basic information about the lease such. Sample lease contract for commercial unit. Know all men by these presents: (lessor's full name), of legal age, (civil status), filipino national and a resident of (complete address), philippines, hereinafter. This contract of lease made. Example Of Lease Contract In The Philippines.
From www.slideshare.net
CONTRACT OF LEASE (1) Example Of Lease Contract In The Philippines This contract of lease is made and executed at the city of _____, this day of _____, 20__, by and between: A lease contract concludes a legally binding contract between the tenants and the landlord. This rental agreement conveys to the tenants their right to live and furnish a specific property for a predetermined period while the landlord retains ownership.. Example Of Lease Contract In The Philippines.
From www.scribd.com
Lease Agreement of legal age, Filipino, and with Example Of Lease Contract In The Philippines This contract of lease is made and executed at the city of _____, this day of _____, 20__, by and between: A residential lease agreement identifies basic information about the lease such. A lease contract concludes a legally binding contract between the tenants and the landlord. Know all men by these presents: Sample lease contract for commercial unit. This rental. Example Of Lease Contract In The Philippines.