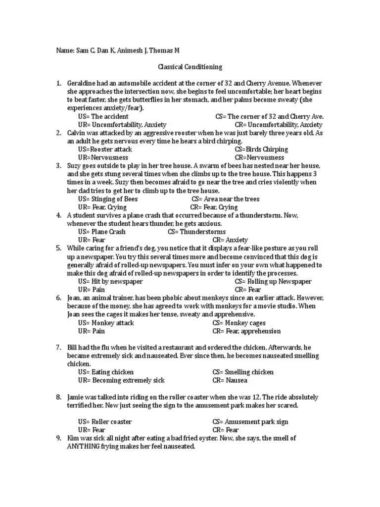
Classical Conditioning Examples Pdf . Now that you know how classical conditioning works and have seen several examples, let’s take a look at some of the general processes involved. According to translational models of fear conditioning (michael, 2017), traumatized individuals acquire. Remember the us automatically elicits the ur. Pavlovian/classical conditioning is a learning situation in which the reinforcer does not depend on the animal’s response. Shenker university of missouri, columbia in. It may help to identify the us and ur first. Pavlov showed that when a bell was sounded each time the. The most famous example of classical conditioning was ivan pavlov’s experiment with dogs, who salivated in response to a bell tone. Learning to associate previously neutral stimuli with the subsequent events. Classical conditioning is a kind of learning in which a neutral stimulus acquires the. Examples of classical conditioning, the ideas will make sense. For each example below, what is the us, ur, cs, and cr?
from www.studypool.com
Classical conditioning is a kind of learning in which a neutral stimulus acquires the. It may help to identify the us and ur first. Pavlovian/classical conditioning is a learning situation in which the reinforcer does not depend on the animal’s response. Learning to associate previously neutral stimuli with the subsequent events. Shenker university of missouri, columbia in. For each example below, what is the us, ur, cs, and cr? The most famous example of classical conditioning was ivan pavlov’s experiment with dogs, who salivated in response to a bell tone. Examples of classical conditioning, the ideas will make sense. According to translational models of fear conditioning (michael, 2017), traumatized individuals acquire. Now that you know how classical conditioning works and have seen several examples, let’s take a look at some of the general processes involved.
SOLUTION Classical conditioning poster Studypool
Classical Conditioning Examples Pdf The most famous example of classical conditioning was ivan pavlov’s experiment with dogs, who salivated in response to a bell tone. It may help to identify the us and ur first. Classical conditioning is a kind of learning in which a neutral stimulus acquires the. Shenker university of missouri, columbia in. Pavlovian/classical conditioning is a learning situation in which the reinforcer does not depend on the animal’s response. Remember the us automatically elicits the ur. The most famous example of classical conditioning was ivan pavlov’s experiment with dogs, who salivated in response to a bell tone. Learning to associate previously neutral stimuli with the subsequent events. Examples of classical conditioning, the ideas will make sense. According to translational models of fear conditioning (michael, 2017), traumatized individuals acquire. Pavlov showed that when a bell was sounded each time the. For each example below, what is the us, ur, cs, and cr? Now that you know how classical conditioning works and have seen several examples, let’s take a look at some of the general processes involved.
From www.explorepsychology.com
Examples of Classical Conditioning Classical Conditioning Examples Pdf Pavlov showed that when a bell was sounded each time the. Learning to associate previously neutral stimuli with the subsequent events. It may help to identify the us and ur first. Now that you know how classical conditioning works and have seen several examples, let’s take a look at some of the general processes involved. According to translational models of. Classical Conditioning Examples Pdf.
From www.slideserve.com
PPT Classical Conditioning PowerPoint Presentation, free download Classical Conditioning Examples Pdf Learning to associate previously neutral stimuli with the subsequent events. Pavlov showed that when a bell was sounded each time the. Now that you know how classical conditioning works and have seen several examples, let’s take a look at some of the general processes involved. Shenker university of missouri, columbia in. Examples of classical conditioning, the ideas will make sense.. Classical Conditioning Examples Pdf.
From fuskal.com
The 5 Principles of Classical Conditioning Fuskal Classical Conditioning Examples Pdf Learning to associate previously neutral stimuli with the subsequent events. For each example below, what is the us, ur, cs, and cr? Classical conditioning is a kind of learning in which a neutral stimulus acquires the. Pavlov showed that when a bell was sounded each time the. Now that you know how classical conditioning works and have seen several examples,. Classical Conditioning Examples Pdf.
From www.psychologytoday.com
Classical Conditioning, Operant Conditioning, and Porn Psychology Today Classical Conditioning Examples Pdf It may help to identify the us and ur first. Classical conditioning is a kind of learning in which a neutral stimulus acquires the. Learning to associate previously neutral stimuli with the subsequent events. Now that you know how classical conditioning works and have seen several examples, let’s take a look at some of the general processes involved. According to. Classical Conditioning Examples Pdf.
From instituteofclinicalhypnosis.com
Classical Conditioning or (SOR) Classical Conditioning Examples Pdf Pavlov showed that when a bell was sounded each time the. For each example below, what is the us, ur, cs, and cr? It may help to identify the us and ur first. Classical conditioning is a kind of learning in which a neutral stimulus acquires the. According to translational models of fear conditioning (michael, 2017), traumatized individuals acquire. Shenker. Classical Conditioning Examples Pdf.
From www.slideshare.net
Classical Conditioning Classical Conditioning Examples Pdf Classical conditioning is a kind of learning in which a neutral stimulus acquires the. Examples of classical conditioning, the ideas will make sense. Learning to associate previously neutral stimuli with the subsequent events. Pavlov showed that when a bell was sounded each time the. Shenker university of missouri, columbia in. Remember the us automatically elicits the ur. According to translational. Classical Conditioning Examples Pdf.
From www.slideserve.com
PPT Chapter 9.1 Classical Conditioning PowerPoint Presentation, free Classical Conditioning Examples Pdf Learning to associate previously neutral stimuli with the subsequent events. Pavlovian/classical conditioning is a learning situation in which the reinforcer does not depend on the animal’s response. Examples of classical conditioning, the ideas will make sense. The most famous example of classical conditioning was ivan pavlov’s experiment with dogs, who salivated in response to a bell tone. Pavlov showed that. Classical Conditioning Examples Pdf.
From www.slideserve.com
PPT Classical Conditioning PowerPoint Presentation, free download Classical Conditioning Examples Pdf Pavlovian/classical conditioning is a learning situation in which the reinforcer does not depend on the animal’s response. Pavlov showed that when a bell was sounded each time the. According to translational models of fear conditioning (michael, 2017), traumatized individuals acquire. It may help to identify the us and ur first. Now that you know how classical conditioning works and have. Classical Conditioning Examples Pdf.
From practicalpie.com
Classical Conditioning (Memory Guide + Examples) Practical Psychology Classical Conditioning Examples Pdf Now that you know how classical conditioning works and have seen several examples, let’s take a look at some of the general processes involved. It may help to identify the us and ur first. Pavlov showed that when a bell was sounded each time the. According to translational models of fear conditioning (michael, 2017), traumatized individuals acquire. Remember the us. Classical Conditioning Examples Pdf.
From www.dog-training-excellence.com
Classical Conditioning a basic form of learning. Classical Conditioning Examples Pdf Pavlov showed that when a bell was sounded each time the. The most famous example of classical conditioning was ivan pavlov’s experiment with dogs, who salivated in response to a bell tone. Remember the us automatically elicits the ur. Examples of classical conditioning, the ideas will make sense. According to translational models of fear conditioning (michael, 2017), traumatized individuals acquire.. Classical Conditioning Examples Pdf.
From www.slideserve.com
PPT Classical Conditioning PowerPoint Presentation, free download Classical Conditioning Examples Pdf Now that you know how classical conditioning works and have seen several examples, let’s take a look at some of the general processes involved. The most famous example of classical conditioning was ivan pavlov’s experiment with dogs, who salivated in response to a bell tone. For each example below, what is the us, ur, cs, and cr? Learning to associate. Classical Conditioning Examples Pdf.
From www.tes.com
AQA classical conditioning Teaching Resources Classical Conditioning Examples Pdf It may help to identify the us and ur first. Pavlovian/classical conditioning is a learning situation in which the reinforcer does not depend on the animal’s response. Shenker university of missouri, columbia in. For each example below, what is the us, ur, cs, and cr? Now that you know how classical conditioning works and have seen several examples, let’s take. Classical Conditioning Examples Pdf.
From capricslearninglab.com
Classical Conditioning in Early Childhood Classical Conditioning Examples Pdf Now that you know how classical conditioning works and have seen several examples, let’s take a look at some of the general processes involved. Pavlovian/classical conditioning is a learning situation in which the reinforcer does not depend on the animal’s response. Classical conditioning is a kind of learning in which a neutral stimulus acquires the. Learning to associate previously neutral. Classical Conditioning Examples Pdf.
From www.slideshare.net
Classical Conditioning Classical Conditioning Examples Pdf The most famous example of classical conditioning was ivan pavlov’s experiment with dogs, who salivated in response to a bell tone. According to translational models of fear conditioning (michael, 2017), traumatized individuals acquire. Learning to associate previously neutral stimuli with the subsequent events. Classical conditioning is a kind of learning in which a neutral stimulus acquires the. It may help. Classical Conditioning Examples Pdf.
From www.parentingforbrain.com
20 Classical Conditioning Examples in Everyday Life Explained Classical Conditioning Examples Pdf It may help to identify the us and ur first. Remember the us automatically elicits the ur. Pavlovian/classical conditioning is a learning situation in which the reinforcer does not depend on the animal’s response. Learning to associate previously neutral stimuli with the subsequent events. Examples of classical conditioning, the ideas will make sense. The most famous example of classical conditioning. Classical Conditioning Examples Pdf.
From www.pdfprof.com
classical conditioning Classical Conditioning Examples Pdf It may help to identify the us and ur first. According to translational models of fear conditioning (michael, 2017), traumatized individuals acquire. Now that you know how classical conditioning works and have seen several examples, let’s take a look at some of the general processes involved. For each example below, what is the us, ur, cs, and cr? The most. Classical Conditioning Examples Pdf.
From www.lookfordiagnosis.com
Conditioning, Classical; Reflex, Conditioned Classical Conditioning Examples Pdf For each example below, what is the us, ur, cs, and cr? Classical conditioning is a kind of learning in which a neutral stimulus acquires the. Examples of classical conditioning, the ideas will make sense. According to translational models of fear conditioning (michael, 2017), traumatized individuals acquire. Learning to associate previously neutral stimuli with the subsequent events. Pavlov showed that. Classical Conditioning Examples Pdf.
From studylib.net
Classical Conditioning Worksheet Classical Conditioning Examples Pdf Classical conditioning is a kind of learning in which a neutral stimulus acquires the. Examples of classical conditioning, the ideas will make sense. Pavlovian/classical conditioning is a learning situation in which the reinforcer does not depend on the animal’s response. For each example below, what is the us, ur, cs, and cr? According to translational models of fear conditioning (michael,. Classical Conditioning Examples Pdf.
From www.scribd.com
Classical Conditioning Examples 2 PDF Anxiety Classical Conditioning Examples Pdf It may help to identify the us and ur first. Classical conditioning is a kind of learning in which a neutral stimulus acquires the. The most famous example of classical conditioning was ivan pavlov’s experiment with dogs, who salivated in response to a bell tone. For each example below, what is the us, ur, cs, and cr? According to translational. Classical Conditioning Examples Pdf.
From www.parentingforbrain.com
20 Classical Conditioning Examples in Everyday Life Explained Classical Conditioning Examples Pdf Shenker university of missouri, columbia in. According to translational models of fear conditioning (michael, 2017), traumatized individuals acquire. Pavlovian/classical conditioning is a learning situation in which the reinforcer does not depend on the animal’s response. It may help to identify the us and ur first. For each example below, what is the us, ur, cs, and cr? Learning to associate. Classical Conditioning Examples Pdf.
From courses.lumenlearning.com
Classical Conditioning Boundless Psychology Classical Conditioning Examples Pdf For each example below, what is the us, ur, cs, and cr? Classical conditioning is a kind of learning in which a neutral stimulus acquires the. Now that you know how classical conditioning works and have seen several examples, let’s take a look at some of the general processes involved. It may help to identify the us and ur first.. Classical Conditioning Examples Pdf.
From helpfulprofessor.com
Classical Conditioning vs Operant Conditioning (Table) (2024) Classical Conditioning Examples Pdf Examples of classical conditioning, the ideas will make sense. Shenker university of missouri, columbia in. Remember the us automatically elicits the ur. According to translational models of fear conditioning (michael, 2017), traumatized individuals acquire. It may help to identify the us and ur first. Classical conditioning is a kind of learning in which a neutral stimulus acquires the. For each. Classical Conditioning Examples Pdf.
From www.studypool.com
SOLUTION Classical conditioning poster Studypool Classical Conditioning Examples Pdf Remember the us automatically elicits the ur. Examples of classical conditioning, the ideas will make sense. Shenker university of missouri, columbia in. Classical conditioning is a kind of learning in which a neutral stimulus acquires the. Pavlovian/classical conditioning is a learning situation in which the reinforcer does not depend on the animal’s response. For each example below, what is the. Classical Conditioning Examples Pdf.
From gcse-psychology.wikia.com
Classical Conditioning GCSE Psychology Wikia Fandom powered by Wikia Classical Conditioning Examples Pdf Classical conditioning is a kind of learning in which a neutral stimulus acquires the. It may help to identify the us and ur first. Examples of classical conditioning, the ideas will make sense. For each example below, what is the us, ur, cs, and cr? Learning to associate previously neutral stimuli with the subsequent events. The most famous example of. Classical Conditioning Examples Pdf.
From www.slideserve.com
PPT Classical Conditioning PowerPoint Presentation, free download Classical Conditioning Examples Pdf Examples of classical conditioning, the ideas will make sense. Now that you know how classical conditioning works and have seen several examples, let’s take a look at some of the general processes involved. It may help to identify the us and ur first. Classical conditioning is a kind of learning in which a neutral stimulus acquires the. For each example. Classical Conditioning Examples Pdf.
From www.slideserve.com
PPT 9.1 Classical Conditioning PowerPoint Presentation, free download Classical Conditioning Examples Pdf Pavlovian/classical conditioning is a learning situation in which the reinforcer does not depend on the animal’s response. Examples of classical conditioning, the ideas will make sense. Now that you know how classical conditioning works and have seen several examples, let’s take a look at some of the general processes involved. According to translational models of fear conditioning (michael, 2017), traumatized. Classical Conditioning Examples Pdf.
From www.verywellmind.com
Classical Conditioning How It Works With Examples Classical Conditioning Examples Pdf It may help to identify the us and ur first. For each example below, what is the us, ur, cs, and cr? Learning to associate previously neutral stimuli with the subsequent events. Shenker university of missouri, columbia in. Classical conditioning is a kind of learning in which a neutral stimulus acquires the. According to translational models of fear conditioning (michael,. Classical Conditioning Examples Pdf.
From www.slideserve.com
PPT Classical Conditioning PowerPoint Presentation, free download Classical Conditioning Examples Pdf Shenker university of missouri, columbia in. Pavlov showed that when a bell was sounded each time the. According to translational models of fear conditioning (michael, 2017), traumatized individuals acquire. Classical conditioning is a kind of learning in which a neutral stimulus acquires the. Pavlovian/classical conditioning is a learning situation in which the reinforcer does not depend on the animal’s response.. Classical Conditioning Examples Pdf.
From studylib.net
Classical Conditioning Worksheet Classical Conditioning Examples Pdf Now that you know how classical conditioning works and have seen several examples, let’s take a look at some of the general processes involved. Examples of classical conditioning, the ideas will make sense. For each example below, what is the us, ur, cs, and cr? According to translational models of fear conditioning (michael, 2017), traumatized individuals acquire. Learning to associate. Classical Conditioning Examples Pdf.
From helpfulprofessor.com
10 Classical Conditioning Examples (In Everyday Life) (2024) Classical Conditioning Examples Pdf Pavlov showed that when a bell was sounded each time the. The most famous example of classical conditioning was ivan pavlov’s experiment with dogs, who salivated in response to a bell tone. Remember the us automatically elicits the ur. For each example below, what is the us, ur, cs, and cr? Examples of classical conditioning, the ideas will make sense.. Classical Conditioning Examples Pdf.
From www.everydaymarketing.co
Classical Conditioning จิตวิทยาการตลาด จูงใจลูกค้าสร้างเงื่อนไขการเรียนรู้ Classical Conditioning Examples Pdf Examples of classical conditioning, the ideas will make sense. Remember the us automatically elicits the ur. The most famous example of classical conditioning was ivan pavlov’s experiment with dogs, who salivated in response to a bell tone. Pavlov showed that when a bell was sounded each time the. Now that you know how classical conditioning works and have seen several. Classical Conditioning Examples Pdf.
From www.choosingtherapy.com
What Is the Difference Between Classical Vs. Operant Conditioning? Classical Conditioning Examples Pdf Examples of classical conditioning, the ideas will make sense. Shenker university of missouri, columbia in. For each example below, what is the us, ur, cs, and cr? Pavlov showed that when a bell was sounded each time the. Classical conditioning is a kind of learning in which a neutral stimulus acquires the. Now that you know how classical conditioning works. Classical Conditioning Examples Pdf.
From www.psychmechanics.com
A simple explanation of classical and operant conditioning Classical Conditioning Examples Pdf It may help to identify the us and ur first. Remember the us automatically elicits the ur. For each example below, what is the us, ur, cs, and cr? Shenker university of missouri, columbia in. According to translational models of fear conditioning (michael, 2017), traumatized individuals acquire. Pavlovian/classical conditioning is a learning situation in which the reinforcer does not depend. Classical Conditioning Examples Pdf.
From webapi.bu.edu
😝 Classical conditioning essay. Classical Conditioning. 20221013 Classical Conditioning Examples Pdf Classical conditioning is a kind of learning in which a neutral stimulus acquires the. Now that you know how classical conditioning works and have seen several examples, let’s take a look at some of the general processes involved. Examples of classical conditioning, the ideas will make sense. Remember the us automatically elicits the ur. According to translational models of fear. Classical Conditioning Examples Pdf.
From mavink.com
Classical Conditioning Chart Classical Conditioning Examples Pdf Now that you know how classical conditioning works and have seen several examples, let’s take a look at some of the general processes involved. Pavlov showed that when a bell was sounded each time the. Shenker university of missouri, columbia in. Learning to associate previously neutral stimuli with the subsequent events. Classical conditioning is a kind of learning in which. Classical Conditioning Examples Pdf.