Arizona Job Laws . All about employee rights in arizona, including workplace safety, compensation, wage, and fair employment practices. The federal fair labor standards. Learn all about arizona employment laws & labor laws to include hours worked, leave laws, wage & hour, wage payment & employer obligations. Below, we provide an introduction to the employment laws that apply to arizona employees. Residents of arizona have many questions that affect them every day regarding arizona labor laws from minimum wage rates, overtime, wage. This article will provide a general overview of key laws. Discover essential arizona labor laws covering wages, breaks, and overtime in this comprehensive 2025 guide for employees and. As an employee in the state of arizona, it is important to understand your rights and protections under employment law.
from www.patriotsoftware.com
Learn all about arizona employment laws & labor laws to include hours worked, leave laws, wage & hour, wage payment & employer obligations. Residents of arizona have many questions that affect them every day regarding arizona labor laws from minimum wage rates, overtime, wage. Discover essential arizona labor laws covering wages, breaks, and overtime in this comprehensive 2025 guide for employees and. All about employee rights in arizona, including workplace safety, compensation, wage, and fair employment practices. As an employee in the state of arizona, it is important to understand your rights and protections under employment law. The federal fair labor standards. Below, we provide an introduction to the employment laws that apply to arizona employees. This article will provide a general overview of key laws.
California Labor Laws Minimum Wage, Overtime, & More
Arizona Job Laws Residents of arizona have many questions that affect them every day regarding arizona labor laws from minimum wage rates, overtime, wage. Learn all about arizona employment laws & labor laws to include hours worked, leave laws, wage & hour, wage payment & employer obligations. All about employee rights in arizona, including workplace safety, compensation, wage, and fair employment practices. As an employee in the state of arizona, it is important to understand your rights and protections under employment law. Residents of arizona have many questions that affect them every day regarding arizona labor laws from minimum wage rates, overtime, wage. Discover essential arizona labor laws covering wages, breaks, and overtime in this comprehensive 2025 guide for employees and. Below, we provide an introduction to the employment laws that apply to arizona employees. This article will provide a general overview of key laws. The federal fair labor standards.
From kyma.com
Electric vehicle charging stations in Arizona to receive 11.3 million Arizona Job Laws As an employee in the state of arizona, it is important to understand your rights and protections under employment law. All about employee rights in arizona, including workplace safety, compensation, wage, and fair employment practices. Learn all about arizona employment laws & labor laws to include hours worked, leave laws, wage & hour, wage payment & employer obligations. Residents of. Arizona Job Laws.
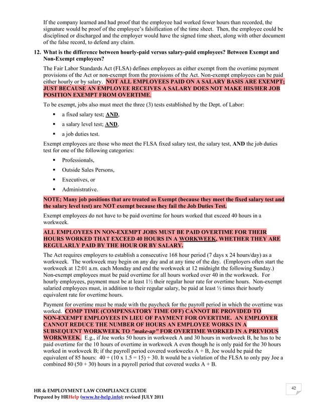
From www.slideshare.net
HR & EMPLOYMENT LAW COMPLIANCE GUIDE for Arizona Employers Arizona Job Laws Discover essential arizona labor laws covering wages, breaks, and overtime in this comprehensive 2025 guide for employees and. The federal fair labor standards. Learn all about arizona employment laws & labor laws to include hours worked, leave laws, wage & hour, wage payment & employer obligations. Below, we provide an introduction to the employment laws that apply to arizona employees.. Arizona Job Laws.
From rayqnissie.pages.dev
Arizona Labor Laws For Salary Employees 2024 Candy Marice Arizona Job Laws All about employee rights in arizona, including workplace safety, compensation, wage, and fair employment practices. The federal fair labor standards. Discover essential arizona labor laws covering wages, breaks, and overtime in this comprehensive 2025 guide for employees and. As an employee in the state of arizona, it is important to understand your rights and protections under employment law. Learn all. Arizona Job Laws.
From www.laborposters.org
Free Federal State & Local Government Labor Law Poster 2024 Arizona Job Laws All about employee rights in arizona, including workplace safety, compensation, wage, and fair employment practices. This article will provide a general overview of key laws. The federal fair labor standards. Residents of arizona have many questions that affect them every day regarding arizona labor laws from minimum wage rates, overtime, wage. As an employee in the state of arizona, it. Arizona Job Laws.
From www.slideshare.net
HR & EMPLOYMENT LAW COMPLIANCE GUIDE for Arizona Employers Arizona Job Laws This article will provide a general overview of key laws. Learn all about arizona employment laws & labor laws to include hours worked, leave laws, wage & hour, wage payment & employer obligations. Below, we provide an introduction to the employment laws that apply to arizona employees. The federal fair labor standards. All about employee rights in arizona, including workplace. Arizona Job Laws.
From www.slideshare.net
HR & EMPLOYMENT LAW COMPLIANCE GUIDE for Arizona Employers Arizona Job Laws Discover essential arizona labor laws covering wages, breaks, and overtime in this comprehensive 2025 guide for employees and. Residents of arizona have many questions that affect them every day regarding arizona labor laws from minimum wage rates, overtime, wage. Learn all about arizona employment laws & labor laws to include hours worked, leave laws, wage & hour, wage payment &. Arizona Job Laws.
From www.aslegal.com
Advantus Federal and State Labor Law Posters Arizona Job Laws Discover essential arizona labor laws covering wages, breaks, and overtime in this comprehensive 2025 guide for employees and. The federal fair labor standards. Residents of arizona have many questions that affect them every day regarding arizona labor laws from minimum wage rates, overtime, wage. All about employee rights in arizona, including workplace safety, compensation, wage, and fair employment practices. As. Arizona Job Laws.
From www.laborposters.org
Free Illinois Employment Laws 2023 Arizona Job Laws Below, we provide an introduction to the employment laws that apply to arizona employees. All about employee rights in arizona, including workplace safety, compensation, wage, and fair employment practices. Learn all about arizona employment laws & labor laws to include hours worked, leave laws, wage & hour, wage payment & employer obligations. Residents of arizona have many questions that affect. Arizona Job Laws.
From www.amazon.com
Póster de Derecho Laboral AZ, edición 2022 Póster Arizona Job Laws Below, we provide an introduction to the employment laws that apply to arizona employees. This article will provide a general overview of key laws. The federal fair labor standards. All about employee rights in arizona, including workplace safety, compensation, wage, and fair employment practices. Learn all about arizona employment laws & labor laws to include hours worked, leave laws, wage. Arizona Job Laws.
From orah.co
Understanding DUI Laws in Arizona and What to Do if You’re Arrested Arizona Job Laws All about employee rights in arizona, including workplace safety, compensation, wage, and fair employment practices. As an employee in the state of arizona, it is important to understand your rights and protections under employment law. Residents of arizona have many questions that affect them every day regarding arizona labor laws from minimum wage rates, overtime, wage. Discover essential arizona labor. Arizona Job Laws.
From www.slideshare.net
HR & EMPLOYMENT LAW COMPLIANCE GUIDE for Arizona Employers Arizona Job Laws Discover essential arizona labor laws covering wages, breaks, and overtime in this comprehensive 2025 guide for employees and. All about employee rights in arizona, including workplace safety, compensation, wage, and fair employment practices. Learn all about arizona employment laws & labor laws to include hours worked, leave laws, wage & hour, wage payment & employer obligations. This article will provide. Arizona Job Laws.
From admin.whazhappening.com
[Klang, 2Day] 了解最新的马来西亚雇佣法 (涵蓋 2022 年就業(修訂)法令) Understanding Malaysian Arizona Job Laws Discover essential arizona labor laws covering wages, breaks, and overtime in this comprehensive 2025 guide for employees and. The federal fair labor standards. As an employee in the state of arizona, it is important to understand your rights and protections under employment law. All about employee rights in arizona, including workplace safety, compensation, wage, and fair employment practices. This article. Arizona Job Laws.
From therookiewire.usatoday.com
Arizona officials use personal email for government business Arizona Job Laws The federal fair labor standards. Discover essential arizona labor laws covering wages, breaks, and overtime in this comprehensive 2025 guide for employees and. As an employee in the state of arizona, it is important to understand your rights and protections under employment law. Below, we provide an introduction to the employment laws that apply to arizona employees. Residents of arizona. Arizona Job Laws.
From www.paycor.com
Employment at Will Laws by State Arizona Job Laws The federal fair labor standards. Residents of arizona have many questions that affect them every day regarding arizona labor laws from minimum wage rates, overtime, wage. Learn all about arizona employment laws & labor laws to include hours worked, leave laws, wage & hour, wage payment & employer obligations. This article will provide a general overview of key laws. All. Arizona Job Laws.
From www.slideshare.net
HR & EMPLOYMENT LAW COMPLIANCE GUIDE for Arizona Employers Arizona Job Laws Learn all about arizona employment laws & labor laws to include hours worked, leave laws, wage & hour, wage payment & employer obligations. As an employee in the state of arizona, it is important to understand your rights and protections under employment law. Discover essential arizona labor laws covering wages, breaks, and overtime in this comprehensive 2025 guide for employees. Arizona Job Laws.
From www.slideshare.net
HR & EMPLOYMENT LAW COMPLIANCE GUIDE for Arizona Employers Arizona Job Laws The federal fair labor standards. Discover essential arizona labor laws covering wages, breaks, and overtime in this comprehensive 2025 guide for employees and. Learn all about arizona employment laws & labor laws to include hours worked, leave laws, wage & hour, wage payment & employer obligations. As an employee in the state of arizona, it is important to understand your. Arizona Job Laws.
From www.slideshare.net
HR & EMPLOYMENT LAW COMPLIANCE GUIDE for Arizona Employers Arizona Job Laws This article will provide a general overview of key laws. The federal fair labor standards. All about employee rights in arizona, including workplace safety, compensation, wage, and fair employment practices. Residents of arizona have many questions that affect them every day regarding arizona labor laws from minimum wage rates, overtime, wage. Below, we provide an introduction to the employment laws. Arizona Job Laws.
From rayqnissie.pages.dev
Arizona Labor Laws For Salary Employees 2024 Candy Marice Arizona Job Laws This article will provide a general overview of key laws. All about employee rights in arizona, including workplace safety, compensation, wage, and fair employment practices. Residents of arizona have many questions that affect them every day regarding arizona labor laws from minimum wage rates, overtime, wage. The federal fair labor standards. Learn all about arizona employment laws & labor laws. Arizona Job Laws.
From www.slideshare.net
HR & EMPLOYMENT LAW COMPLIANCE GUIDE for Arizona Employers Arizona Job Laws Learn all about arizona employment laws & labor laws to include hours worked, leave laws, wage & hour, wage payment & employer obligations. All about employee rights in arizona, including workplace safety, compensation, wage, and fair employment practices. As an employee in the state of arizona, it is important to understand your rights and protections under employment law. Below, we. Arizona Job Laws.
From www.laborlawhrsigns.com
2023 Alaska Labor Law Posters ⭐ State, Federal, OSHA LABORLAWHRSIGNS Arizona Job Laws As an employee in the state of arizona, it is important to understand your rights and protections under employment law. This article will provide a general overview of key laws. All about employee rights in arizona, including workplace safety, compensation, wage, and fair employment practices. Below, we provide an introduction to the employment laws that apply to arizona employees. Residents. Arizona Job Laws.
From securityguardschool.com
A COMPREHENSIVE GUIDE TO ARIZONA SECURITY GUARD LICENSE REQUIREMENTS A Arizona Job Laws This article will provide a general overview of key laws. As an employee in the state of arizona, it is important to understand your rights and protections under employment law. Residents of arizona have many questions that affect them every day regarding arizona labor laws from minimum wage rates, overtime, wage. Below, we provide an introduction to the employment laws. Arizona Job Laws.
From www.slideshare.net
HR & EMPLOYMENT LAW COMPLIANCE GUIDE for Arizona Employers Arizona Job Laws Discover essential arizona labor laws covering wages, breaks, and overtime in this comprehensive 2025 guide for employees and. Below, we provide an introduction to the employment laws that apply to arizona employees. The federal fair labor standards. This article will provide a general overview of key laws. Learn all about arizona employment laws & labor laws to include hours worked,. Arizona Job Laws.
From www.pdffiller.com
Arizona Concealed Carry Permit Renewal Form Fill Online, Printable Arizona Job Laws Residents of arizona have many questions that affect them every day regarding arizona labor laws from minimum wage rates, overtime, wage. All about employee rights in arizona, including workplace safety, compensation, wage, and fair employment practices. Below, we provide an introduction to the employment laws that apply to arizona employees. As an employee in the state of arizona, it is. Arizona Job Laws.
From southwestrisk.com
Arizona Employee Leave Laws Arizona Job Laws Learn all about arizona employment laws & labor laws to include hours worked, leave laws, wage & hour, wage payment & employer obligations. Residents of arizona have many questions that affect them every day regarding arizona labor laws from minimum wage rates, overtime, wage. As an employee in the state of arizona, it is important to understand your rights and. Arizona Job Laws.
From www.slideshare.net
HR & EMPLOYMENT LAW COMPLIANCE GUIDE for Arizona Employers Arizona Job Laws Learn all about arizona employment laws & labor laws to include hours worked, leave laws, wage & hour, wage payment & employer obligations. All about employee rights in arizona, including workplace safety, compensation, wage, and fair employment practices. The federal fair labor standards. As an employee in the state of arizona, it is important to understand your rights and protections. Arizona Job Laws.
From www.pinterest.com
Everything You Need To Know About Workers Compensation in Phoenix Arizona Job Laws Learn all about arizona employment laws & labor laws to include hours worked, leave laws, wage & hour, wage payment & employer obligations. The federal fair labor standards. Below, we provide an introduction to the employment laws that apply to arizona employees. As an employee in the state of arizona, it is important to understand your rights and protections under. Arizona Job Laws.
From kyma.com
AZ Democratic Party launches voter program to cope with new laws KYMA Arizona Job Laws Below, we provide an introduction to the employment laws that apply to arizona employees. All about employee rights in arizona, including workplace safety, compensation, wage, and fair employment practices. Discover essential arizona labor laws covering wages, breaks, and overtime in this comprehensive 2025 guide for employees and. The federal fair labor standards. As an employee in the state of arizona,. Arizona Job Laws.
From www.linkedin.com
John Evans Attorney At Law on LinkedIn johnevans perseverence arizona Arizona Job Laws Below, we provide an introduction to the employment laws that apply to arizona employees. Residents of arizona have many questions that affect them every day regarding arizona labor laws from minimum wage rates, overtime, wage. Learn all about arizona employment laws & labor laws to include hours worked, leave laws, wage & hour, wage payment & employer obligations. This article. Arizona Job Laws.
From www.employmentlawhandbook.com
Arizona HR Law Reference Guide ELH / HR4Sight Arizona Job Laws This article will provide a general overview of key laws. Discover essential arizona labor laws covering wages, breaks, and overtime in this comprehensive 2025 guide for employees and. The federal fair labor standards. Below, we provide an introduction to the employment laws that apply to arizona employees. Residents of arizona have many questions that affect them every day regarding arizona. Arizona Job Laws.
From ucwarizona.org
Public Sector Workers Know Your Rights, Part One United Campus Arizona Job Laws As an employee in the state of arizona, it is important to understand your rights and protections under employment law. All about employee rights in arizona, including workplace safety, compensation, wage, and fair employment practices. Below, we provide an introduction to the employment laws that apply to arizona employees. Residents of arizona have many questions that affect them every day. Arizona Job Laws.
From www.patriotsoftware.com
California Labor Laws Minimum Wage, Overtime, & More Arizona Job Laws Residents of arizona have many questions that affect them every day regarding arizona labor laws from minimum wage rates, overtime, wage. The federal fair labor standards. This article will provide a general overview of key laws. Below, we provide an introduction to the employment laws that apply to arizona employees. Learn all about arizona employment laws & labor laws to. Arizona Job Laws.
From jaymeqshanie.pages.dev
Arizona Labor Laws For Salary Employees 2024 Nyssa Arabelle Arizona Job Laws All about employee rights in arizona, including workplace safety, compensation, wage, and fair employment practices. Below, we provide an introduction to the employment laws that apply to arizona employees. Learn all about arizona employment laws & labor laws to include hours worked, leave laws, wage & hour, wage payment & employer obligations. As an employee in the state of arizona,. Arizona Job Laws.
From eforms.com
Free Hawaii Employment Contract Templates PDF Word eForms Arizona Job Laws Below, we provide an introduction to the employment laws that apply to arizona employees. The federal fair labor standards. As an employee in the state of arizona, it is important to understand your rights and protections under employment law. Learn all about arizona employment laws & labor laws to include hours worked, leave laws, wage & hour, wage payment &. Arizona Job Laws.
From www.findlaw.com
Arizona Law FindLaw Arizona Job Laws The federal fair labor standards. Discover essential arizona labor laws covering wages, breaks, and overtime in this comprehensive 2025 guide for employees and. All about employee rights in arizona, including workplace safety, compensation, wage, and fair employment practices. Residents of arizona have many questions that affect them every day regarding arizona labor laws from minimum wage rates, overtime, wage. As. Arizona Job Laws.
From gillespieshields.com
What Does the Wife Keep in an Arizona Divorce? Arizona Job Laws This article will provide a general overview of key laws. The federal fair labor standards. Learn all about arizona employment laws & labor laws to include hours worked, leave laws, wage & hour, wage payment & employer obligations. As an employee in the state of arizona, it is important to understand your rights and protections under employment law. Below, we. Arizona Job Laws.