Lab Manual Maths Class 11 . To inerpret geometrically the meaning. a mathematics laboratory can foster mathematical awareness, skill building, positive attitude and learning by doing. 'lab manual(english)' — ncert class 11. model question papers books indent form school kits exemplar problems laboratory manuals 50 years of ncert results. — 'lab manual(english)' — ncert class 11 mathematics bookreader item preview. — the ncert lab manual for cbse class 11 maths is an essential resource specially designed to help the learners grab practical knowledge. — the cbse class 11 maths lab. ncert lab manuals and cbse practicals for all class 12, 11, 10, 9, 8, 7, 6, 5, 3, 2, 1 for subjects science, physics, chemistry,.
from www.cuemath.com
a mathematics laboratory can foster mathematical awareness, skill building, positive attitude and learning by doing. To inerpret geometrically the meaning. — the cbse class 11 maths lab. — the ncert lab manual for cbse class 11 maths is an essential resource specially designed to help the learners grab practical knowledge. 'lab manual(english)' — ncert class 11. ncert lab manuals and cbse practicals for all class 12, 11, 10, 9, 8, 7, 6, 5, 3, 2, 1 for subjects science, physics, chemistry,. — 'lab manual(english)' — ncert class 11 mathematics bookreader item preview. model question papers books indent form school kits exemplar problems laboratory manuals 50 years of ncert results.
NCERT Solutions for Class 11 Maths Chapter 2 Relations and Functions
Lab Manual Maths Class 11 ncert lab manuals and cbse practicals for all class 12, 11, 10, 9, 8, 7, 6, 5, 3, 2, 1 for subjects science, physics, chemistry,. a mathematics laboratory can foster mathematical awareness, skill building, positive attitude and learning by doing. — 'lab manual(english)' — ncert class 11 mathematics bookreader item preview. To inerpret geometrically the meaning. model question papers books indent form school kits exemplar problems laboratory manuals 50 years of ncert results. — the ncert lab manual for cbse class 11 maths is an essential resource specially designed to help the learners grab practical knowledge. — the cbse class 11 maths lab. ncert lab manuals and cbse practicals for all class 12, 11, 10, 9, 8, 7, 6, 5, 3, 2, 1 for subjects science, physics, chemistry,. 'lab manual(english)' — ncert class 11.
From heritagebooks.com.np
A Complete NEB Solution Manual Mathematics Grade XII ( Plant and Animal Lab Manual Maths Class 11 a mathematics laboratory can foster mathematical awareness, skill building, positive attitude and learning by doing. — 'lab manual(english)' — ncert class 11 mathematics bookreader item preview. 'lab manual(english)' — ncert class 11. — the ncert lab manual for cbse class 11 maths is an essential resource specially designed to help the learners grab practical knowledge. model. Lab Manual Maths Class 11.
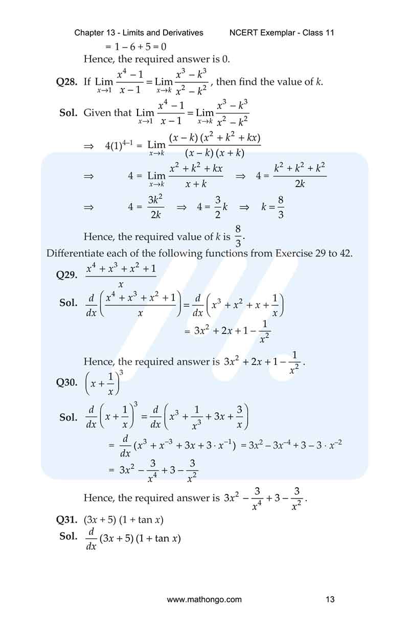
From www.mathongo.com
NCERT Exemplar for Class 11 Maths Chapter 13 MathonGo Lab Manual Maths Class 11 To inerpret geometrically the meaning. — the cbse class 11 maths lab. — the ncert lab manual for cbse class 11 maths is an essential resource specially designed to help the learners grab practical knowledge. 'lab manual(english)' — ncert class 11. — 'lab manual(english)' — ncert class 11 mathematics bookreader item preview. ncert lab manuals and. Lab Manual Maths Class 11.
From best-white-label-seo.blogspot.com
Chemistry Lab Manual Class 11 Lab Manual Maths Class 11 — 'lab manual(english)' — ncert class 11 mathematics bookreader item preview. ncert lab manuals and cbse practicals for all class 12, 11, 10, 9, 8, 7, 6, 5, 3, 2, 1 for subjects science, physics, chemistry,. — the cbse class 11 maths lab. model question papers books indent form school kits exemplar problems laboratory manuals 50. Lab Manual Maths Class 11.
From www.sherwoodbooks.co.za
THE MATHS HANDBOOK & STUDY GUIDE Grade 11 Sherwood Books Lab Manual Maths Class 11 — the cbse class 11 maths lab. model question papers books indent form school kits exemplar problems laboratory manuals 50 years of ncert results. — 'lab manual(english)' — ncert class 11 mathematics bookreader item preview. ncert lab manuals and cbse practicals for all class 12, 11, 10, 9, 8, 7, 6, 5, 3, 2, 1 for. Lab Manual Maths Class 11.
From www.pw.live
chapter Conic SectionClass 11 maths formula Lab Manual Maths Class 11 — the cbse class 11 maths lab. 'lab manual(english)' — ncert class 11. — 'lab manual(english)' — ncert class 11 mathematics bookreader item preview. a mathematics laboratory can foster mathematical awareness, skill building, positive attitude and learning by doing. — the ncert lab manual for cbse class 11 maths is an essential resource specially designed to. Lab Manual Maths Class 11.
From www.cuemath.com
NCERT Solutions for Class 11 Maths Chapter 2 Relations and Functions Lab Manual Maths Class 11 model question papers books indent form school kits exemplar problems laboratory manuals 50 years of ncert results. To inerpret geometrically the meaning. — the ncert lab manual for cbse class 11 maths is an essential resource specially designed to help the learners grab practical knowledge. — 'lab manual(english)' — ncert class 11 mathematics bookreader item preview. 'lab. Lab Manual Maths Class 11.
From www.cuemath.com
NCERT Solutions for Class 11 Maths Chapter 2 Relations and Functions Lab Manual Maths Class 11 — the ncert lab manual for cbse class 11 maths is an essential resource specially designed to help the learners grab practical knowledge. a mathematics laboratory can foster mathematical awareness, skill building, positive attitude and learning by doing. model question papers books indent form school kits exemplar problems laboratory manuals 50 years of ncert results. ncert. Lab Manual Maths Class 11.
From www.mathongo.com
NCERT Solutions for Class 11 Maths Chapter 11 Exercise 11.1 MathonGo Lab Manual Maths Class 11 a mathematics laboratory can foster mathematical awareness, skill building, positive attitude and learning by doing. ncert lab manuals and cbse practicals for all class 12, 11, 10, 9, 8, 7, 6, 5, 3, 2, 1 for subjects science, physics, chemistry,. To inerpret geometrically the meaning. model question papers books indent form school kits exemplar problems laboratory manuals. Lab Manual Maths Class 11.
From studyupindia.com
NCERT Class 11 Math [ English Medium ] StudyUpIndia Lab Manual Maths Class 11 a mathematics laboratory can foster mathematical awareness, skill building, positive attitude and learning by doing. — 'lab manual(english)' — ncert class 11 mathematics bookreader item preview. To inerpret geometrically the meaning. — the cbse class 11 maths lab. — the ncert lab manual for cbse class 11 maths is an essential resource specially designed to help. Lab Manual Maths Class 11.
From www.youtube.com
Practical Copy (Activity) of Mathematics, Class 11 (TERM 1), Lab Manual Lab Manual Maths Class 11 — the cbse class 11 maths lab. To inerpret geometrically the meaning. — 'lab manual(english)' — ncert class 11 mathematics bookreader item preview. — the ncert lab manual for cbse class 11 maths is an essential resource specially designed to help the learners grab practical knowledge. a mathematics laboratory can foster mathematical awareness, skill building, positive. Lab Manual Maths Class 11.
From www.cuemath.com
NCERT Solutions for Class 11 Maths Chapter 1 Sets Access free PDF Lab Manual Maths Class 11 — 'lab manual(english)' — ncert class 11 mathematics bookreader item preview. To inerpret geometrically the meaning. a mathematics laboratory can foster mathematical awareness, skill building, positive attitude and learning by doing. — the cbse class 11 maths lab. ncert lab manuals and cbse practicals for all class 12, 11, 10, 9, 8, 7, 6, 5, 3,. Lab Manual Maths Class 11.
From www.thestudypath.com
NCERT Solutions Class 11 Maths Chapter 6 Exercise 6.1 Study Path Lab Manual Maths Class 11 ncert lab manuals and cbse practicals for all class 12, 11, 10, 9, 8, 7, 6, 5, 3, 2, 1 for subjects science, physics, chemistry,. a mathematics laboratory can foster mathematical awareness, skill building, positive attitude and learning by doing. model question papers books indent form school kits exemplar problems laboratory manuals 50 years of ncert results.. Lab Manual Maths Class 11.
From www.arihantbooks.com
Laboratory Manual Mathematics CBSE class 11 20192020 Lab Manual Maths Class 11 model question papers books indent form school kits exemplar problems laboratory manuals 50 years of ncert results. a mathematics laboratory can foster mathematical awareness, skill building, positive attitude and learning by doing. — the ncert lab manual for cbse class 11 maths is an essential resource specially designed to help the learners grab practical knowledge. ncert. Lab Manual Maths Class 11.
From www.cuemath.com
NCERT Solutions for Class 11 Maths Chapter 1 Sets Access free PDF Lab Manual Maths Class 11 ncert lab manuals and cbse practicals for all class 12, 11, 10, 9, 8, 7, 6, 5, 3, 2, 1 for subjects science, physics, chemistry,. — 'lab manual(english)' — ncert class 11 mathematics bookreader item preview. 'lab manual(english)' — ncert class 11. To inerpret geometrically the meaning. — the ncert lab manual for cbse class 11 maths. Lab Manual Maths Class 11.
From exojqufbz.blob.core.windows.net
Lab Activities Class 11 Maths at Lavonne Ellis blog Lab Manual Maths Class 11 To inerpret geometrically the meaning. 'lab manual(english)' — ncert class 11. ncert lab manuals and cbse practicals for all class 12, 11, 10, 9, 8, 7, 6, 5, 3, 2, 1 for subjects science, physics, chemistry,. — the ncert lab manual for cbse class 11 maths is an essential resource specially designed to help the learners grab practical. Lab Manual Maths Class 11.
From www.jagranjosh.com
Latest NCERT Book for Class 11 Maths PDF for 202425 (Revised) Lab Manual Maths Class 11 — the cbse class 11 maths lab. 'lab manual(english)' — ncert class 11. To inerpret geometrically the meaning. — 'lab manual(english)' — ncert class 11 mathematics bookreader item preview. model question papers books indent form school kits exemplar problems laboratory manuals 50 years of ncert results. a mathematics laboratory can foster mathematical awareness, skill building, positive. Lab Manual Maths Class 11.
From www.youtube.com
Maths practical solutions part 2 class 11 YouTube Lab Manual Maths Class 11 model question papers books indent form school kits exemplar problems laboratory manuals 50 years of ncert results. ncert lab manuals and cbse practicals for all class 12, 11, 10, 9, 8, 7, 6, 5, 3, 2, 1 for subjects science, physics, chemistry,. To inerpret geometrically the meaning. a mathematics laboratory can foster mathematical awareness, skill building, positive. Lab Manual Maths Class 11.
From sajhakitab.com
Basic mathematics Grade 11 guide book Sajha Kitab Lab Manual Maths Class 11 model question papers books indent form school kits exemplar problems laboratory manuals 50 years of ncert results. ncert lab manuals and cbse practicals for all class 12, 11, 10, 9, 8, 7, 6, 5, 3, 2, 1 for subjects science, physics, chemistry,. — the ncert lab manual for cbse class 11 maths is an essential resource specially. Lab Manual Maths Class 11.
From www.cuemath.com
NCERT Solutions for Class 11 Maths Chapter 1 Sets Access free PDF Lab Manual Maths Class 11 To inerpret geometrically the meaning. a mathematics laboratory can foster mathematical awareness, skill building, positive attitude and learning by doing. — 'lab manual(english)' — ncert class 11 mathematics bookreader item preview. ncert lab manuals and cbse practicals for all class 12, 11, 10, 9, 8, 7, 6, 5, 3, 2, 1 for subjects science, physics, chemistry,. . Lab Manual Maths Class 11.
From www.cuemath.com
NCERT Solutions for Class 11 Maths Chapter 3 Exercise 3.1 Free PDF Lab Manual Maths Class 11 To inerpret geometrically the meaning. model question papers books indent form school kits exemplar problems laboratory manuals 50 years of ncert results. a mathematics laboratory can foster mathematical awareness, skill building, positive attitude and learning by doing. ncert lab manuals and cbse practicals for all class 12, 11, 10, 9, 8, 7, 6, 5, 3, 2, 1. Lab Manual Maths Class 11.
From www.thestudypath.com
NCERT Solutions Class 11 Maths Chapter 11 Exercise 11.4 Study Path Lab Manual Maths Class 11 — 'lab manual(english)' — ncert class 11 mathematics bookreader item preview. ncert lab manuals and cbse practicals for all class 12, 11, 10, 9, 8, 7, 6, 5, 3, 2, 1 for subjects science, physics, chemistry,. To inerpret geometrically the meaning. 'lab manual(english)' — ncert class 11. — the ncert lab manual for cbse class 11 maths. Lab Manual Maths Class 11.
From www.thestudypath.com
NCERT Solutions Class 11 Maths Chapter 9 Sequence and Series Lab Manual Maths Class 11 — 'lab manual(english)' — ncert class 11 mathematics bookreader item preview. To inerpret geometrically the meaning. model question papers books indent form school kits exemplar problems laboratory manuals 50 years of ncert results. — the cbse class 11 maths lab. — the ncert lab manual for cbse class 11 maths is an essential resource specially designed. Lab Manual Maths Class 11.
From www.tsz.com.np
Class 11 Math Model Question with Solution PDF Download 2080 The SR Zone Lab Manual Maths Class 11 a mathematics laboratory can foster mathematical awareness, skill building, positive attitude and learning by doing. model question papers books indent form school kits exemplar problems laboratory manuals 50 years of ncert results. — 'lab manual(english)' — ncert class 11 mathematics bookreader item preview. 'lab manual(english)' — ncert class 11. — the cbse class 11 maths lab.. Lab Manual Maths Class 11.
From www.thestudypath.com
NCERT Solutions Class 11 Maths Chapter 11 Exercise 11.4 Study Path Lab Manual Maths Class 11 model question papers books indent form school kits exemplar problems laboratory manuals 50 years of ncert results. — 'lab manual(english)' — ncert class 11 mathematics bookreader item preview. To inerpret geometrically the meaning. — the ncert lab manual for cbse class 11 maths is an essential resource specially designed to help the learners grab practical knowledge. . Lab Manual Maths Class 11.
From quizzlisttramplers.z13.web.core.windows.net
Maths Lab Activities Lab Manual Maths Class 11 ncert lab manuals and cbse practicals for all class 12, 11, 10, 9, 8, 7, 6, 5, 3, 2, 1 for subjects science, physics, chemistry,. To inerpret geometrically the meaning. — 'lab manual(english)' — ncert class 11 mathematics bookreader item preview. model question papers books indent form school kits exemplar problems laboratory manuals 50 years of ncert. Lab Manual Maths Class 11.
From www.thestudypath.com
NCERT Solutions Class 11 Maths Chapter 3 Exercise 3.2 Study Path Lab Manual Maths Class 11 To inerpret geometrically the meaning. 'lab manual(english)' — ncert class 11. a mathematics laboratory can foster mathematical awareness, skill building, positive attitude and learning by doing. ncert lab manuals and cbse practicals for all class 12, 11, 10, 9, 8, 7, 6, 5, 3, 2, 1 for subjects science, physics, chemistry,. — 'lab manual(english)' — ncert class. Lab Manual Maths Class 11.
From www.learncbse.in
NCERT Solutions for Class 11 Maths Chapter 11 Conic Sections Ex 11.4 Lab Manual Maths Class 11 model question papers books indent form school kits exemplar problems laboratory manuals 50 years of ncert results. 'lab manual(english)' — ncert class 11. a mathematics laboratory can foster mathematical awareness, skill building, positive attitude and learning by doing. — the cbse class 11 maths lab. To inerpret geometrically the meaning. — 'lab manual(english)' — ncert class. Lab Manual Maths Class 11.
From heritagebooks.com.np
BASIC MATHEMATICS Grade XI Heritage Publishers & Distributors Pvt. Ltd Lab Manual Maths Class 11 — the ncert lab manual for cbse class 11 maths is an essential resource specially designed to help the learners grab practical knowledge. — the cbse class 11 maths lab. a mathematics laboratory can foster mathematical awareness, skill building, positive attitude and learning by doing. 'lab manual(english)' — ncert class 11. model question papers books indent. Lab Manual Maths Class 11.
From www.tiwariacademy.com
NCERT Solutions for Class 11 Maths Chapter 3 Trigonometric Functions Lab Manual Maths Class 11 — 'lab manual(english)' — ncert class 11 mathematics bookreader item preview. 'lab manual(english)' — ncert class 11. model question papers books indent form school kits exemplar problems laboratory manuals 50 years of ncert results. — the ncert lab manual for cbse class 11 maths is an essential resource specially designed to help the learners grab practical knowledge.. Lab Manual Maths Class 11.
From www.snapdeal.com
Applied Mathematics Class 11 (Based On CBSE) Paperback 1 January 2020 Lab Manual Maths Class 11 — the ncert lab manual for cbse class 11 maths is an essential resource specially designed to help the learners grab practical knowledge. a mathematics laboratory can foster mathematical awareness, skill building, positive attitude and learning by doing. — 'lab manual(english)' — ncert class 11 mathematics bookreader item preview. ncert lab manuals and cbse practicals for. Lab Manual Maths Class 11.
From www.cuemath.com
NCERT Solutions for Class 11 Maths Chapter 1 Sets Access free PDF Lab Manual Maths Class 11 ncert lab manuals and cbse practicals for all class 12, 11, 10, 9, 8, 7, 6, 5, 3, 2, 1 for subjects science, physics, chemistry,. — 'lab manual(english)' — ncert class 11 mathematics bookreader item preview. a mathematics laboratory can foster mathematical awareness, skill building, positive attitude and learning by doing. — the cbse class 11. Lab Manual Maths Class 11.
From yellowbirdpublications.com
Maths Lab Manual Class 11 (CBSE) Yellow Bird Publications Lab Manual Maths Class 11 model question papers books indent form school kits exemplar problems laboratory manuals 50 years of ncert results. a mathematics laboratory can foster mathematical awareness, skill building, positive attitude and learning by doing. 'lab manual(english)' — ncert class 11. ncert lab manuals and cbse practicals for all class 12, 11, 10, 9, 8, 7, 6, 5, 3, 2,. Lab Manual Maths Class 11.
From www.indiamart.com
Experienced Authors English Dinesh Publications'' Lab Manual In Lab Manual Maths Class 11 — the cbse class 11 maths lab. — the ncert lab manual for cbse class 11 maths is an essential resource specially designed to help the learners grab practical knowledge. ncert lab manuals and cbse practicals for all class 12, 11, 10, 9, 8, 7, 6, 5, 3, 2, 1 for subjects science, physics, chemistry,. a. Lab Manual Maths Class 11.
From www.thestudypath.com
NCERT Solutions Class 11 Maths Chapter 9 Exercise 9.3 Study Path Lab Manual Maths Class 11 To inerpret geometrically the meaning. ncert lab manuals and cbse practicals for all class 12, 11, 10, 9, 8, 7, 6, 5, 3, 2, 1 for subjects science, physics, chemistry,. — the cbse class 11 maths lab. model question papers books indent form school kits exemplar problems laboratory manuals 50 years of ncert results. — 'lab. Lab Manual Maths Class 11.
From www.tiwariacademy.com
NCERT Solutions for Class 11 Maths Chapter 12 Exercise 12.1 Lab Manual Maths Class 11 'lab manual(english)' — ncert class 11. model question papers books indent form school kits exemplar problems laboratory manuals 50 years of ncert results. — the cbse class 11 maths lab. — the ncert lab manual for cbse class 11 maths is an essential resource specially designed to help the learners grab practical knowledge. ncert lab manuals. Lab Manual Maths Class 11.