Manometers Problems . Perhaps the closed end of the tube contains a sample of gas as before, or perhaps it contains a vacuum. This post explores common manometer problems,. The point a is at atmospheric pressure. Manometer is a simple and inexpensive device of. The force exerted by a pressure is the same in all directions. In the piezometers of the figure shown, liquid stands 1.37 m above point m. A manometer tube is filled with two type of liquids. Want to see how pressure changes in a static (nonmoving) fluid. Manometers are essential tools for measuring pressure in various applications. What is the pressure at. This chemistry video tutorial explains how to solve manometer pressure problems in addition to explaining how. Steps in solving manometer problems. The point c is at whatever pressure the.
from www.youtube.com
This chemistry video tutorial explains how to solve manometer pressure problems in addition to explaining how. The point a is at atmospheric pressure. What is the pressure at. The force exerted by a pressure is the same in all directions. Manometers are essential tools for measuring pressure in various applications. The point c is at whatever pressure the. Want to see how pressure changes in a static (nonmoving) fluid. Perhaps the closed end of the tube contains a sample of gas as before, or perhaps it contains a vacuum. Manometer is a simple and inexpensive device of. A manometer tube is filled with two type of liquids.
Fluid Mechanics Solved Manometer Problem YouTube
Manometers Problems A manometer tube is filled with two type of liquids. This post explores common manometer problems,. A manometer tube is filled with two type of liquids. Want to see how pressure changes in a static (nonmoving) fluid. The point a is at atmospheric pressure. Perhaps the closed end of the tube contains a sample of gas as before, or perhaps it contains a vacuum. In the piezometers of the figure shown, liquid stands 1.37 m above point m. Manometers are essential tools for measuring pressure in various applications. The point c is at whatever pressure the. What is the pressure at. This chemistry video tutorial explains how to solve manometer pressure problems in addition to explaining how. Steps in solving manometer problems. Manometer is a simple and inexpensive device of. The force exerted by a pressure is the same in all directions.
From www.chegg.com
Solved Problem 1 The manometer of figure below is used to Manometers Problems Manometers are essential tools for measuring pressure in various applications. In the piezometers of the figure shown, liquid stands 1.37 m above point m. Manometer is a simple and inexpensive device of. The point a is at atmospheric pressure. What is the pressure at. Want to see how pressure changes in a static (nonmoving) fluid. This post explores common manometer. Manometers Problems.
From www.youtube.com
Fluid Mechanics Solved Manometer Problem YouTube Manometers Problems Want to see how pressure changes in a static (nonmoving) fluid. This post explores common manometer problems,. Manometer is a simple and inexpensive device of. What is the pressure at. The force exerted by a pressure is the same in all directions. The point c is at whatever pressure the. Manometers are essential tools for measuring pressure in various applications.. Manometers Problems.
From www.youtube.com
Fluid Mechanics Module 1 Numerical Problems on Manometers YouTube Manometers Problems In the piezometers of the figure shown, liquid stands 1.37 m above point m. Manometers are essential tools for measuring pressure in various applications. Want to see how pressure changes in a static (nonmoving) fluid. This post explores common manometer problems,. A manometer tube is filled with two type of liquids. The point c is at whatever pressure the. Steps. Manometers Problems.
From www.studocu.com
Tutorial Questions Week 4 Manometers Page 1 MANOMETERS FLUIDS 1 Manometers Problems Steps in solving manometer problems. This chemistry video tutorial explains how to solve manometer pressure problems in addition to explaining how. Manometer is a simple and inexpensive device of. What is the pressure at. This post explores common manometer problems,. Manometers are essential tools for measuring pressure in various applications. The point c is at whatever pressure the. In the. Manometers Problems.
From www.youtube.com
Simple manometer example problem YouTube Manometers Problems Perhaps the closed end of the tube contains a sample of gas as before, or perhaps it contains a vacuum. In the piezometers of the figure shown, liquid stands 1.37 m above point m. Want to see how pressure changes in a static (nonmoving) fluid. Manometer is a simple and inexpensive device of. Manometers are essential tools for measuring pressure. Manometers Problems.
From www.youtube.com
simple utube manometer problem =1 YouTube Manometers Problems Manometers are essential tools for measuring pressure in various applications. The force exerted by a pressure is the same in all directions. A manometer tube is filled with two type of liquids. Want to see how pressure changes in a static (nonmoving) fluid. Manometer is a simple and inexpensive device of. The point c is at whatever pressure the. Perhaps. Manometers Problems.
From www.scribd.com
Manometers Practice Problem PDF Pressure Measurement Pressure Manometers Problems A manometer tube is filled with two type of liquids. The point a is at atmospheric pressure. This post explores common manometer problems,. Steps in solving manometer problems. Want to see how pressure changes in a static (nonmoving) fluid. This chemistry video tutorial explains how to solve manometer pressure problems in addition to explaining how. The force exerted by a. Manometers Problems.
From www.youtube.com
PROBLEMS ON MANOMETERS PRESSURE CALCULATIONS YouTube Manometers Problems The point a is at atmospheric pressure. The point c is at whatever pressure the. Manometer is a simple and inexpensive device of. This chemistry video tutorial explains how to solve manometer pressure problems in addition to explaining how. Perhaps the closed end of the tube contains a sample of gas as before, or perhaps it contains a vacuum. A. Manometers Problems.
From www.studypool.com
SOLUTION Fluid mechanics theory of manometers problems Studypool Manometers Problems Manometer is a simple and inexpensive device of. Want to see how pressure changes in a static (nonmoving) fluid. This post explores common manometer problems,. This chemistry video tutorial explains how to solve manometer pressure problems in addition to explaining how. Perhaps the closed end of the tube contains a sample of gas as before, or perhaps it contains a. Manometers Problems.
From www.youtube.com
Thermodynamics Test 1 Problem 1 Multifluid manometer YouTube Manometers Problems The force exerted by a pressure is the same in all directions. This post explores common manometer problems,. A manometer tube is filled with two type of liquids. Manometer is a simple and inexpensive device of. What is the pressure at. Perhaps the closed end of the tube contains a sample of gas as before, or perhaps it contains a. Manometers Problems.
From www.chegg.com
Solved 2. Two manometers are used to measure pressure. The Manometers Problems The point a is at atmospheric pressure. Manometer is a simple and inexpensive device of. A manometer tube is filled with two type of liquids. In the piezometers of the figure shown, liquid stands 1.37 m above point m. This chemistry video tutorial explains how to solve manometer pressure problems in addition to explaining how. Want to see how pressure. Manometers Problems.
From www.youtube.com
Open Tube Manometer, Basic Introduction, Pressure, Height & Density of Manometers Problems In the piezometers of the figure shown, liquid stands 1.37 m above point m. This post explores common manometer problems,. Steps in solving manometer problems. Manometers are essential tools for measuring pressure in various applications. Manometer is a simple and inexpensive device of. Perhaps the closed end of the tube contains a sample of gas as before, or perhaps it. Manometers Problems.
From www.youtube.com
Lecture 5 1 Manometers Solved Problems YouTube Manometers Problems Perhaps the closed end of the tube contains a sample of gas as before, or perhaps it contains a vacuum. This chemistry video tutorial explains how to solve manometer pressure problems in addition to explaining how. This post explores common manometer problems,. Manometers are essential tools for measuring pressure in various applications. The force exerted by a pressure is the. Manometers Problems.
From www.youtube.com
Problems on manometer YouTube Manometers Problems A manometer tube is filled with two type of liquids. The force exerted by a pressure is the same in all directions. In the piezometers of the figure shown, liquid stands 1.37 m above point m. This post explores common manometer problems,. The point a is at atmospheric pressure. This chemistry video tutorial explains how to solve manometer pressure problems. Manometers Problems.
From www.youtube.com
Fluid Mechanics 2.5 A Solved Manometer Example Problem, includes Manometers Problems Manometers are essential tools for measuring pressure in various applications. What is the pressure at. This post explores common manometer problems,. Perhaps the closed end of the tube contains a sample of gas as before, or perhaps it contains a vacuum. Want to see how pressure changes in a static (nonmoving) fluid. A manometer tube is filled with two type. Manometers Problems.
From www.youtube.com
Simple Manometer Example Problem 2 YouTube Manometers Problems What is the pressure at. The force exerted by a pressure is the same in all directions. Manometers are essential tools for measuring pressure in various applications. A manometer tube is filled with two type of liquids. Want to see how pressure changes in a static (nonmoving) fluid. This post explores common manometer problems,. The point c is at whatever. Manometers Problems.
From www.youtube.com
multitube manometer pressure problems (Fluid Mechanics lecture) YouTube Manometers Problems The point a is at atmospheric pressure. Perhaps the closed end of the tube contains a sample of gas as before, or perhaps it contains a vacuum. Steps in solving manometer problems. The force exerted by a pressure is the same in all directions. Manometers are essential tools for measuring pressure in various applications. What is the pressure at. This. Manometers Problems.
From www.youtube.com
Introductory Fluid Mechanics L5 p2 Example Manometer YouTube Manometers Problems A manometer tube is filled with two type of liquids. Want to see how pressure changes in a static (nonmoving) fluid. The point c is at whatever pressure the. The force exerted by a pressure is the same in all directions. Perhaps the closed end of the tube contains a sample of gas as before, or perhaps it contains a. Manometers Problems.
From slidetodoc.com
Chapter 2 Practice Problems P 1 Differential Manometers Manometers Problems The point c is at whatever pressure the. What is the pressure at. A manometer tube is filled with two type of liquids. Perhaps the closed end of the tube contains a sample of gas as before, or perhaps it contains a vacuum. Manometers are essential tools for measuring pressure in various applications. In the piezometers of the figure shown,. Manometers Problems.
From www.youtube.com
Thermodynamics Example Manometer Problem YouTube Manometers Problems This chemistry video tutorial explains how to solve manometer pressure problems in addition to explaining how. The point a is at atmospheric pressure. Want to see how pressure changes in a static (nonmoving) fluid. This post explores common manometer problems,. Manometers are essential tools for measuring pressure in various applications. The force exerted by a pressure is the same in. Manometers Problems.
From slidetodoc.com
Chapter 2 Practice Problems P 1 Differential Manometers Manometers Problems In the piezometers of the figure shown, liquid stands 1.37 m above point m. The point a is at atmospheric pressure. A manometer tube is filled with two type of liquids. Want to see how pressure changes in a static (nonmoving) fluid. This post explores common manometer problems,. This chemistry video tutorial explains how to solve manometer pressure problems in. Manometers Problems.
From www.youtube.com
Manometer Pressure Problems, Introduction to Barometers Measuring Gas Manometers Problems Want to see how pressure changes in a static (nonmoving) fluid. Perhaps the closed end of the tube contains a sample of gas as before, or perhaps it contains a vacuum. The point a is at atmospheric pressure. Manometers are essential tools for measuring pressure in various applications. In the piezometers of the figure shown, liquid stands 1.37 m above. Manometers Problems.
From www.youtube.com
Manometers Types, concepts, and tricks to solve manometer problems Manometers Problems In the piezometers of the figure shown, liquid stands 1.37 m above point m. This chemistry video tutorial explains how to solve manometer pressure problems in addition to explaining how. A manometer tube is filled with two type of liquids. Steps in solving manometer problems. What is the pressure at. The point c is at whatever pressure the. Want to. Manometers Problems.
From www.youtube.com
Manometers Explained (with Example Problem) Intro Physics 40 YouTube Manometers Problems Manometer is a simple and inexpensive device of. This post explores common manometer problems,. A manometer tube is filled with two type of liquids. The force exerted by a pressure is the same in all directions. Want to see how pressure changes in a static (nonmoving) fluid. The point c is at whatever pressure the. Steps in solving manometer problems.. Manometers Problems.
From chemistrytalk.org
Barometers and Manometers ChemTalk Manometers Problems Want to see how pressure changes in a static (nonmoving) fluid. The point a is at atmospheric pressure. This post explores common manometer problems,. The force exerted by a pressure is the same in all directions. Steps in solving manometer problems. What is the pressure at. Perhaps the closed end of the tube contains a sample of gas as before,. Manometers Problems.
From www.youtube.com
Compound manometer example problem YouTube Manometers Problems Perhaps the closed end of the tube contains a sample of gas as before, or perhaps it contains a vacuum. This post explores common manometer problems,. The point a is at atmospheric pressure. Manometer is a simple and inexpensive device of. Want to see how pressure changes in a static (nonmoving) fluid. This chemistry video tutorial explains how to solve. Manometers Problems.
From www.youtube.com
Solved Exam Problem Complex Manometer YouTube Manometers Problems A manometer tube is filled with two type of liquids. The force exerted by a pressure is the same in all directions. The point a is at atmospheric pressure. Manometers are essential tools for measuring pressure in various applications. Want to see how pressure changes in a static (nonmoving) fluid. What is the pressure at. Steps in solving manometer problems.. Manometers Problems.
From www.youtube.com
Thermodynamics Exam 1 Problem 1 Manometer YouTube Manometers Problems Perhaps the closed end of the tube contains a sample of gas as before, or perhaps it contains a vacuum. Want to see how pressure changes in a static (nonmoving) fluid. A manometer tube is filled with two type of liquids. This post explores common manometer problems,. Manometer is a simple and inexpensive device of. Steps in solving manometer problems.. Manometers Problems.
From taboesane.blogspot.com
U Tube Manometer Problems Solutions Taboesane Manometers Problems Steps in solving manometer problems. Manometers are essential tools for measuring pressure in various applications. A manometer tube is filled with two type of liquids. What is the pressure at. Perhaps the closed end of the tube contains a sample of gas as before, or perhaps it contains a vacuum. The force exerted by a pressure is the same in. Manometers Problems.
From www.youtube.com
How to solve manometer problems YouTube Manometers Problems A manometer tube is filled with two type of liquids. The force exerted by a pressure is the same in all directions. Perhaps the closed end of the tube contains a sample of gas as before, or perhaps it contains a vacuum. The point c is at whatever pressure the. In the piezometers of the figure shown, liquid stands 1.37. Manometers Problems.
From www.youtube.com
U Tube manometer Example problem YouTube Manometers Problems The point a is at atmospheric pressure. Manometer is a simple and inexpensive device of. Steps in solving manometer problems. This post explores common manometer problems,. The force exerted by a pressure is the same in all directions. What is the pressure at. In the piezometers of the figure shown, liquid stands 1.37 m above point m. A manometer tube. Manometers Problems.
From engineerexcel.com
Manometer Equation Calculate Pressure from a Manometer Reading Manometers Problems Steps in solving manometer problems. Manometer is a simple and inexpensive device of. The point a is at atmospheric pressure. A manometer tube is filled with two type of liquids. What is the pressure at. This post explores common manometer problems,. The point c is at whatever pressure the. Manometers are essential tools for measuring pressure in various applications. In. Manometers Problems.
From www.youtube.com
How to solve Manometer Problems discussed by a Filipino YouTube Manometers Problems Manometers are essential tools for measuring pressure in various applications. The point a is at atmospheric pressure. Manometer is a simple and inexpensive device of. In the piezometers of the figure shown, liquid stands 1.37 m above point m. A manometer tube is filled with two type of liquids. This chemistry video tutorial explains how to solve manometer pressure problems. Manometers Problems.
From www.numerade.com
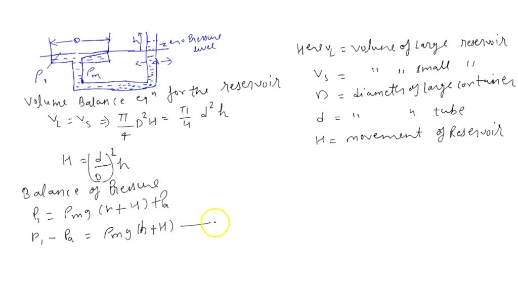
SOLVED Comprehensive Problems C2.1 Some manometers are constructed as Manometers Problems Steps in solving manometer problems. What is the pressure at. This chemistry video tutorial explains how to solve manometer pressure problems in addition to explaining how. Manometer is a simple and inexpensive device of. Perhaps the closed end of the tube contains a sample of gas as before, or perhaps it contains a vacuum. This post explores common manometer problems,.. Manometers Problems.
From www.studypool.com
SOLUTION Fluid mechanics theory of manometers problems Studypool Manometers Problems This post explores common manometer problems,. In the piezometers of the figure shown, liquid stands 1.37 m above point m. Manometers are essential tools for measuring pressure in various applications. Perhaps the closed end of the tube contains a sample of gas as before, or perhaps it contains a vacuum. Steps in solving manometer problems. What is the pressure at.. Manometers Problems.