Derivative Of X+8 . The derivative calculator lets you calculate derivatives of functions online — for free! Calculator solves the derivative of a function f(x, y(x).) or the derivative of an implicit function, along with a display of the rules used to. You can calculate partial, second, third, fourth derivatives as well as antiderivatives with ease and. Type in any function derivative to get the solution, steps and graph. You can also evaluate the derivative at a given point. It helps you practice by showing. Our calculator allows you to check your solutions to calculus exercises. In each case, we assume that f '(x) and g'(x) exist and a. This calculator computes the first, second, and third derivatives of a given function. The derivative calculator supports solving first, second., fourth derivatives, as well as implicit differentiation and finding the zeros/roots. For trigonometric, logarithmic, exponential, polynomial expressions. The following rules tell us how to find derivatives of combinations of functions in terms of the derivatives of their constituent parts.
from www.chegg.com
For trigonometric, logarithmic, exponential, polynomial expressions. The derivative calculator supports solving first, second., fourth derivatives, as well as implicit differentiation and finding the zeros/roots. The following rules tell us how to find derivatives of combinations of functions in terms of the derivatives of their constituent parts. Calculator solves the derivative of a function f(x, y(x).) or the derivative of an implicit function, along with a display of the rules used to. In each case, we assume that f '(x) and g'(x) exist and a. The derivative calculator lets you calculate derivatives of functions online — for free! This calculator computes the first, second, and third derivatives of a given function. Our calculator allows you to check your solutions to calculus exercises. You can calculate partial, second, third, fourth derivatives as well as antiderivatives with ease and. Type in any function derivative to get the solution, steps and graph.
Solved Find the derivative of the function.
Derivative Of X+8 Our calculator allows you to check your solutions to calculus exercises. The derivative calculator supports solving first, second., fourth derivatives, as well as implicit differentiation and finding the zeros/roots. For trigonometric, logarithmic, exponential, polynomial expressions. You can calculate partial, second, third, fourth derivatives as well as antiderivatives with ease and. The following rules tell us how to find derivatives of combinations of functions in terms of the derivatives of their constituent parts. The derivative calculator lets you calculate derivatives of functions online — for free! Type in any function derivative to get the solution, steps and graph. It helps you practice by showing. This calculator computes the first, second, and third derivatives of a given function. Our calculator allows you to check your solutions to calculus exercises. Calculator solves the derivative of a function f(x, y(x).) or the derivative of an implicit function, along with a display of the rules used to. You can also evaluate the derivative at a given point. In each case, we assume that f '(x) and g'(x) exist and a.
From www.teachoo.com
Ex 13.2, 9 Find derivative of (i) 2x 3/4 (ii) (5x^3 + 3x 1) (x1 Derivative Of X+8 For trigonometric, logarithmic, exponential, polynomial expressions. This calculator computes the first, second, and third derivatives of a given function. You can calculate partial, second, third, fourth derivatives as well as antiderivatives with ease and. You can also evaluate the derivative at a given point. The derivative calculator lets you calculate derivatives of functions online — for free! Calculator solves the. Derivative Of X+8.
From www.chegg.com
PROBLEMS 3.12. The Taylor series expansion of f(x) Derivative Of X+8 The derivative calculator supports solving first, second., fourth derivatives, as well as implicit differentiation and finding the zeros/roots. Our calculator allows you to check your solutions to calculus exercises. Type in any function derivative to get the solution, steps and graph. This calculator computes the first, second, and third derivatives of a given function. You can calculate partial, second, third,. Derivative Of X+8.
From www.epsilonify.com
What is the Derivative of ln(x+1)? Epsilonify Derivative Of X+8 Type in any function derivative to get the solution, steps and graph. In each case, we assume that f '(x) and g'(x) exist and a. This calculator computes the first, second, and third derivatives of a given function. The derivative calculator lets you calculate derivatives of functions online — for free! The derivative calculator supports solving first, second., fourth derivatives,. Derivative Of X+8.
From www.teachoo.com
Example 15 Find derivative of f(x) = x + 1 / x Teachoo Derivative Of X+8 The derivative calculator supports solving first, second., fourth derivatives, as well as implicit differentiation and finding the zeros/roots. It helps you practice by showing. Type in any function derivative to get the solution, steps and graph. For trigonometric, logarithmic, exponential, polynomial expressions. You can calculate partial, second, third, fourth derivatives as well as antiderivatives with ease and. Our calculator allows. Derivative Of X+8.
From www.teachoo.com
Ex 5.7, 5 Find second order derivatives of x3 logx Finding second Derivative Of X+8 You can calculate partial, second, third, fourth derivatives as well as antiderivatives with ease and. Calculator solves the derivative of a function f(x, y(x).) or the derivative of an implicit function, along with a display of the rules used to. The derivative calculator supports solving first, second., fourth derivatives, as well as implicit differentiation and finding the zeros/roots. The derivative. Derivative Of X+8.
From www.youtube.com
Second Derivative of 1/(1+x^2) YouTube Derivative Of X+8 It helps you practice by showing. Our calculator allows you to check your solutions to calculus exercises. For trigonometric, logarithmic, exponential, polynomial expressions. Calculator solves the derivative of a function f(x, y(x).) or the derivative of an implicit function, along with a display of the rules used to. In each case, we assume that f '(x) and g'(x) exist and. Derivative Of X+8.
From www.bartleby.com
Answered 2528 Use the given derivative to find… bartleby Derivative Of X+8 This calculator computes the first, second, and third derivatives of a given function. The derivative calculator supports solving first, second., fourth derivatives, as well as implicit differentiation and finding the zeros/roots. You can calculate partial, second, third, fourth derivatives as well as antiderivatives with ease and. The following rules tell us how to find derivatives of combinations of functions in. Derivative Of X+8.
From www.youtube.com
Calculs I derivative of x^2+2x using definition YouTube Derivative Of X+8 The following rules tell us how to find derivatives of combinations of functions in terms of the derivatives of their constituent parts. The derivative calculator supports solving first, second., fourth derivatives, as well as implicit differentiation and finding the zeros/roots. For trigonometric, logarithmic, exponential, polynomial expressions. You can also evaluate the derivative at a given point. Our calculator allows you. Derivative Of X+8.
From www.chegg.com
Solved Using the definition of the derivative find the Derivative Of X+8 Type in any function derivative to get the solution, steps and graph. The derivative calculator supports solving first, second., fourth derivatives, as well as implicit differentiation and finding the zeros/roots. You can also evaluate the derivative at a given point. This calculator computes the first, second, and third derivatives of a given function. It helps you practice by showing. The. Derivative Of X+8.
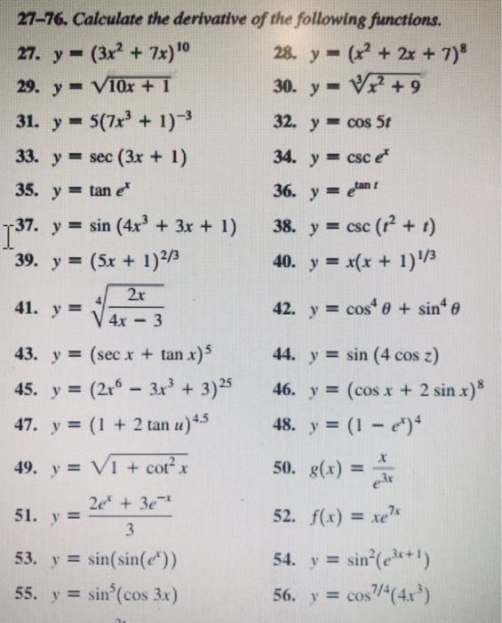
From www.chegg.com
Solved 2776. Calculate the derivative of the following Derivative Of X+8 For trigonometric, logarithmic, exponential, polynomial expressions. You can also evaluate the derivative at a given point. This calculator computes the first, second, and third derivatives of a given function. Type in any function derivative to get the solution, steps and graph. The following rules tell us how to find derivatives of combinations of functions in terms of the derivatives of. Derivative Of X+8.
From www.chegg.com
Solved Find the derivative of the function. Derivative Of X+8 This calculator computes the first, second, and third derivatives of a given function. The derivative calculator supports solving first, second., fourth derivatives, as well as implicit differentiation and finding the zeros/roots. Our calculator allows you to check your solutions to calculus exercises. Type in any function derivative to get the solution, steps and graph. It helps you practice by showing.. Derivative Of X+8.
From www.teachoo.com
Ex 13.2, 9 Find derivative of (i) 2x 3/4 (ii) (5x^3 + 3x 1) (x1 Derivative Of X+8 In each case, we assume that f '(x) and g'(x) exist and a. The derivative calculator supports solving first, second., fourth derivatives, as well as implicit differentiation and finding the zeros/roots. It helps you practice by showing. The following rules tell us how to find derivatives of combinations of functions in terms of the derivatives of their constituent parts. For. Derivative Of X+8.
From www.quora.com
Consider the linear function y = ax + b. If x changes at a constant Derivative Of X+8 The following rules tell us how to find derivatives of combinations of functions in terms of the derivatives of their constituent parts. Calculator solves the derivative of a function f(x, y(x).) or the derivative of an implicit function, along with a display of the rules used to. You can also evaluate the derivative at a given point. Type in any. Derivative Of X+8.
From www.chegg.com
Solved Calculate the derivative by logarithmic Derivative Of X+8 The following rules tell us how to find derivatives of combinations of functions in terms of the derivatives of their constituent parts. For trigonometric, logarithmic, exponential, polynomial expressions. The derivative calculator lets you calculate derivatives of functions online — for free! Calculator solves the derivative of a function f(x, y(x).) or the derivative of an implicit function, along with a. Derivative Of X+8.
From socratic.org
How do you find the derivative of 3/(x+1 )? Socratic Derivative Of X+8 In each case, we assume that f '(x) and g'(x) exist and a. You can calculate partial, second, third, fourth derivatives as well as antiderivatives with ease and. Type in any function derivative to get the solution, steps and graph. Our calculator allows you to check your solutions to calculus exercises. This calculator computes the first, second, and third derivatives. Derivative Of X+8.
From www.nagwa.com
Question Video Finding the Value of the Second Derivative of a Derivative Of X+8 You can calculate partial, second, third, fourth derivatives as well as antiderivatives with ease and. Calculator solves the derivative of a function f(x, y(x).) or the derivative of an implicit function, along with a display of the rules used to. For trigonometric, logarithmic, exponential, polynomial expressions. The derivative calculator supports solving first, second., fourth derivatives, as well as implicit differentiation. Derivative Of X+8.
From www.teachoo.com
Ex 5.7, 9 Find second order derivatives of log (log x) Derivative Of X+8 You can calculate partial, second, third, fourth derivatives as well as antiderivatives with ease and. The following rules tell us how to find derivatives of combinations of functions in terms of the derivatives of their constituent parts. Our calculator allows you to check your solutions to calculus exercises. For trigonometric, logarithmic, exponential, polynomial expressions. You can also evaluate the derivative. Derivative Of X+8.
From www.teachoo.com
Misc 1 Find derivative of f(x) = cos (x − π/8) from first principle Derivative Of X+8 In each case, we assume that f '(x) and g'(x) exist and a. You can calculate partial, second, third, fourth derivatives as well as antiderivatives with ease and. This calculator computes the first, second, and third derivatives of a given function. You can also evaluate the derivative at a given point. The following rules tell us how to find derivatives. Derivative Of X+8.
From www.chegg.com
Solved 1960. Derivatives Find and simplify the derivative Derivative Of X+8 Type in any function derivative to get the solution, steps and graph. The following rules tell us how to find derivatives of combinations of functions in terms of the derivatives of their constituent parts. This calculator computes the first, second, and third derivatives of a given function. Our calculator allows you to check your solutions to calculus exercises. It helps. Derivative Of X+8.
From www.youtube.com
Derivative of Cube Root with First Principle and Its Domain and Range Derivative Of X+8 Type in any function derivative to get the solution, steps and graph. You can also evaluate the derivative at a given point. For trigonometric, logarithmic, exponential, polynomial expressions. You can calculate partial, second, third, fourth derivatives as well as antiderivatives with ease and. The derivative calculator supports solving first, second., fourth derivatives, as well as implicit differentiation and finding the. Derivative Of X+8.
From www.youtube.com
Derivative by Definition Equation of Tangent Line on graph of sqrt (x+1 Derivative Of X+8 You can also evaluate the derivative at a given point. Type in any function derivative to get the solution, steps and graph. The following rules tell us how to find derivatives of combinations of functions in terms of the derivatives of their constituent parts. The derivative calculator lets you calculate derivatives of functions online — for free! This calculator computes. Derivative Of X+8.
From www.showme.com
Derivative of x squared Math, Calculus, Derivatives and Derivative Of X+8 It helps you practice by showing. In each case, we assume that f '(x) and g'(x) exist and a. You can also evaluate the derivative at a given point. Calculator solves the derivative of a function f(x, y(x).) or the derivative of an implicit function, along with a display of the rules used to. The derivative calculator supports solving first,. Derivative Of X+8.
From www.chegg.com
Solved 2776. Calculate the derivative of the following Derivative Of X+8 The derivative calculator supports solving first, second., fourth derivatives, as well as implicit differentiation and finding the zeros/roots. The following rules tell us how to find derivatives of combinations of functions in terms of the derivatives of their constituent parts. The derivative calculator lets you calculate derivatives of functions online — for free! Our calculator allows you to check your. Derivative Of X+8.
From www.teachoo.com
Ex 12.2, 9 Find the derivative of x^4 (3 4x^5) Teachoo Derivative Of X+8 The derivative calculator supports solving first, second., fourth derivatives, as well as implicit differentiation and finding the zeros/roots. You can calculate partial, second, third, fourth derivatives as well as antiderivatives with ease and. In each case, we assume that f '(x) and g'(x) exist and a. Our calculator allows you to check your solutions to calculus exercises. It helps you. Derivative Of X+8.
From www.chegg.com
Solved 2776. Calculate the derivative of the following Derivative Of X+8 You can calculate partial, second, third, fourth derivatives as well as antiderivatives with ease and. You can also evaluate the derivative at a given point. It helps you practice by showing. The derivative calculator supports solving first, second., fourth derivatives, as well as implicit differentiation and finding the zeros/roots. For trigonometric, logarithmic, exponential, polynomial expressions. The derivative calculator lets you. Derivative Of X+8.
From www.chegg.com
Solved 8. Find the derivative of each function. b. Derivative Of X+8 Calculator solves the derivative of a function f(x, y(x).) or the derivative of an implicit function, along with a display of the rules used to. The derivative calculator lets you calculate derivatives of functions online — for free! You can calculate partial, second, third, fourth derivatives as well as antiderivatives with ease and. Type in any function derivative to get. Derivative Of X+8.
From www.teachoo.com
Example 10 Find derivative of f(x) = x2 Chapter 13 Limits Derivative Of X+8 The derivative calculator supports solving first, second., fourth derivatives, as well as implicit differentiation and finding the zeros/roots. For trigonometric, logarithmic, exponential, polynomial expressions. The derivative calculator lets you calculate derivatives of functions online — for free! You can calculate partial, second, third, fourth derivatives as well as antiderivatives with ease and. Our calculator allows you to check your solutions. Derivative Of X+8.
From www.toppr.com
Find dfrac {dy}{dx}, where x^{2/3}+y^{2/3} =a^{2/3}. Derivative Of X+8 The derivative calculator lets you calculate derivatives of functions online — for free! This calculator computes the first, second, and third derivatives of a given function. The following rules tell us how to find derivatives of combinations of functions in terms of the derivatives of their constituent parts. Calculator solves the derivative of a function f(x, y(x).) or the derivative. Derivative Of X+8.
From www.teachoo.com
Example 15 Find derivative of f(x) = x + 1 / x Teachoo Derivative Of X+8 You can also evaluate the derivative at a given point. Calculator solves the derivative of a function f(x, y(x).) or the derivative of an implicit function, along with a display of the rules used to. In each case, we assume that f '(x) and g'(x) exist and a. The derivative calculator lets you calculate derivatives of functions online — for. Derivative Of X+8.
From www.teachoo.com
Example 14 Find derivative of f(x) = 1 + x + x2 + x3 .. + x50 Derivative Of X+8 The derivative calculator supports solving first, second., fourth derivatives, as well as implicit differentiation and finding the zeros/roots. You can also evaluate the derivative at a given point. In each case, we assume that f '(x) and g'(x) exist and a. It helps you practice by showing. Our calculator allows you to check your solutions to calculus exercises. You can. Derivative Of X+8.
From www.teachoo.com
Ex 7.1, 21 (MCQ) Anti derivative of root (x) + 1/root x equals Derivative Of X+8 This calculator computes the first, second, and third derivatives of a given function. The derivative calculator supports solving first, second., fourth derivatives, as well as implicit differentiation and finding the zeros/roots. You can also evaluate the derivative at a given point. In each case, we assume that f '(x) and g'(x) exist and a. Calculator solves the derivative of a. Derivative Of X+8.
From www.teachoo.com
Ex 12.2, 1 Find derivative of x2 2 at x = 10 Chapter 13 Derivative Of X+8 Calculator solves the derivative of a function f(x, y(x).) or the derivative of an implicit function, along with a display of the rules used to. This calculator computes the first, second, and third derivatives of a given function. The following rules tell us how to find derivatives of combinations of functions in terms of the derivatives of their constituent parts.. Derivative Of X+8.
From www.teachoo.com
What is the Differentiation of sin inverse x (sin^1 x)? Teachoo Derivative Of X+8 It helps you practice by showing. You can calculate partial, second, third, fourth derivatives as well as antiderivatives with ease and. Calculator solves the derivative of a function f(x, y(x).) or the derivative of an implicit function, along with a display of the rules used to. The following rules tell us how to find derivatives of combinations of functions in. Derivative Of X+8.
From www.youtube.com
How to Find the Derivative of 1/x from First Principles YouTube Derivative Of X+8 It helps you practice by showing. Type in any function derivative to get the solution, steps and graph. You can also evaluate the derivative at a given point. You can calculate partial, second, third, fourth derivatives as well as antiderivatives with ease and. Calculator solves the derivative of a function f(x, y(x).) or the derivative of an implicit function, along. Derivative Of X+8.
From www.chegg.com
Solved 1. Use the product rule to find the first derivative Derivative Of X+8 You can also evaluate the derivative at a given point. Type in any function derivative to get the solution, steps and graph. In each case, we assume that f '(x) and g'(x) exist and a. The derivative calculator supports solving first, second., fourth derivatives, as well as implicit differentiation and finding the zeros/roots. It helps you practice by showing. This. Derivative Of X+8.