Dilute Nacl Solution . the electrolysis of sodium chloride solution produces chlorine gas at the anode and hydrogen gas at the cathode. the solution dilution calculator will calculate for you how to dilute a stock solution of known concentration to obtain an arbitrary. dilution is the addition of solvent, which decreases the concentration of the solute in the solution. Concentration is the removal of solvent, which. solutions of known concentration can be prepared either by dissolving a known mass of solute in a solvent and diluting to a desired final. a dilute solution is one in which there is a relatively small amount of solute dissolved in the solution.
from www.chegg.com
Concentration is the removal of solvent, which. the electrolysis of sodium chloride solution produces chlorine gas at the anode and hydrogen gas at the cathode. the solution dilution calculator will calculate for you how to dilute a stock solution of known concentration to obtain an arbitrary. solutions of known concentration can be prepared either by dissolving a known mass of solute in a solvent and diluting to a desired final. dilution is the addition of solvent, which decreases the concentration of the solute in the solution. a dilute solution is one in which there is a relatively small amount of solute dissolved in the solution.
Solved a) A series of dilute NaCl solutions is prepared,
Dilute Nacl Solution solutions of known concentration can be prepared either by dissolving a known mass of solute in a solvent and diluting to a desired final. the solution dilution calculator will calculate for you how to dilute a stock solution of known concentration to obtain an arbitrary. solutions of known concentration can be prepared either by dissolving a known mass of solute in a solvent and diluting to a desired final. the electrolysis of sodium chloride solution produces chlorine gas at the anode and hydrogen gas at the cathode. dilution is the addition of solvent, which decreases the concentration of the solute in the solution. a dilute solution is one in which there is a relatively small amount of solute dissolved in the solution. Concentration is the removal of solvent, which.
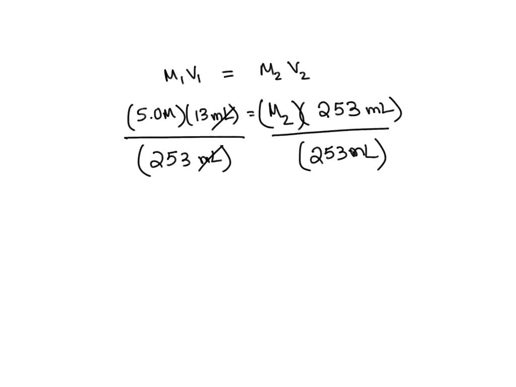
From askfilo.com
Q.16 Electrolysis of dilute aqueous NaCl solution was carried out by pass.. Dilute Nacl Solution dilution is the addition of solvent, which decreases the concentration of the solute in the solution. the electrolysis of sodium chloride solution produces chlorine gas at the anode and hydrogen gas at the cathode. Concentration is the removal of solvent, which. solutions of known concentration can be prepared either by dissolving a known mass of solute in. Dilute Nacl Solution.
From www.slideserve.com
PPT Sodium Chloride Process PowerPoint Presentation, free download Dilute Nacl Solution the solution dilution calculator will calculate for you how to dilute a stock solution of known concentration to obtain an arbitrary. dilution is the addition of solvent, which decreases the concentration of the solute in the solution. the electrolysis of sodium chloride solution produces chlorine gas at the anode and hydrogen gas at the cathode. solutions. Dilute Nacl Solution.
From www.slideserve.com
PPT Electrolysis PowerPoint Presentation, free download ID297961 Dilute Nacl Solution a dilute solution is one in which there is a relatively small amount of solute dissolved in the solution. Concentration is the removal of solvent, which. the electrolysis of sodium chloride solution produces chlorine gas at the anode and hydrogen gas at the cathode. the solution dilution calculator will calculate for you how to dilute a stock. Dilute Nacl Solution.
From edurev.in
Electrolysis of dilute aqueous NaCl solution was carried out by passing Dilute Nacl Solution the electrolysis of sodium chloride solution produces chlorine gas at the anode and hydrogen gas at the cathode. a dilute solution is one in which there is a relatively small amount of solute dissolved in the solution. solutions of known concentration can be prepared either by dissolving a known mass of solute in a solvent and diluting. Dilute Nacl Solution.
From www.semanticscholar.org
Figure 1 from On the Evolution of Cathodic Activity during Corrosion of Dilute Nacl Solution solutions of known concentration can be prepared either by dissolving a known mass of solute in a solvent and diluting to a desired final. Concentration is the removal of solvent, which. the electrolysis of sodium chloride solution produces chlorine gas at the anode and hydrogen gas at the cathode. the solution dilution calculator will calculate for you. Dilute Nacl Solution.
From www.youtube.com
In the manufacture of NaOH by the electrolysis of NaCl solution , the Dilute Nacl Solution the electrolysis of sodium chloride solution produces chlorine gas at the anode and hydrogen gas at the cathode. solutions of known concentration can be prepared either by dissolving a known mass of solute in a solvent and diluting to a desired final. Concentration is the removal of solvent, which. a dilute solution is one in which there. Dilute Nacl Solution.
From www.researchgate.net
SFG spectra of dilute solutions of NaF, NaCl and NaBr. Data are also Dilute Nacl Solution dilution is the addition of solvent, which decreases the concentration of the solute in the solution. Concentration is the removal of solvent, which. the electrolysis of sodium chloride solution produces chlorine gas at the anode and hydrogen gas at the cathode. the solution dilution calculator will calculate for you how to dilute a stock solution of known. Dilute Nacl Solution.
From www.youtube.com
Electrolysis of Dilute Aqueous Sodium Chloride YouTube Dilute Nacl Solution the electrolysis of sodium chloride solution produces chlorine gas at the anode and hydrogen gas at the cathode. the solution dilution calculator will calculate for you how to dilute a stock solution of known concentration to obtain an arbitrary. dilution is the addition of solvent, which decreases the concentration of the solute in the solution. Concentration is. Dilute Nacl Solution.
From byjus.com
6 Electrolysis of dil aq NaCl solution was carried out by passing 10 Dilute Nacl Solution a dilute solution is one in which there is a relatively small amount of solute dissolved in the solution. dilution is the addition of solvent, which decreases the concentration of the solute in the solution. the electrolysis of sodium chloride solution produces chlorine gas at the anode and hydrogen gas at the cathode. the solution dilution. Dilute Nacl Solution.
From www.chegg.com
Solved The following diagrams represent a solution of NaCl, Dilute Nacl Solution a dilute solution is one in which there is a relatively small amount of solute dissolved in the solution. the electrolysis of sodium chloride solution produces chlorine gas at the anode and hydrogen gas at the cathode. Concentration is the removal of solvent, which. solutions of known concentration can be prepared either by dissolving a known mass. Dilute Nacl Solution.
From www.youtube.com
Electrolysis of dilute sodium chloride (inert electrodes) YouTube Dilute Nacl Solution dilution is the addition of solvent, which decreases the concentration of the solute in the solution. solutions of known concentration can be prepared either by dissolving a known mass of solute in a solvent and diluting to a desired final. a dilute solution is one in which there is a relatively small amount of solute dissolved in. Dilute Nacl Solution.
From exosmtljy.blob.core.windows.net
Dilution Cell Density at Bryan Owen blog Dilute Nacl Solution solutions of known concentration can be prepared either by dissolving a known mass of solute in a solvent and diluting to a desired final. Concentration is the removal of solvent, which. a dilute solution is one in which there is a relatively small amount of solute dissolved in the solution. the electrolysis of sodium chloride solution produces. Dilute Nacl Solution.
From edurev.in
Electrolysis of dilute aqueous NaCl solution w as carried out by Dilute Nacl Solution dilution is the addition of solvent, which decreases the concentration of the solute in the solution. solutions of known concentration can be prepared either by dissolving a known mass of solute in a solvent and diluting to a desired final. the electrolysis of sodium chloride solution produces chlorine gas at the anode and hydrogen gas at the. Dilute Nacl Solution.
From www.slideserve.com
PPT Electrolysis PowerPoint Presentation ID297961 Dilute Nacl Solution the solution dilution calculator will calculate for you how to dilute a stock solution of known concentration to obtain an arbitrary. a dilute solution is one in which there is a relatively small amount of solute dissolved in the solution. dilution is the addition of solvent, which decreases the concentration of the solute in the solution. . Dilute Nacl Solution.
From www.youtube.com
Solutions Dilution by Molarity YouTube Dilute Nacl Solution dilution is the addition of solvent, which decreases the concentration of the solute in the solution. the solution dilution calculator will calculate for you how to dilute a stock solution of known concentration to obtain an arbitrary. the electrolysis of sodium chloride solution produces chlorine gas at the anode and hydrogen gas at the cathode. Concentration is. Dilute Nacl Solution.
From www.numerade.com
SOLVED seres of dilute NaCl solutions is prepared starting with an Dilute Nacl Solution a dilute solution is one in which there is a relatively small amount of solute dissolved in the solution. the solution dilution calculator will calculate for you how to dilute a stock solution of known concentration to obtain an arbitrary. dilution is the addition of solvent, which decreases the concentration of the solute in the solution. Concentration. Dilute Nacl Solution.
From www.slideserve.com
PPT Reaction Stoichiometry Mole Method Calculations PowerPoint Dilute Nacl Solution the electrolysis of sodium chloride solution produces chlorine gas at the anode and hydrogen gas at the cathode. the solution dilution calculator will calculate for you how to dilute a stock solution of known concentration to obtain an arbitrary. Concentration is the removal of solvent, which. solutions of known concentration can be prepared either by dissolving a. Dilute Nacl Solution.
From exoxgkatn.blob.core.windows.net
Dilute Solution Acid at Michael Keller blog Dilute Nacl Solution the solution dilution calculator will calculate for you how to dilute a stock solution of known concentration to obtain an arbitrary. dilution is the addition of solvent, which decreases the concentration of the solute in the solution. the electrolysis of sodium chloride solution produces chlorine gas at the anode and hydrogen gas at the cathode. a. Dilute Nacl Solution.
From commons.wikimedia.org
FileSodium chloride dissolution.jpg Wikimedia Commons Dilute Nacl Solution dilution is the addition of solvent, which decreases the concentration of the solute in the solution. Concentration is the removal of solvent, which. solutions of known concentration can be prepared either by dissolving a known mass of solute in a solvent and diluting to a desired final. the solution dilution calculator will calculate for you how to. Dilute Nacl Solution.
From www.toppr.com
Electrolysis of concentrated aqueous solution of a compound gave C2H6 Dilute Nacl Solution a dilute solution is one in which there is a relatively small amount of solute dissolved in the solution. dilution is the addition of solvent, which decreases the concentration of the solute in the solution. the electrolysis of sodium chloride solution produces chlorine gas at the anode and hydrogen gas at the cathode. the solution dilution. Dilute Nacl Solution.
From www.slideserve.com
PPT Electroanalytical chemistry PowerPoint Presentation, free Dilute Nacl Solution dilution is the addition of solvent, which decreases the concentration of the solute in the solution. solutions of known concentration can be prepared either by dissolving a known mass of solute in a solvent and diluting to a desired final. the solution dilution calculator will calculate for you how to dilute a stock solution of known concentration. Dilute Nacl Solution.
From www.chegg.com
Solved a) A series of dilute NaCl solutions is prepared, Dilute Nacl Solution a dilute solution is one in which there is a relatively small amount of solute dissolved in the solution. the electrolysis of sodium chloride solution produces chlorine gas at the anode and hydrogen gas at the cathode. solutions of known concentration can be prepared either by dissolving a known mass of solute in a solvent and diluting. Dilute Nacl Solution.
From www.visionlearning.com
Solutions, Solubility, and Colligative Properties Chemistry Dilute Nacl Solution Concentration is the removal of solvent, which. the solution dilution calculator will calculate for you how to dilute a stock solution of known concentration to obtain an arbitrary. a dilute solution is one in which there is a relatively small amount of solute dissolved in the solution. dilution is the addition of solvent, which decreases the concentration. Dilute Nacl Solution.
From mavink.com
Electrolysis Of Aqueous Nacl Dilute Nacl Solution the electrolysis of sodium chloride solution produces chlorine gas at the anode and hydrogen gas at the cathode. solutions of known concentration can be prepared either by dissolving a known mass of solute in a solvent and diluting to a desired final. the solution dilution calculator will calculate for you how to dilute a stock solution of. Dilute Nacl Solution.
From www.onlinemathlearning.com
Chemical Reactions IGCSE Chemistry (solutions, examples, worksheets Dilute Nacl Solution solutions of known concentration can be prepared either by dissolving a known mass of solute in a solvent and diluting to a desired final. the solution dilution calculator will calculate for you how to dilute a stock solution of known concentration to obtain an arbitrary. a dilute solution is one in which there is a relatively small. Dilute Nacl Solution.
From mungfali.com
Electrolysis Of Sodium Chloride Diagram Dilute Nacl Solution the electrolysis of sodium chloride solution produces chlorine gas at the anode and hydrogen gas at the cathode. a dilute solution is one in which there is a relatively small amount of solute dissolved in the solution. dilution is the addition of solvent, which decreases the concentration of the solute in the solution. Concentration is the removal. Dilute Nacl Solution.
From www.researchgate.net
SFG spectra of dilute solutions of NaF, NaCl and NaBr. Data are also Dilute Nacl Solution the solution dilution calculator will calculate for you how to dilute a stock solution of known concentration to obtain an arbitrary. the electrolysis of sodium chloride solution produces chlorine gas at the anode and hydrogen gas at the cathode. dilution is the addition of solvent, which decreases the concentration of the solute in the solution. solutions. Dilute Nacl Solution.
From www.youtube.com
Electrolysis of dilute aqueous NaCl solution was carried out by passing Dilute Nacl Solution the electrolysis of sodium chloride solution produces chlorine gas at the anode and hydrogen gas at the cathode. dilution is the addition of solvent, which decreases the concentration of the solute in the solution. solutions of known concentration can be prepared either by dissolving a known mass of solute in a solvent and diluting to a desired. Dilute Nacl Solution.
From www.numerade.com
Explain why the pH of a NaCl solution does not change if you dilute the Dilute Nacl Solution a dilute solution is one in which there is a relatively small amount of solute dissolved in the solution. dilution is the addition of solvent, which decreases the concentration of the solute in the solution. solutions of known concentration can be prepared either by dissolving a known mass of solute in a solvent and diluting to a. Dilute Nacl Solution.
From www.toppr.com
Electrolysis of dilute aqueous NaCl solution was carried out by passing Dilute Nacl Solution the electrolysis of sodium chloride solution produces chlorine gas at the anode and hydrogen gas at the cathode. a dilute solution is one in which there is a relatively small amount of solute dissolved in the solution. Concentration is the removal of solvent, which. dilution is the addition of solvent, which decreases the concentration of the solute. Dilute Nacl Solution.
From www.youtube.com
Product of Electrolysis Using dilute and concentrated NaCl Dr. Prerna Dilute Nacl Solution the electrolysis of sodium chloride solution produces chlorine gas at the anode and hydrogen gas at the cathode. a dilute solution is one in which there is a relatively small amount of solute dissolved in the solution. dilution is the addition of solvent, which decreases the concentration of the solute in the solution. the solution dilution. Dilute Nacl Solution.
From byjus.com
What volume of water is required to dilute 100ml, 2M solution of NaCl Dilute Nacl Solution Concentration is the removal of solvent, which. the electrolysis of sodium chloride solution produces chlorine gas at the anode and hydrogen gas at the cathode. the solution dilution calculator will calculate for you how to dilute a stock solution of known concentration to obtain an arbitrary. dilution is the addition of solvent, which decreases the concentration of. Dilute Nacl Solution.
From www.numerade.com
SOLVED If you dilute 200 mL of a 1.2M solution of NaCl to 1.0L, what Dilute Nacl Solution the solution dilution calculator will calculate for you how to dilute a stock solution of known concentration to obtain an arbitrary. Concentration is the removal of solvent, which. the electrolysis of sodium chloride solution produces chlorine gas at the anode and hydrogen gas at the cathode. solutions of known concentration can be prepared either by dissolving a. Dilute Nacl Solution.
From www.doubtnut.com
On freezing dilute aq. NaCl which crystallise out first Dilute Nacl Solution the electrolysis of sodium chloride solution produces chlorine gas at the anode and hydrogen gas at the cathode. dilution is the addition of solvent, which decreases the concentration of the solute in the solution. the solution dilution calculator will calculate for you how to dilute a stock solution of known concentration to obtain an arbitrary. Concentration is. Dilute Nacl Solution.
From mavink.com
Electrolysis Of Dilute Sodium Chloride Solution Dilute Nacl Solution solutions of known concentration can be prepared either by dissolving a known mass of solute in a solvent and diluting to a desired final. dilution is the addition of solvent, which decreases the concentration of the solute in the solution. the electrolysis of sodium chloride solution produces chlorine gas at the anode and hydrogen gas at the. Dilute Nacl Solution.