Geography Syllabus Jamb 2022 . Updated accredited jamb cbt centers in nigeria. Jamb syllabus is like a compass to help direct every jambite on where to focus her energy (in her studies) in preparation for the. Below is the jamb 2022 syllabus for geography; Practical geography is a broad topic. In this post, i will show you the real approved utme jamb syllabus for geography 2022/2023, geography jamb syllabus 2022 pdf file to download online, or if you have. Explore the syllabus system (ibass) of jamb, the official body for admissions and matriculation in nigeria. Integrated brochure & syllabus system (ibass) is a platform for managing admission processes and accessing educational resources in nigeria. Scale and measurement distances, areas reduction and enlargement,. This detailed jamb geography syllabus is presented below: The jamb syllabus is an official document or material that contains a detailed information and guide on the areas or topics you are expected. Find out the requirements and topics.
from www.studocu.com
Practical geography is a broad topic. In this post, i will show you the real approved utme jamb syllabus for geography 2022/2023, geography jamb syllabus 2022 pdf file to download online, or if you have. Below is the jamb 2022 syllabus for geography; Scale and measurement distances, areas reduction and enlargement,. The jamb syllabus is an official document or material that contains a detailed information and guide on the areas or topics you are expected. Integrated brochure & syllabus system (ibass) is a platform for managing admission processes and accessing educational resources in nigeria. Updated accredited jamb cbt centers in nigeria. Jamb syllabus is like a compass to help direct every jambite on where to focus her energy (in her studies) in preparation for the. Find out the requirements and topics. This detailed jamb geography syllabus is presented below:
CAPE Geography Syllabus CARIBBEAN EXAMINATIONS COUNCIL Caribbean
Geography Syllabus Jamb 2022 Scale and measurement distances, areas reduction and enlargement,. Explore the syllabus system (ibass) of jamb, the official body for admissions and matriculation in nigeria. Practical geography is a broad topic. The jamb syllabus is an official document or material that contains a detailed information and guide on the areas or topics you are expected. In this post, i will show you the real approved utme jamb syllabus for geography 2022/2023, geography jamb syllabus 2022 pdf file to download online, or if you have. Scale and measurement distances, areas reduction and enlargement,. Find out the requirements and topics. Integrated brochure & syllabus system (ibass) is a platform for managing admission processes and accessing educational resources in nigeria. Jamb syllabus is like a compass to help direct every jambite on where to focus her energy (in her studies) in preparation for the. Below is the jamb 2022 syllabus for geography; This detailed jamb geography syllabus is presented below: Updated accredited jamb cbt centers in nigeria.
From www.jagranjosh.com
CBSE Class 12 Physics Syllabus 20222023 (PDF) Geography Syllabus Jamb 2022 Practical geography is a broad topic. Jamb syllabus is like a compass to help direct every jambite on where to focus her energy (in her studies) in preparation for the. Explore the syllabus system (ibass) of jamb, the official body for admissions and matriculation in nigeria. In this post, i will show you the real approved utme jamb syllabus for. Geography Syllabus Jamb 2022.
From www.youtube.com
Geography Syllabus&Preparation Strategy for MPPSC 2022 Pre & Mains Geography Syllabus Jamb 2022 Scale and measurement distances, areas reduction and enlargement,. Integrated brochure & syllabus system (ibass) is a platform for managing admission processes and accessing educational resources in nigeria. Practical geography is a broad topic. Find out the requirements and topics. This detailed jamb geography syllabus is presented below: Explore the syllabus system (ibass) of jamb, the official body for admissions and. Geography Syllabus Jamb 2022.
From www.youtube.com
12th Class Geography Syllabus Of 2022 23 Finally नया Syllabus आ गया Geography Syllabus Jamb 2022 This detailed jamb geography syllabus is presented below: Scale and measurement distances, areas reduction and enlargement,. Updated accredited jamb cbt centers in nigeria. The jamb syllabus is an official document or material that contains a detailed information and guide on the areas or topics you are expected. In this post, i will show you the real approved utme jamb syllabus. Geography Syllabus Jamb 2022.
From abhimanyusir.blogspot.com
CBSE Syllabus of Class 11 Geography 202223 (with Map Topics) Geography Syllabus Jamb 2022 This detailed jamb geography syllabus is presented below: Updated accredited jamb cbt centers in nigeria. Scale and measurement distances, areas reduction and enlargement,. Below is the jamb 2022 syllabus for geography; Jamb syllabus is like a compass to help direct every jambite on where to focus her energy (in her studies) in preparation for the. Practical geography is a broad. Geography Syllabus Jamb 2022.
From exofjhgsz.blob.core.windows.net
Geography Jamb Syllabus Pdf at Miguel Bowman blog Geography Syllabus Jamb 2022 Practical geography is a broad topic. Explore the syllabus system (ibass) of jamb, the official body for admissions and matriculation in nigeria. This detailed jamb geography syllabus is presented below: The jamb syllabus is an official document or material that contains a detailed information and guide on the areas or topics you are expected. Updated accredited jamb cbt centers in. Geography Syllabus Jamb 2022.
From pwonlyias.com
UPSC Geography Syllabus For Prelims, Mains And Optional Geography Syllabus Jamb 2022 Jamb syllabus is like a compass to help direct every jambite on where to focus her energy (in her studies) in preparation for the. Scale and measurement distances, areas reduction and enlargement,. Practical geography is a broad topic. Updated accredited jamb cbt centers in nigeria. This detailed jamb geography syllabus is presented below: Find out the requirements and topics. In. Geography Syllabus Jamb 2022.
From www.youtube.com
Cover Your Syllabus in 30 Days to Jamb 2022(Study Plan/Time Table Geography Syllabus Jamb 2022 Jamb syllabus is like a compass to help direct every jambite on where to focus her energy (in her studies) in preparation for the. Find out the requirements and topics. Scale and measurement distances, areas reduction and enlargement,. Integrated brochure & syllabus system (ibass) is a platform for managing admission processes and accessing educational resources in nigeria. Below is the. Geography Syllabus Jamb 2022.
From syllabus.ng
JAMB Geography Syllabus 2024/2025 Download Free PDF Syllabus NG Geography Syllabus Jamb 2022 Scale and measurement distances, areas reduction and enlargement,. This detailed jamb geography syllabus is presented below: Explore the syllabus system (ibass) of jamb, the official body for admissions and matriculation in nigeria. Jamb syllabus is like a compass to help direct every jambite on where to focus her energy (in her studies) in preparation for the. In this post, i. Geography Syllabus Jamb 2022.
From www.jagranjosh.com
CBSE Class 11 Geography Syllabus 20222023 (PDF) Download Annual Geography Syllabus Jamb 2022 Updated accredited jamb cbt centers in nigeria. Practical geography is a broad topic. The jamb syllabus is an official document or material that contains a detailed information and guide on the areas or topics you are expected. Jamb syllabus is like a compass to help direct every jambite on where to focus her energy (in her studies) in preparation for. Geography Syllabus Jamb 2022.
From www.studocu.com
CAPE Geography Syllabus CARIBBEAN EXAMINATIONS COUNCIL Caribbean Geography Syllabus Jamb 2022 This detailed jamb geography syllabus is presented below: Scale and measurement distances, areas reduction and enlargement,. Below is the jamb 2022 syllabus for geography; In this post, i will show you the real approved utme jamb syllabus for geography 2022/2023, geography jamb syllabus 2022 pdf file to download online, or if you have. Jamb syllabus is like a compass to. Geography Syllabus Jamb 2022.
From studylib.net
Geography syllabus Geography Syllabus Jamb 2022 In this post, i will show you the real approved utme jamb syllabus for geography 2022/2023, geography jamb syllabus 2022 pdf file to download online, or if you have. Practical geography is a broad topic. Explore the syllabus system (ibass) of jamb, the official body for admissions and matriculation in nigeria. Below is the jamb 2022 syllabus for geography; This. Geography Syllabus Jamb 2022.
From www.studocu.com
Geoghraphy OBJECTIVES OF TEACHING GEOGRAPHY Geography syllabus Geography Syllabus Jamb 2022 Integrated brochure & syllabus system (ibass) is a platform for managing admission processes and accessing educational resources in nigeria. In this post, i will show you the real approved utme jamb syllabus for geography 2022/2023, geography jamb syllabus 2022 pdf file to download online, or if you have. This detailed jamb geography syllabus is presented below: Explore the syllabus system. Geography Syllabus Jamb 2022.
From www.youtube.com
DSSSB PGT GEOGRAPHY Syllabus & Pattern 2022 Booklet Questions Paper Geography Syllabus Jamb 2022 Updated accredited jamb cbt centers in nigeria. Practical geography is a broad topic. Explore the syllabus system (ibass) of jamb, the official body for admissions and matriculation in nigeria. Integrated brochure & syllabus system (ibass) is a platform for managing admission processes and accessing educational resources in nigeria. Find out the requirements and topics. Scale and measurement distances, areas reduction. Geography Syllabus Jamb 2022.
From www.pdfprof.com
geography syllabus 2019 Geography Syllabus Jamb 2022 Explore the syllabus system (ibass) of jamb, the official body for admissions and matriculation in nigeria. Updated accredited jamb cbt centers in nigeria. Below is the jamb 2022 syllabus for geography; This detailed jamb geography syllabus is presented below: Find out the requirements and topics. In this post, i will show you the real approved utme jamb syllabus for geography. Geography Syllabus Jamb 2022.
From exofjhgsz.blob.core.windows.net
Geography Jamb Syllabus Pdf at Miguel Bowman blog Geography Syllabus Jamb 2022 This detailed jamb geography syllabus is presented below: Scale and measurement distances, areas reduction and enlargement,. Jamb syllabus is like a compass to help direct every jambite on where to focus her energy (in her studies) in preparation for the. The jamb syllabus is an official document or material that contains a detailed information and guide on the areas or. Geography Syllabus Jamb 2022.
From exofjhgsz.blob.core.windows.net
Geography Jamb Syllabus Pdf at Miguel Bowman blog Geography Syllabus Jamb 2022 Jamb syllabus is like a compass to help direct every jambite on where to focus her energy (in her studies) in preparation for the. Explore the syllabus system (ibass) of jamb, the official body for admissions and matriculation in nigeria. In this post, i will show you the real approved utme jamb syllabus for geography 2022/2023, geography jamb syllabus 2022. Geography Syllabus Jamb 2022.
From www.ngacademics.com
JAMB Syllabus for Geography Geography Syllabus Jamb 2022 This detailed jamb geography syllabus is presented below: Scale and measurement distances, areas reduction and enlargement,. Jamb syllabus is like a compass to help direct every jambite on where to focus her energy (in her studies) in preparation for the. Practical geography is a broad topic. Explore the syllabus system (ibass) of jamb, the official body for admissions and matriculation. Geography Syllabus Jamb 2022.
From schools.aglasem.com
WBCHSE Class 12 Geography Syllabus 2024 (PDF) West Bengal Board Class Geography Syllabus Jamb 2022 Jamb syllabus is like a compass to help direct every jambite on where to focus her energy (in her studies) in preparation for the. Below is the jamb 2022 syllabus for geography; Updated accredited jamb cbt centers in nigeria. Scale and measurement distances, areas reduction and enlargement,. Find out the requirements and topics. Practical geography is a broad topic. Explore. Geography Syllabus Jamb 2022.
From www.studocu.com
Geography Syllabus 2019 Studocu Geography Syllabus Jamb 2022 Practical geography is a broad topic. Scale and measurement distances, areas reduction and enlargement,. Integrated brochure & syllabus system (ibass) is a platform for managing admission processes and accessing educational resources in nigeria. The jamb syllabus is an official document or material that contains a detailed information and guide on the areas or topics you are expected. Below is the. Geography Syllabus Jamb 2022.
From allschool.ng
JAMB Syllabus for Geography [2024 Latest Version] Geography Syllabus Jamb 2022 In this post, i will show you the real approved utme jamb syllabus for geography 2022/2023, geography jamb syllabus 2022 pdf file to download online, or if you have. Updated accredited jamb cbt centers in nigeria. This detailed jamb geography syllabus is presented below: Scale and measurement distances, areas reduction and enlargement,. Explore the syllabus system (ibass) of jamb, the. Geography Syllabus Jamb 2022.
From abhimanyusir.blogspot.com
CBSE Syllabus of Class 12 Geography 202223 (with Map Topics) Geography Syllabus Jamb 2022 Practical geography is a broad topic. The jamb syllabus is an official document or material that contains a detailed information and guide on the areas or topics you are expected. Below is the jamb 2022 syllabus for geography; Updated accredited jamb cbt centers in nigeria. Integrated brochure & syllabus system (ibass) is a platform for managing admission processes and accessing. Geography Syllabus Jamb 2022.
From www.youtube.com
Geography syllabus of 12 class cbse class 12th Geography syllabus Geography Syllabus Jamb 2022 Find out the requirements and topics. Scale and measurement distances, areas reduction and enlargement,. Integrated brochure & syllabus system (ibass) is a platform for managing admission processes and accessing educational resources in nigeria. In this post, i will show you the real approved utme jamb syllabus for geography 2022/2023, geography jamb syllabus 2022 pdf file to download online, or if. Geography Syllabus Jamb 2022.
From www.jagranjosh.com
UP Board class 12 Geography Syllabus 202223 Download PDF Directly Geography Syllabus Jamb 2022 Updated accredited jamb cbt centers in nigeria. Scale and measurement distances, areas reduction and enlargement,. The jamb syllabus is an official document or material that contains a detailed information and guide on the areas or topics you are expected. Explore the syllabus system (ibass) of jamb, the official body for admissions and matriculation in nigeria. Jamb syllabus is like a. Geography Syllabus Jamb 2022.
From www.studypool.com
SOLUTION Cbse 11 12 geography syllabus 2022 2023 Studypool Geography Syllabus Jamb 2022 Integrated brochure & syllabus system (ibass) is a platform for managing admission processes and accessing educational resources in nigeria. The jamb syllabus is an official document or material that contains a detailed information and guide on the areas or topics you are expected. In this post, i will show you the real approved utme jamb syllabus for geography 2022/2023, geography. Geography Syllabus Jamb 2022.
From exofjhgsz.blob.core.windows.net
Geography Jamb Syllabus Pdf at Miguel Bowman blog Geography Syllabus Jamb 2022 The jamb syllabus is an official document or material that contains a detailed information and guide on the areas or topics you are expected. In this post, i will show you the real approved utme jamb syllabus for geography 2022/2023, geography jamb syllabus 2022 pdf file to download online, or if you have. Jamb syllabus is like a compass to. Geography Syllabus Jamb 2022.
From www.studocu.com
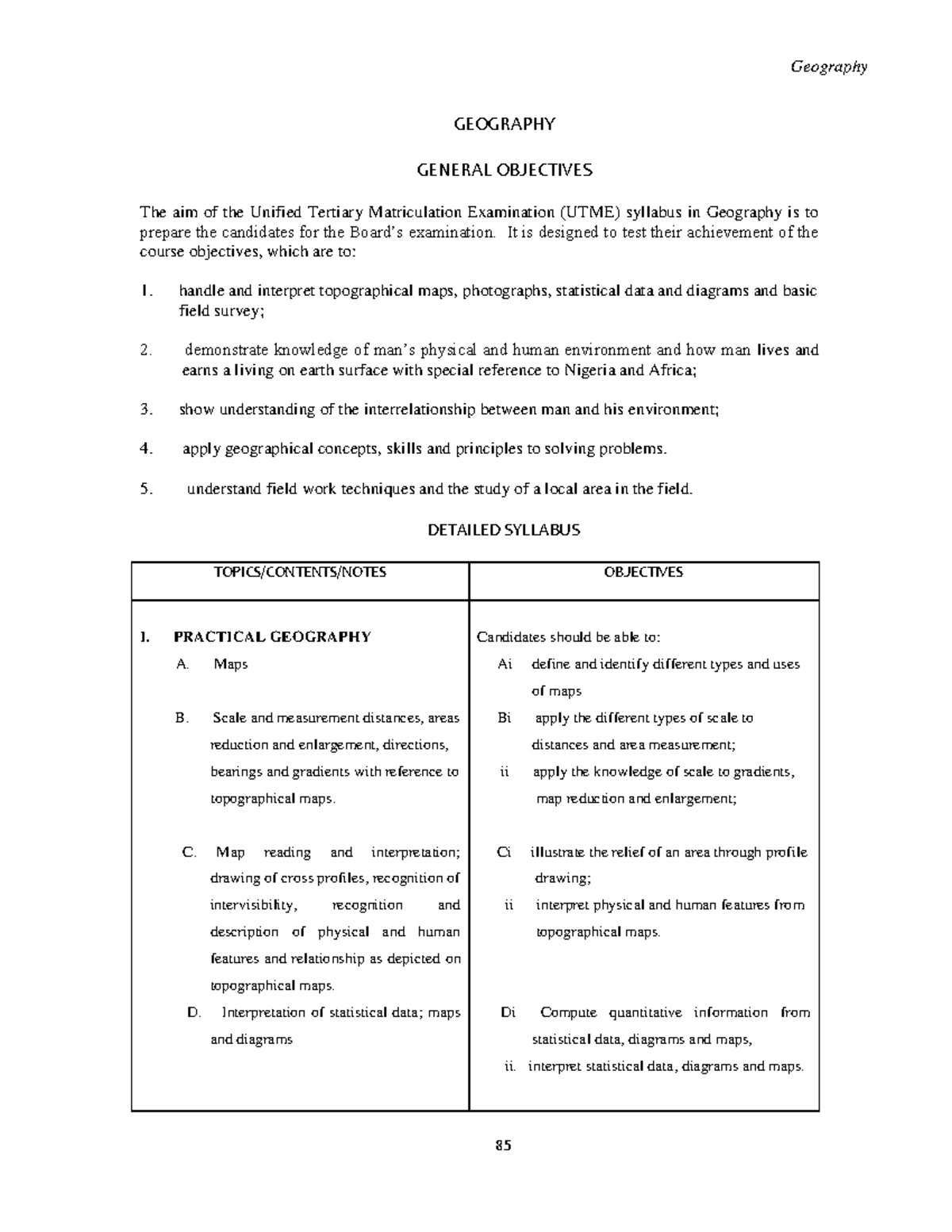
Goegraphy JAMB Syllabus GEOGRAPHY GENERAL OBJECTIVES The aim of the Geography Syllabus Jamb 2022 The jamb syllabus is an official document or material that contains a detailed information and guide on the areas or topics you are expected. In this post, i will show you the real approved utme jamb syllabus for geography 2022/2023, geography jamb syllabus 2022 pdf file to download online, or if you have. Updated accredited jamb cbt centers in nigeria.. Geography Syllabus Jamb 2022.
From www.youtube.com
Class 12 Geography New Syllabus 202223 Class 12 CBSE Board/Exam 2022 Geography Syllabus Jamb 2022 In this post, i will show you the real approved utme jamb syllabus for geography 2022/2023, geography jamb syllabus 2022 pdf file to download online, or if you have. Updated accredited jamb cbt centers in nigeria. Practical geography is a broad topic. Scale and measurement distances, areas reduction and enlargement,. Jamb syllabus is like a compass to help direct every. Geography Syllabus Jamb 2022.
From studenthint.com
Geography Syllabus for Jamb Exam 2024/2025 StudentHint Geography Syllabus Jamb 2022 This detailed jamb geography syllabus is presented below: Updated accredited jamb cbt centers in nigeria. Jamb syllabus is like a compass to help direct every jambite on where to focus her energy (in her studies) in preparation for the. In this post, i will show you the real approved utme jamb syllabus for geography 2022/2023, geography jamb syllabus 2022 pdf. Geography Syllabus Jamb 2022.
From www.youtube.com
BBMKU UG Sem3 202226 Major paper English & Geography Syllabus 2023 Geography Syllabus Jamb 2022 Find out the requirements and topics. Below is the jamb 2022 syllabus for geography; Integrated brochure & syllabus system (ibass) is a platform for managing admission processes and accessing educational resources in nigeria. Jamb syllabus is like a compass to help direct every jambite on where to focus her energy (in her studies) in preparation for the. Updated accredited jamb. Geography Syllabus Jamb 2022.
From www.youtube.com
class 11th Geography Syllabus 202223 Class 11th arts YouTube Geography Syllabus Jamb 2022 Explore the syllabus system (ibass) of jamb, the official body for admissions and matriculation in nigeria. Integrated brochure & syllabus system (ibass) is a platform for managing admission processes and accessing educational resources in nigeria. Below is the jamb 2022 syllabus for geography; Updated accredited jamb cbt centers in nigeria. This detailed jamb geography syllabus is presented below: Practical geography. Geography Syllabus Jamb 2022.
From www.jagranjosh.com
ICSE Class 10 Geography Syllabus 2022 2023 Download Revised Class Geography Syllabus Jamb 2022 Below is the jamb 2022 syllabus for geography; In this post, i will show you the real approved utme jamb syllabus for geography 2022/2023, geography jamb syllabus 2022 pdf file to download online, or if you have. Scale and measurement distances, areas reduction and enlargement,. This detailed jamb geography syllabus is presented below: Practical geography is a broad topic. Jamb. Geography Syllabus Jamb 2022.
From mrmanojpandey.com
CBSE Class 12 Geography Deleted Syllabus For Session 202223 » Maths Geography Syllabus Jamb 2022 The jamb syllabus is an official document or material that contains a detailed information and guide on the areas or topics you are expected. Explore the syllabus system (ibass) of jamb, the official body for admissions and matriculation in nigeria. Updated accredited jamb cbt centers in nigeria. Jamb syllabus is like a compass to help direct every jambite on where. Geography Syllabus Jamb 2022.
From allschool.com.ng
JAMB Syllabus for All Subjects 2023 Updated & Accurate! Geography Syllabus Jamb 2022 Integrated brochure & syllabus system (ibass) is a platform for managing admission processes and accessing educational resources in nigeria. Practical geography is a broad topic. Jamb syllabus is like a compass to help direct every jambite on where to focus her energy (in her studies) in preparation for the. Below is the jamb 2022 syllabus for geography; Updated accredited jamb. Geography Syllabus Jamb 2022.
From www.jagranjosh.com
CBSE Syllabus 20222023 Geography Download in PDF and Check Detailed Geography Syllabus Jamb 2022 Below is the jamb 2022 syllabus for geography; The jamb syllabus is an official document or material that contains a detailed information and guide on the areas or topics you are expected. In this post, i will show you the real approved utme jamb syllabus for geography 2022/2023, geography jamb syllabus 2022 pdf file to download online, or if you. Geography Syllabus Jamb 2022.
From www.jagranjosh.com
CBSE Class 12 Geography Deleted syllabus 202223 Geography Syllabus Jamb 2022 Integrated brochure & syllabus system (ibass) is a platform for managing admission processes and accessing educational resources in nigeria. Practical geography is a broad topic. Explore the syllabus system (ibass) of jamb, the official body for admissions and matriculation in nigeria. Updated accredited jamb cbt centers in nigeria. Scale and measurement distances, areas reduction and enlargement,. The jamb syllabus is. Geography Syllabus Jamb 2022.